32004R0648[1]
Az Európai Parlament és a Tanács 648/2004/EK rendelete (2004. március 31.) a mosó- és tisztítószerekről
AZ EURÓPAI PARLAMENT ÉS A TANÁCS 648/2004/EK RENDELETE
(2004. március 31.)
a mosó- és tisztítószerekről
(EGT vonatkozású szöveg)
AZ EURÓPAI PARLAMENT ÉS AZ EURÓPAI UNIÓ TANÁCSA,
tekintettel az Európai Közösséget létrehozó szerződésre, és különösen annak 95. cikkére,
tekintettel a Bizottság javaslatára,
tekintettel az Európai Gazdasági és Szociális Bizottság véleményére ( 1 ),
a Szerződés 251. cikkében megállapított eljárásnak megfelelően ( 2 ),
mivel:
(1) A tisztítószerekre vonatkozó tagállami jogszabályok közelítéséről szóló, 1973. november 22-i 73/404/EGK tanácsi irányelvet ( 3 ), az anionos felületaktív anyagok biológiai lebonthatóságának vizsgálati módszereire vonatkozó tagállami jogszabályok közelítéséről szóló, 1973. november 22-i 73/405/EGK tanácsi irányelvet ( 4 ), a nem ionos felületaktív anyagok biológiai lebonthatóságának vizsgálati módszereire vonatkozó tagállami jogszabályok közelítéséről szóló, 1982. március 31-i 82/242/EGK tanácsi irányelvet ( 5 ), az anionos felületaktív anyagok biológiai lebonthatóságának vizsgálati módszereire vonatkozó tagállami jogszabályok közelítéséről szóló 73/405/EGK irányelv módosításáról szóló, 1982. március 31-i 82/243/EGK tanácsi irányelvet ( 6 ) és a tisztítószerekre vonatkozó tagállami jogszabályok közelítéséről szóló 73/404/EGK irányelv második módosításáról szóló, 1986. március 10-i 86/94/EGK tanácsi irányelvet ( 7 ) több alkalommal jelentős mértékben módosították. Az érthetőség és ésszerűsítés érdekében szükség van a szóban forgó rendelkezések átdolgozására és egységes szövegbe foglalására. A mosó- és tisztítószerek címkézéséről szóló, 1989. szeptember 13-i 89/542/EGK bizottsági ajánlást ( 8 ) szintén bele kell foglalni az egységes szövegbe.
(2) E rendelet célja, azaz a mosó- és tisztítószerek belső piaca működésének biztosítása a Közösség egészében érvényes közös műszaki követelmények nélkül a tagállamok szintjén nem valósítható meg megfelelően, és ezért azt inkább közösségi szinten kell megvalósítani, a Közösség a Szerződés 5. cikkében megállapított szubszidiaritási elvvel összhangban intézkedéseket fogadhat el. Az ugyanabban a cikkben megállapítottt arányossági elvvel összhangban ez a rendelet nem lép túl az említett cél eléréséhez szükséges mértéken. A rendelet a megfelelő jogi eszköz, mivel az a Közösség egészében egyszerre és ugyanolyan módon végrehajtandó, pontos követelményeket támaszt közvetlenül a gyártókkal szemben; a műszaki jogszabályok terén az alkalmazás egységességére van szükség, és ezt csak egy rendelettel lehet biztosítani.
(3) A mosó- és tisztítószerek fogalmának új meghatározására van szükség, hogy az kiterjedjen az azonos jellegű felhasználásokra, és összhangban álljon a tagállami szintű fejlesztésekkel.
(4) Szükség van a felületaktív anyagok fogalmának meghatározására, mert az eddig hiányzott a hatályos jogszabályokból.
(5) Fontos, hogy egyértelmű és pontos leírás készüljön a biológiai lebonthatóság lényeges típusairól.
(6) A mosó- és tisztítószerekre vonatkozóan intézkedéseket kell elfogadni a belső piac működésének biztosítása, valamint a közösségi verseny korlátozásának elkerülése érdekében.
(7) A Bizottságnak a vegyi anyagokkal kapcsolatos jövőbeni politikára vonatkozó stratégiáról szóló fehér könyve is megerősíti, hogy a mosó- és tisztítószerekre vonatkozó megfelelő intézkedéseknek biztosítaniuk kell a környezet, és különösen a vízi környezet magas szintű védelmét.
(8) A mosó- és tisztítószerekre már vonatkoznak bizonyos közösségi rendelkezések a gyártásukat, megfelelő kezelésüket, felhasználásukat és címkézésüket illetően, különösen a 89/542/EGK bizottsági ajánlás és a háztartási mosószerekre vonatkozó helyes környezeti eljárásról szóló, 1998. július 22-i 98/480/EK bizottsági ajánlásra ( 9 ); a tagállamoknak a veszélyes készítmények osztályozására, csomagolására és címkézésére vonatkozó törvényi, rendeleti és közigazgatási rendelkezéseinek közelítéséről szóló, 1999. május 31-i 1999/45/EK európai parlamenti és tanácsi irányelv ( 10 ) vonatkozik a mosó- és tisztítószerekre is.
(9) A bis-(hidrogénezett faggyú alkil)-dimetil-ammónium-klorid (DTDMAC) és a nonilfenol (beleértve az etoxilát-származékokat [APE] is) elsődleges fontosságú anyagok, melyeket a létező anyagok kockázatainak értékeléséről és ellenőrzéséről szóló, 1993. március 23-i 793/93/EGK tanácsi irányelvvel ( 11 ) összhangban közösségi szintű kockázatértékelésnek vetnek alá, és szükség esetén egyéb közösségi rendelkezések keretében megfelelő stratégiákat kell ajánlani és végrehajtani a fenti anyagok által okozott kockázatok csökkentésére.
(10) A mosó- és tisztítószerekben található felületaktív anyagok biológiai lebonthatóságára vonatkozó jogszabályok csak az elsődleges biológiai lebonthatóságra ( 12 ) terjednek ki, és csak az anionos ( 13 ) és nem ionos ( 14 ) felületaktív anyagokra alkalmazhatók; ezért ezek helyébe új jogszabályoknak kell lépniük, melyek az fő hangsúlyt a teljes biológiai lebonthatóságra helyezik, és választ adnak a perzisztens bomlástermékek lehetséges toxicitásával kapcsolatos kérdésekre.
(11) Ehhez az EN ISO szabványokon és az OECD iránymutatásain alapuló új vizsgálatsorozat bevezetésére van szükség, mely irányadó a mosó- és tisztítószerek forgalomba hozatalára vonatkozó közvetlen engedély megadására nézve.
(12) A magas szintű környezetvédelem biztosítása érdekében nem lehet forgalomba hozni azokat a mosó- és tisztítószereket, melyek nem felelnek meg az e rendeletben megállapított követelményeknek.
(13) A toxicitási, ökotoxicitási és környezetvédelmi tudományos bizottság 1999. november 25-én véleményt bocsátott ki a mosó- és tisztítószerekben található felületaktív anyagok biológiai lebonthatóságáról, valamint e téren a vizsgálati módszerek szabályozási ellenőrzés céljára való alkalmazhatóságáról.
(14) Az elsődleges biológiai lebonthatóságra vonatkozó meglevő követelményeket a hierarchia második szintjén meg kell tartani, és a teljes biológiai lebonthatóságra vonatkozó vizsgálatokon meg nem felelő felületaktív anyagok esetében összehasonlító kockázatértékeléssel kell kiegészíteni; ezen felül az elsődleges biológiai lebonthatóságra vonatkozó vizsgálatokon meg nem felelő felületaktív anyagok eltérés révén nem kaphatnak forgalomba hoztali engedélyt.
(15) Az elsődleges biológiai lebonthatóságra vonatkozó követelményeket ki kell terjeszteni az összes felületaktív anyagra, különösen a kationos és az amfoter tulajdonságúakra, és emellett lehetővé kell tenni a műszeres elemzések alkalmazását azokban az esetekben, melyekben a félspecifikus analitikai módszerek nem megfelelőek.
(16) A biológiai lebonthatóságra vonatkozó vizsgálati módszerek meghatározása és az eltérések jegyzékének nyilvántartása technikai jellegű kérdés, és ezeket a műszaki és tudományos fejlődés, valamint a szabályozás alakulásának figyelembevételével felül kell vizsgálni.
(17) A vizsgálati módszerekből olyan adatoknak kell származniuk, melyek megfelelően bizonyítják a mosó- és tisztítószerekben levő felületaktív anyagok aerob biológiai lebonthatóságát.
(18) A mosó- és tisztítószerekben levő felületaktív anyagok biológiai lebonthatóságának vizsgálatára szolgáló módszerek különböző eredményekhez vezethetnek. Ilyen esetekben a további felhasználás kockázatainak meghatározása érdekében további értékelésekkel kell kiegészíteni azokat.
(19) Rendelkezéseket kell megállapítani a mosó- és tisztítószerekben levő, a teljes biológiai lebonthatóságra vonatkozó vizsgálatokon meg nem felelő felületaktív anyagok kivételes esetben történő forgalomba hozatala tekintetében is, és ennek a környezetvédelem biztosítására vonatkozó valamennyi lényeges információ alapján, eseti alapon kell történnie.
(20) Az e rendelet végrehajtásához szükséges intézkedéseket a Bizottságra ruházott végrehajtási hatáskörök gyakorlására vonatkozó eljárások megállapításáról szóló, 1999. június 28-i 1999/468/EK tanácsi határozattal ( 15 ) összhangban kell elfogadni.
(21) Indokolt emlékeztetni arra, hogy egyéb horizontális jogszabályokat is alkalmazni kell a mosó- is tisztítószereben levő felületaktív anyagokra, különösen az egyes veszélyes anyagok és készítmények forgalomba hozatalának és felhasználásának korlátozásaira vonatkozó tagállami törvényi, rendeleti és közigazgatási rendelkezések közelítéséről szóló, 1976. július 27-i 76/769/EGK tanácsi irányelvet ( 16 ), mellyel az e rendelet alkalmazási körébe tartozó veszélyes annyagok forgalomba hozatalát és felhasználását betiltani vagy korlátozni lehet; a veszélyes anyagok osztályozására, csomagolására és címkézésére vonatkozó törvényi, rendeleti és közigazgatási rendelkezések közelítéséről szóló, 1967. június 27-i 67/548/EGK tanácsi irányelvet ( 17 ); a 67/548/EGK tanácsi irányelvnek megfelelően bejelentett anyagok emberre és környezetre jelentett kockázatának a vizsgálatára vonatkozó alapelvek megállapításáról szóló, 1993. július 20-i 93/67/EGK bizottsági irányelvet ( 18 ); a 793/93/EGK rendeletet és a létező anyagok embert és környezetet érintő kockázatainak értékelésére vonatkozó elvek megállapításáról szóló, 1994. június 28-i 1488/94/EK bizottsági rendeletet ( 19 ); a biocid termékek forgalomba hozataláról szóló, 1998. február 16-i 98/8/EK európai parlamenti és tanácsi irányelvet ( 20 ); a helyes laboratóriumi gyakorlat elveinek alkalmazására és azok vegyi anyagok vizsgálatára történő alkalmazásának ellenőrzésére vonatkozó törvényi rendeleti és közigazgatási rendelkezések harmonizációjáról szóló, 2004. február 11-i 2004/10/EK európai parlamenti és tanácsi irányelvet (egységes szerkezetbe foglalt szövegváltozat) ( 21 ); a helyes laboratóriumi gyakorlat (GLP) vizsgálatáról és ellenőrzéséről szóló, 2004. február 11-i 2004/9/EK európai parlamenti és tanácsi irányelvet (egységes szerkezetbe foglalt szövegváltozat) ( 22 ) és a kísérleti és egyéb tudományos célokra felhasznált állatok védelmére vonatkozó tagállami törvényi, rendeleti és közigazgatási rendelkezések közelítésérő szóló, 1986. november 24-i 86/609/EGK tanácsi irányelvet ( 23 ).
(22) A gyártóknak kell viselniük a felelősséget azért, hogy ne hozzanak forgalomba e rendeletnek meg nem felelő mosó- és tisztítószereket, és hogy az e rendelet hatálya alá tartozó valamennyi anyagra és keverékre vonatkozóan a nemzeti hatóságok rendelkezésére bocsássák a műszaki dokumentációkat; ezt azokra a felületaktív anyagokra is alkalmazni kell, amelyek a III. mellékletben említett vizsgálatokon nem feleltek meg.
(23) A gyártók számára lehetőséget kell adni, hogy eltérést kérelmezzenek a Bizottságtól, a Bizottság számára biztosítani kell a lehetőséget,, hogy ezt az eltérést a 12. cikk (2) bekezdésében említett eljárással összhangban megadja.
(24) A tagállamok illetékes hatóságainak képesnek kell lenniük ellenőrző intézkedések alkalmazására a forgalomban levő mosó- és tisztítószerekre vonatkozóan, de el kell kerülniük az illetékes laboratóriumok által elvégzett vizsgálatok megismétlését.
(25) A mosó- és tisztítószerek címkézésére vonatkozó hatályos rendelkezéseket, ideértve a mosó- és tisztítószerekre vonatkozó szabályok modernizálása céljából e rendeletbe beépített, a 89/542/EGK ajánlásban szereplő rendelkezéseket is, meg kell tartani. Különleges címkézés kerül bevezetésre annak érdekében, hogy a fogyasztók tájékoztatást kapjanak a mosó- és tisztítószerekben található illatanyagokról és tartósítószerekről. Az egészségügyi dolgozók számára lehetőséget kell biztosítani, hogy kérésre a gyártóktól megkapják egy adott mosó- vagy tisztítószer valamennyi összetevőjének teljes felsorolását, hogy ennek segítségével megállapíthassák, létezik-e okozati összefüggés egy allergiás reakció kialakulása és egy bizonyos vegyi anyaggal való érintkezés között, és a tagállamok számára lehetővé kell tenni, hogy megkövetelhessék, hogy ezt a felsorolást olyan meghatározott állami szerv számára is elérhetővé tegyék, amelyet az egyészségügyi dolgozók ilyen információkkal történő ellátásra jelöltek ki.
(26) Valamennyi fenti pont a meglevő jogszabályok helyébe lépő új jogszabályt sürget; bizonyos ideig azonban a tagállamok továbbra is használhatják meglevő jogszabályaikat.
(28) Az e rendeletnek megfelelő mosó- és tisztítószerek forgalomba hozatalát az egyéb vonatkozó közösségi rendelkezések sérelme nélkül kell engedélyezni.
(29) Az emberek és a környezet előre nem látható kockázatokkal szembeni védelmének biztosítása érdekében védzáradékra van szükség.
(30) A felületaktív anyagok biológiai lebonthatóságára vonatkozóan meghatározott vizsgálatokat nemzetközileg elismert szabványnak, nevezetesen az EN/ISO/IEC/17025 szabványnak, vagy a helyes laboratóriumi gyakorlat elveinek megfelelő laboratóriumokban kell elvégezni; ez utóbbi követelmény alkalmazását nem volna indokolt már létező felületaktív anyagokra előírni, amennyiben az ezekre vonatkozóan rendelkezésre álló vizsgálatokat a fenti szabvány hatálybalépése előtt elvégezték, és azok összehasonlítható szintű tudományos minőséggel bírnak.
(31) Az anaerob biológiai lebonthatósággal, a mosó- és tisztítószerek főbb, nem felületaktív szerves összetevőivel, valamint a foszfáttartalommal kapcsolatos, e rendeletben nem szereplő kérdéseket a Bizottságnak meg kell vizsgálnia, és indokolt esetben javaslatot kell benyújtania az Európai Parlament és a Tanács számára. A további harmonizáció megtörténtéig a tagállamok megtarthatják a fenti kérdésekre vonatkozó nemzeti szabályaikat, vagy megállapíthatnak ilyeneket.
(32) Az első preambulumbekezdésben említett öt irányelvet és a bizottsági ajánlást, melyek helyébe e rendelet lép, hatályon kívül kell helyezni,
ELFOGADTA EZT A RENDELETET:
1. cikk
Célkitűzések és alkalmazási terület
(1) Ez a rendelet szabályokat állapít meg, melyek célja a belső piacon jelen levő mosó- és tisztítószerekre vonatkozóan a mosó- és tisztítószerek, illetve felületaktív anyagok szabad mozgásának megvalósítása, valamint a környezet és az emberi egészség magas fokú védelmének biztosítása.
(2) E célból ez a rendelet a mosó- és tisztítószerek, valamint a mosó- és tisztítószerekhez használt felületaktív anyagok forgalomba hozatalára vonatkozó, és az alábbi területeket érintő előírásokat hangolja össze:
- a mosó- és tisztítószerekben levő felületaktív anyagok biológiai lebonthatósága;
- a felületaktív anyagokra a biológiai lebonthatóság alapján vonatkozó korlátozások vagy tilalmak;
- a mosó- és tisztítószerek kiegészítő címkézése, beleértve az illatanyagokban található allergéneket;
- a gyártók által a tagállamok illetékes hatóságai és az egészségügyi személyzet számára rendelkezésre bocsátandó információk;
- a fogyasztói mosószerekben és automata mosogatógépekhez való fogyasztói mosogatószerekben található foszfátok és más foszforvegyületek koncentrációjának korlátozása.
2. cikk
Fogalommeghatározások
E rendelet alkalmazásában:
1. "mosó- és tisztítószer": minden, szappant és/vagy egyéb felületaktív anyagot tartalmazó anyag vagy keverék, amelyet mosási és tisztítási folyamatokra szánnak. A mosó- és tisztítószerek különböző formájúak lehetnek (folyékony, por, paszta, rúd, kocka, egyéb öntött formák stb.), amelyeket háztartási, közületi vagy ipari célra forgalmaznak vagy használnak.
Mosó- és tisztítószernek tekintendő egyéb termékek:
- "kiegészítő mosó keverékek": ruhák, háztartási vászonnemű stb. áztatásához (előmosásához), öblítéséhez vagy fehérítéséhez szánják;
- "öblítőszer": a szövetek mosását kiegészítő folyamatok során a szövetek tapintásának megváltoztatására szánják;
- "tisztító keverék": háztartási általános tisztítószernek és/vagy felületek egyéb tisztításához szánják (pl.: anyagok, termékek, gépek, mechanikus készülékek, szállítóeszközök és ezekhez kapcsolódó felszerelések, eszközök, berendezések, stb.);
- "egyéb tisztító vagy mosó keverékek": ezeket bármilyen más mosási vagy tisztítási folyamathoz szánják;
1a. "fogyasztói mosószer": nem szakemberek, többek között önkiszolgáló mosodák számára forgalomba hozott mosószer;
1b. "automata mosogatógépekhez való fogyasztói mosogatószer": nem szakemberek által használt automata mosogatógépekhez forgalomba hozott mosogatószer;
2. "mosás": ruhák, szövetek, edények és egyéb szilárd felületek tisztítása;
3. "tisztítás": az a folyamat, amely a nemkívánatos lerakódást eltávolítja a tisztítandó felületről vagy rétegből, és oldattá vagy diszperzióvá alakítja;
4. "anyag": kémiai elemek és ezek vegyületei, természetes állapotban vagy bármely termelési folyamatból nyerve, beleértve a termék stabilitásának megőrzéséhez szükséges bármely adalékot és az alkalmazott folyamatból származó bármely szennyeződést, de kizárva minden oldószert, mely az anyag stabilitásának befolyásolása vagy összetételének megváltoztatása nélkül elkülöníthető;
5. " keverék": két vagy több anyagból álló keverék vagy oldat;
6. "felületaktív anyag": mosó- és tisztítószerekben használt bármely szerves anyag és/vagy keverék, mely felületaktív tulajdonságokkal bír, valamint egy vagy több hidrofil és egy vagy több hidrofób csoportot tartalmaz, melyek jellege és mérete alkalmas a víz felületi feszültségének csökkentésére, a víz-levegő határfelületen szétterülésre vagy monomolekuláris adszorpciós rétegek kialakítására, emulziók és/vagy mikroemulziók és/vagy micellák képzésére, továbbá adszorpcióra a víz-szilárdanyag határfelületeken;
7. "elsődleges biológiai lebonthatóság": egy felületaktív anyag szerkezetének mikroorganizmusok általi megváltoztatása (átalakítása), mely a kiindulási anyag lebontása révén felületaktív tulajdonságainak elvesztését eredményezi, és a felületaktív tulajdonság elvesztése a II. mellékletben felsorolt vizsgálati módszerekkel mérhető;
8. "teljes aerob biológiai lebonthatóság": a felületaktív anyagnak a mikroorganizmusok által oxigén jelenlétében történő teljes felhasználásakor elért biológiai lebonthatóság szintje, melynek eredményeként az szén-dioxidra, vízre, a III. mellékletben felsorolt vizsgálati módszerekkel végzett mérések szerint bármely jelen levő elem ásványi sóira (mineralizáció), valamint új mikrobiális sejtes összetevőkre (biomassza) bomlik le;
9. "forgalomba hozatal": az első alkalommal történő forgalmazás az uniós piacon. Az Unió vámterületére történő behozatal forgalomba hozatalnak minősül;
9a. "forgalmazás": az uniós piacon gazdasági tevékenység keretében történő rendelkezésre bocsátás értékesítés, fogyasztás vagy használat céljára, akár ingyenesen, akár ellenérték fejében;
10. "gyártó": mosó- és tisztítószer, vagy mosó- és tisztítószerekben használandó felületaktív anyag forgalomba hozataláért felelős természetes vagy jogi személy; gyártó különösen az előállító, az importőr, az önállóan dolgozó csomagoló vagy bármely személy, aki egy mosó- vagy tisztítószer, illetve egy mosó- és tisztítószerekben használandó felületaktív anyag tulajdonságait megváltoztatja vagy annak címkézését elkészíti vagy megváltoztatja. A forgalmazó, aki nem változtatja meg a mosó- és tisztítószer, vagy a mosó- és tisztítószerekben használandó felületaktív anyag tulajdonságait, címkézését vagy csomagolását, nem gyártó, azt az esetet kivéve, ha importőrként jár el;
11. "egészségügyi dolgozó": az orvos, vagy orvos irányítása alatt dolgozó személy, aki betegek ellátását végzi, diagnózist állít fel vagy kezelést alkalmaz, és akit a szakmai titoktartás kötelez;
12. "ipari és közületi mosó- és tisztítószer": a háztartási területen kívül, szakképzett személyzet által specifikus termékekkel vézett mosáshoz és tisztításhoz használt mosó- és tisztítószer.
3. cikk
Forgalomba hozatal
(1) Forgalomba hozatalukkor az 1. cikkben említett mosó- és tisztítószereknek, valamint a mosó- és tisztítószerekben használandó felületaktív anyagoknak meg kell felelniük az e rendeletben és mellékleteiben, valamint megfelelő esetben a 98/8/EK irányelvben, és bármely más vonatkozó közösségi jogszabályban megállapított feltételeknek, jellemzőknek és határértékeknek. Azokra a felületaktív anyagokra, melyek a 98/8/EK irányelv értelmében hatóanyagok is, és amelyeket fertőtlenítőszerként használnak, nem vonatkoznak e rendelet II., III., IV. és VIII. mellékletének rendelkezései, feltéve, hogy:
a) szerepelnek a 98/8/EK irányelv I. vagy IA. mellékletében, vagy
b) a 98/8/EK irányelv 15. cikke (1) bekezdése vagy 15. cikke (2) bekezdése szerint engedélyezett biocid termékek alkotórészei, vagy
c) a 98/8/EK irányelv 16. cikkében előírt átmeneti intézkedések vagy a tízéves munkaprogram alá tartozó biocid termékek alkotórészei.
Ehelyett a fenti felületaktív anyagokat fertőtlenítőszereknek kell tekinteni, és az ezeket tartalmazó mosó- és tisztítószerekre a VII. melléklet A. szakaszának fertőtlenítőszerekre vonatkozó címkézési rendelkezései vonatkoznak.
(2) A mosó- és tisztítószerek és/vagy a mosó- és tisztítószerekben felhasználandó felületaktív anyagok gyártóinak közösségi illetőségűeknek kell lenniük.
(3) A gyártók felelnek azért, hogy a mosó- és tisztítószerek és/vagy a mosó- és tisztítószerekben felhasználandó felületaktív anyagok megfeleljenek e rendelet és mellékletei rendelkezéseinek.
4. cikk
A felületaktív anyagok biológiai lebonthatóságán alapuló korlátozások
(1) E rendelet szerint a III. mellékletben a teljes aerob biológiai lebonthatóságra vonatkozóan megállapított követelményeknek megfelelő felületaktív anyagokat, valamint az ilyen felületaktív anyagokat tartalmazó mosó- és tisztítószereket a biológiai lebonthatósággal kapcsolatos további korlátozások nélkül forgalomba lehet hozni.
(2) Amennyiben egy mosó- és tisztítószer olyan felületaktív anyagokat tartalmaz, melyek esetében a teljes aerob biológiai lebonthatóság szintje alacsonyabb a III. mellékletben meghatározottnál, a felületaktív anyagokat tartalmazó ipari vagy közületi mosó- és tisztítószerek és/vagy az ipari vagy közületi mosó- és tisztítószerekben használandó felületaktív anyagok gyártói eltérést kérhetnek. Az eltérés iránti kérelmeket az 5., 6. és 9. cikkel összhangban kell benyújtani és elbírálni.
(3) Az elsődleges biológiai lebonthatóság szintjét a teljes aerob biológiai lebonthatóságra vonatkozó vizsgálatokon meg nem felelő mosó- és tisztítószerekben levő valamennyi felületaktív anyagra meg kell mérni. Azok a mosó- és tisztítószerekben levő felületaktív anyagok, melyek esetében az elsődleges biológiai lebonthatóság szintje alacsonyabb a II. mellékletben meghatározottnál, nem kaphatnak eltérést.
4a. cikk
A foszfátok és más foszforvegyületek koncentrációjának korlátozása
A VIa. mellékletben felsorolt mosó- és tisztítószerek, amelyek nem felelnek meg az említett mellékletben a foszfátok és más foszforvegyületek koncentrációjára vonatkozóan meghatározott korlátozásnak, az abban előírt időpontoktól nem hozhatók forgalomba.
5. cikk
Eltérések megadása
(1) A gyártó eltérés iránti kérését az érintett tagállamnak a 8. cikk (1) bekezdésében említett illetékes hatóságához, valamint a Bizottsághoz megküldött kérelemmel kell megtenni, bemutatva a 6. cikk (1) bekezdésében említett követelményekkel kapcsolatos adatokat. A tagállamok az eltérés kérelmezését a tagállam illetékes hatóságának befizetett díjtól tehetik függővé. Ezeket az esetleges díjakat megkülönböztetéstől mentes módon kell kivetni, és azok nem haladhatják meg a kérelem feldolgozásának költségét.
(2) A kérelemnek olyan műszaki dokumentációt kell tartalmaznia, amely tartalmazza a biológiai lebonthatóságra vonatkozóan a III. mellékletben meghatározott határértékeknek meg nem felelő mosó- és tisztítószerekben levő felületaktív anyagok specifikus felhasználásával kapcsolatos biztonsági szempontok értékeléséhez szükséges valamennyi információt és indoklást.
A III. mellékletben meghatározott vizsgálatok eredményein kívül a műszaki dokumentáció tartalmazza a II. és IV. mellékletben meghatározott vizsgálatokkal kapcsolatos információkat és eredményeket.
A IV. melléklet 4. pontjában megállapított vizsgálatokat fokozatos megközelítés alapján kell elvégezni. A fokozatos megközelítés fogalommeghatározását a 12. cikk (2) bekezdésében említett eljárással összhangban 2007. április 8-ig elfogadandó műszaki útmutató dokumentum tartalmazza majd. Ez az útmutató dokumentum megfelelő esetben meghatározza azokat a vizsgálatokat is, melyekre a helyes laboratórumi gyakorlat elveit kell alkalmazni.
(3) A tagállam illetékes hatósága az (1) és (2) bekezdéssel összhangban benyújtott eltérés iránti kérelmek kézhezvételekor megvizsgálja a kérelmeket, értékeli, hogy megfelelnek-e az eltérésre vonatkozó feltételeknek, és a teljes kérelem kézhezvételét követően hat hónapon belül tájékoztatja a Bizottságot az eredményekről.
Amennyiben a tagállam illetékes hatósága az adott anyag és/vagy keverék által okozott kockázat értékeléséhez azt szükségesnek ítéli, a kérelem kézhezvételét követően három hónapon belül további információt, ellenőrző és/vagy igazoló vizsgálatokat kérhet a fenti anyagokra és/vagy keverékekre, valamint az azokból átalakított termékekre vonatkozóan, amelyekről e rendelet szerint értesítést vagy információt kaptak. A dokumentáció értékelésére a tagállam illetékes hatósága számára rendelkezésre álló időtartam csak akkor veszi kezdetét, ha a dokumentációt a további információkkal kiegészítették. Amennyiben a kért információt 12 hónapon belül nem nyújtják be, a kérelmet hiányosnak, ezáltal érvénytelennek kell tekinteni. Ebben az esetben a 6. cikk (2) bekezdését nem kell alkalmazni.
Amennyiben a bomlástermékekre vonatkozóan további információra van szükség, fokozatos vizsgálati stratégiákat kell alkalmazni az in vitro és az egyéb, nem állatokon végzett vizsgálati módszerek maximális kihasználásának biztosítása érdekében.
(4) A Bizottság, különösen a tagállamok által elvégzett értékelés alapján, a 12. cikk (2) bekezdésében említett eljárással összhangban eltérést adhat. Amennyiben szükséges, az ilyen eltérések megadása előtt a Bizottság újra értékeli az e cikk (3) bekezdésében megjelölt információkat. Határozatát a tagállam értékelésének kézhezvételét követően 12 hónapon belül meghozza, kivéve az 1999/468/EK határozat 5. cikke (4) és (6) bekezdésének esetét, amikor ez az időszak 18 hónap.
(5) Az ilyen eltérések a IV. mellékletben meghatározott kiegészítő kockázatértékelés eredményeitől függően engedélyezhetik, korlátozhatják vagy szigorú megszorításokkal sújthatják a mosó- és tisztítószerekben összetevőként jelen levő felületaktív anyagok forgalomba hozatalát és felhasználását. Ezek részét képezheti a mosó- és tisztítószerekben összetevőként jelen levő felületaktív anyagok forgalomba hozatalának és felhasználásának fokozatos megszüntetésére szolgáló időtartam. A Bizottság felülvizsgálhatja az eltérést, amint az eltérés iránti kérelemhez csatolt műszaki dokumentáció jelentős felülvizsgálatát indokoló új információ válik ismertté. E célból a gyártó kérésre benyújtja a Bizottságnak a IV. melléklet 2. pontjában említett kérdések tekintetében frissített műszaki dokumentációt. A frissített információ alapján a Bizottság dönthet az eltérés meghosszabbításáról, módosításáról vagy megszüntetéséről. E cikk (1)-(4) és (6) bekezdését, valamint a 6. cikket értelemszerűen kell alkalmazni.
(6) A Bizottság közzéteszi azon felületaktív anyagok jegyzékét, melyek eltérést kaptak, az V. mellékletben előírtak szerint a megfelelő felhasználási feltételekkel vagy korlátozásokkal együtt.
6. cikk
Az eltérés megadásának feltételei
(1) Amennyiben a Bizottság az eltérés megadását mérlegeli, ezt a 12. cikk (2) bekezdésében említett eljárással összhangban, valamint a következő kritériumok alapján teszi:
- inkább kismértékű szétterjedést okozó alkalmazásokban történő felhasználás, mint nagy mértékű szétterjedést okozó alkalmazásokban történő felhasználás;
- kizárólag meghatározott ipari és/vagy közületi alkalmazásokra történő felhasználás;
- a környezetre vagy az egészségre kifejtett kockázat az eladások mértéke és a Közösségben megjelenő felhasználási megoszlás alapján a társadalmi-gazdasági előnyökhöz képest alacsony, beleértve az élelmiszer-biztonsági és higiéniai normákat is.
(2) Ameddig a Bizottság nem dönt az eltérés iránti kérelemről, a szóban forgó felületaktív anyag forgalomba hozatalát és felhasználását folytatni lehet, feltéve, hogy a gyártó igazolni tudja, hogy a felületaktív anyag a Közösség piacán e rendelet hatálybalépésekor már használatban volt, és az eltérés iránti kérelmet attól az időponttól számítva két éven belül benyújtották.
(3) Amennyiben a Bizottság visszautasítja egy eltérés megadását, azt az 5. cikk (3) bekezdésében említett értékelésnek a tagállamtól történő kézhezvételét követően 12 hónapon belül kell megtennie, kivéve az 1999/468/EK határozat 5. cikke (4) és (6) bekezdésének esetét, amikor ez az időszak 18 hónap. Átmeneti időszakot határozhat meg, mely során a felületaktív anyag forgalomba hozatalát és felhasználását fokozatosan meg kell szüntetni. Ez az átmeneti időszak a Bizottság határozatának időpontjától számítva nem haladhatja meg a két évet.
(4) A Bizottság a VI. mellékletben közzéteszi azon felületaktív anyagok jegyzékét, amelyekről megállapították, hogy nem felelnek meg e rendeletnek.
7. cikk
A felületaktív anyagok vizsgálata
A 3. és 4. cikkben, valamint a II., III., IV. és VIII. mellékletben említett valamennyi vizsgálatot az I. melléklet 1. pontjában említett szabványoknak megfelelően és a 793/93/EGK rendelet 10. cikke (5) bekezdése szerinti vizsgálati követelményekkel összhangban kell elvégezni. E célból elegendő vagy az EN ISO/IEC szabványt, vagy a helyes laboratóriumi gyakorlat elveit alkalmazni, kivéve azon vizsgálatok esetét, melyekre nézve a helyes laboratóriumi gyakorlat elveinek alkalmazását kötelezővé tették. Azokban az esetekben, melyeknél a felületaktív anyagokat olyan mosó- és tisztítószerekben alkalmazzák, melyeket a fent említett szabvány hatálybalépése előtt hoztak forgalomba, a rendelkezésre álló legjobb tudományos ismeretek, valamint az I. mellékletben említett szabványokkal összehasonlítható szabvány szerint elvégzett meglevő vizsgálatokat eseti alapon el lehet fogadni. A gyártó vagy a tagállam bármely kétséges vagy vitás esetet benyújthat a Bizottságnak, mellyel kapcsolatban kétség vagy vita merült fel. Ezt követően a határozatot a 12. cikk (2) bekezdésében megállapított eljárással összhangban kell meghozni.
8. cikk
A tagállamok feladatai
(1) A tagállamok kijelölik az e rendelet végrehajtásával kapcsolatos információk közléséért és cseréjéért felelős illetékes hatóságot vagy hatóságokat, és e hatóságok teljes nevéről és címéről tájékoztatják a Bizottságot.
(2) Minden tagállam értesíti a többi tagállamot és a Bizottságot a jóváhagyott laboratóriumok jegyzékéről, azok teljes nevével és címével együtt, melyek illetékességgel és felhatalmazással rendelkeznek az e rendelet szerint előírt vizsgálatok elvégzéséhez. A tagállamok az I. melléklet 1. pontjában említett EN ISO/IEC 17025 szabványnak megfelelően igazolják a fenti laboratóriumok illetékességét. Ezt a követelményt teljesítettnek kell tekinteni, ha a tagállam igazolta, hogy a laboratóriumok a 2004/9/EK irányelv 2. cikkével összhangban megfelelnek a helyes laboratóriumi gyakorlat elveinek.
(3) Amennyiben egy tagállam illetékes hatósága joggal feltételezi, hogy egy jóváhagyott laboratórium nem rendelkezik a (2) bekezdésben említett illetékességgel, az ügyet a 12. cikkben említett bizottság elé viszi. Amennyiben a Bizottság úgy dönt, hogy a laboratórium nem rendelkezik az előírt illetékességgel, a jóváhagyott laboratórium nevét törlik a (4) bekezdésben említett jegyzékből. A 15. cikk (2) bekezdését kell alkalmazni, kivéve a helyes laboratóriumi gyakorlat követelményei alapján megfelelő minősítést kérő laboratóriumok esetét, melyekre nézve a 2004/9/EK irányelv 5. és 6. cikkének a meg nem felelésre vonatkozó rendelkezéseit kell alkalmazni.
(4) A Bizottság közzéteszi az (1) bekezdésben említett illetékes hatóságok és a (2) bekezdésben említett jóváhagyott laboratóriumok jegyzékét.
9. cikk
A gyártók által szolgáltatandó információ
(1) Az anyagok és keverékek osztályozásáról, címkézéséről és csomagolásáról szóló, 2008. december 16-i 1272/2008/EK európai parlamenti és tanácsi rendelet ( 24 ), 45. cikkének sérelme nélkül az e rendelet alkalmazási körébe tartozó anyagokat és/vagy keverékeket forgalomba hozó gyártók a tagállamok illetékes hatóságainak rendelkezésére bocsátják:
- a III. mellékletben említett vizsgálatok egy vagy több eredményével kapcsolatos információkat;
- a III. mellékletben említett vizsgálatokon meg nem felelő felületaktív anyagok, illetve azon felületaktív anyagok esetében, melyekre vonatkozóan az 5. cikkben említettek szerint eltérés iránti kérelmet nyújtottak be:
-
i. a II. mellékletben említett vizsgálatok eredményeiről szóló műszaki dokumentációt,
ii. a IV. mellékletben említett vizsgálatok eredményeiről és információkról szóló műszaki dokumentációt.
(2) Amennyiben az e rendelet alkalmazási körébe tartozó anyagok és/vagy keverékek forgalomba hozatalára bármikor sor kerül, a gyártó felelős a fent említett vonatkozó vizsgálatok megfelelő elvégzéséért. Az elvégzett vizsgálatokról szóló dokumentációnak is rendelkezésére kell állnia, hogy igazolja e rendelet betartását, valamint azt, hogy jogosult a nyilvánosság számára már elérhető vizsgálati eredményektől eltérő vizsgálati eredményekkel kapcsolatos tulajdonjogokra.
(3) Az e rendelet alkalmazási körébe tartozó keverékeket forgalomba hozó gyártók kérésre haladéktalanul és díjmentesen bármely egészségügyi dolgozó számára rendelkezésre bocsátják a VII. melléklet C. szakaszában meghatározott, az összetevőkről szóló adatlapot.
Ez nem sérti a tagállamok azon jogát, hogy kérjék a fenti adatlapok olyan meghatározott állami szerveknek történő bemutatását, melyeket a tagállamok bíztak meg az információk egészségügyi dolgozók számára történő átadásának feladatával.
Az adatlapon szereplő információt a meghatározott állami szerv és az egészségügyi dolgozók bizalmasan kezelik, és azokat kizárólag egészségügyi célokra használják fel.
10. cikk
Ellenőrző intézkedések
(1) A tagállamok illetékes hatóságai megfelelő esetben minden olyan ellenőrző intézkedést alkalmazhatnak a forgalomba hozott mosó- és tisztítószerekre, melyek biztosítani lehet, hogy a termék megfeleljen e rendelet rendelkezéseinek. Referenciamódszerként a VIII. mellékletben említett vizsgálati és analitikai módszerek szolgálnak. Ezek az ellenőrző intézkedések nem kötelezik a gyártókat a 8. cikk (2) bekezdésében megjelölt feltételeknek megfelelő laboratóriumok által elvégzett vizsgálatok megismétlésére, vagy bármilyen ismételt vagy további vizsgálat megfizetésére, feltéve, hogy az eredeti vizsgálat azt mutatta, hogy a mosó- és tisztítószer, vagy a mosó- és tisztítószer összetevőjeként használt felületaktív anyag megfelel ennek a rendeletnek.
(2) Olyan esetekben, amikor felmerül annak a gyanúja, hogy a II., III., IV. vagy VIII. mellékletben felsorolt módszerekkel összhangban elvégzett vizsgálat hamis pozitív eredményre vezetett, a tagállamok illetékes hatóságai értesítik a Bizottságot, és a Bizottság a 12. cikk (2) bekezdésében említett eljárással összhangban ellenőrzi az eredményeket, és megteszi a szükséges intézkedéseket.
11. cikk
Címkézés
(1) A (2)-(6) bekezdés nem sérti az anyagok és keverékek osztályozására, címkézésére és csomagolására vonatkozó, az 1272/2008/EK rendeletben meghatározott rendelkezéseket.
(2) A következő információt kell olvasható, látható és letörölhetetlen karakterekkel feltüntetni a csomagoláson, melyben a mosó- és tisztítószereket a fogyasztóknak eladásra kínálják:
a) a termék neve és kereskedelmi neve;
b) a termék forgalomba hozataláért felelős fél neve vagy kereskedelmi neve vagy védjegye, valamint teljes címe és telefonszáma;
c) az a cím, e-mail cím, amennyiben van ilyen, és telefonszám, melyen a 9. cikk (3) bekezdésében említett adatlap beszerezhető.
Ugyanezen információknak kell szerepelniük az ömlesztve szállított mosó- és tisztítószereket kísérő valamennyi okmányon.
(3) A mosó- és tisztítószerek csomagolásán a VII. melléklet A. szakaszában meghatározott előírásokkal összhangban fel kell tüntetni a tartalmat. Szintén fel kell tüntetni a használati útmutatót és szükség szerint a különleges óvintézkedéseket.
(4) Ezenfelül a fogyasztói mosószerek és automata mosogatógépekhez való fogyasztói mosogatószerek csomagolásán fel kell tüntetni a VII. melléklet B. részében meghatározott információt.
(5) Azokban az esetekben, amikor egy tagállam nemzeti rendelkezéseiben előírja a nemzeti nyelv(ek)en történő címkézést, a gyártónak és a forgalmazónak a (3) és (4) bekezdésben meghatározott információ tekintetében be kell tartania ezt az előírást.
(6) Az (1)-(5) bekezdés nem sérti a meglevő nemzeti szabályokat, melyek szerint gyümölcsök képi megjelenítése, amely a folyékony termékek felhasználását tekintve a felhasználót megtévesztheti, nem szerepelhet azon a csomagoláson, melyben a mosó- és tisztítószert a fogyasztónak eladásra kínálják.
12. cikk
Bizottsági eljárás
(1) A Bizottságot egy bizottság segíti.
(2) Az e bekezdésre történő hivatkozáskor az 1999/468/EK határozat 5. és 7. cikkét kell alkalmazni, 8. cikkének rendelkezéseire is figyelemmel.
Az 1999/468/EK határozat 5. cikkének (6) bekezdésében meghatározott határidő három hónap.
13. cikk
A mellékletek kiigazítása
(1) A Bizottság felhatalmazást kap arra, hogy a 13a. cikknek megfelelően felhatalmazáson alapuló jogi aktust fogadjon el az I-IV., VII. és VIII. mellékletnek a tudományos és műszaki fejlődéshez való hozzáigazítása érdekében szükséges módosításokra vonatkozóan. A Bizottság, ahol lehetséges, európai szabványokat használ.
(2) A Bizottság felhatalmazást kap arra, hogy a 13a. cikknek megfelelően felhatalmazáson alapuló jogi aktust fogadjon el e rendelet mellékleteinek az oldószeralapú mosó- és tisztítószerek tekintetében történő módosításaira vonatkozóan.
(3) Azokban az esetekben, amikor a fogyasztók biztonságával foglalkozó tudományos bizottság az allergiát okozó illatanyag-összetevőkre vonatkozóan kockázaton alapuló egyedi koncentrációs határértékeket állapít meg, a Bizottság a 13a. cikknek megfelelően felhatalmazáson alapuló jogi aktust fogad el a VII. melléklet A. szakaszában előírt 0,01 %-os határérték ennek megfelelően történő kiigazítására.
13a. cikk
A felhatalmazás gyakorlása
(1) A Bizottság az e cikkben meghatározott feltételek mellett felhatalmazást kap felhatalmazáson alapuló jogi aktus elfogadására.
(2) A 13. cikkben említett felhatalmazás ötéves időtartamra szól 2012. április 19-től kezdődő hatállyal. A Bizottság legkésőbb 2016. július 19-ig jelentést készít a felhatalmazásról. Amennyiben az Európai Parlament vagy a Tanács nem ellenzi a meghosszabbítást legkésőbb három hónappal az egyes időtartamok vége előtt, akkor a felhatalmazás hallgatólagosan meghosszabbodik további ötéves időtartamokra.
(3) Az Európai Parlament vagy a Tanács bármikor visszavonhatja a 13. cikkben említett felhatalmazást. A visszavonásról szóló határozat megszünteti az abban megjelölt felhatalmazást. A határozat az Európai Unió Hivatalos Lapjában való kihirdetését követő napon, vagy a benne megjelölt későbbi időpontban lép hatályba. A határozat nem érinti a már hatályban lévő felhatalmazáson alapuló jogi aktusok érvényességét.
(4) A Bizottság a felhatalmazáson alapuló jogi aktus elfogadását követően haladéktalanul és egyidejűleg értesíti az Európai Parlamentet és a Tanácsot e jogi aktus elfogadásáról.
(5) A 13. cikk értelmében elfogadott felhatalmazáson alapuló jogi aktus csak akkor lép hatályba, ha az Európai Parlamentnek és a Tanácsnak a jogi aktusról való értesítését követő két hónapon belül sem az Európai Parlament, sem a Tanács nem emelt ellene kifogást, illetve, ha az említett időtartam lejártát megelőzően mind az Európai Parlament, mind a Tanács arról tájékoztatta a Bizottságot, hogy nem fog kifogást emelni. Az Európai Parlament vagy a Tanács kezdeményezésére ez az időtartam két hónappal meghosszabbodik.
14. cikk
A szabad mozgásról szóló záradék
(1) A tagállamok az e rendeletben tárgyalt szempontok alapján nem tiltják, korlátozzák vagy akadályozzák azon mosó- és tisztítószerek és/vagy mosó- és tisztítószerekben használandó felületaktív anyagok forgalmazását, amelyek megfelelnek e rendelet előírásainak.
(2) A tagállamok fenntarthatnak vagy elfogadhatnak nemzeti szabályokat azon mosó- és tisztítószerekben található foszfátok és más foszforvegyületek koncentrációjának korlátozására vonatkozóan, amelyekre a VIa. melléklet nem állapít meg koncentrációra vonatkozó korlátozásokat, különösen amennyiben azt a közegészség vagy a környezet védelme indokolja, valamint technikailag és gazdaságilag megvalósítható alternatív anyagok állnak rendelkezésre.
(3) A tagállamok fenntarthatnak 2012. március 19-én már hatályban lévő nemzeti szabályokat azon mosó- és tisztítószerekben található foszfátok és más foszforvegyületek koncentrációjának korlátozására vonatkozóan, amelyekre a VIa. melléklet nem állapít meg koncentrációra vonatkozó korlátozásokat. E meglévő nemzeti intézkedésekről 2012. szeptember 30-ig jelentést kell tenni a Bizottság számára, és ezen intézkedések addig az időpontig maradhatnak hatályban, amíg a VIa. mellékletben meghatározott korlátozások hatályba nem lépnek.
(4) A tagállamok 2012. március 19-től2016. december 31-ig fogadhatnak el nemzeti szabályokat a foszfátok és más foszforvegyületek koncentrációjára vonatkozóan a VIa. melléklet 2. pontjában meghatározott korlátozás végrehajtására, amennyiben az különösen a közegészség vagy a környezet védelme miatt indokolt, valamint technikailag és gazdaságilag megvalósítható alternatív anyagok állnak rendelkezésre. A tagállamok a műszaki szabványok és szabályok terén történő információszolgáltatási eljárás és az információs társadalom szolgáltatásaira vonatkozó szabályok megállapításáról szóló, 1998. június 22-i 98/34/EK európai parlamenti és tanácsi irányelvnek ( 25 ) megfelelően értesítik a Bizottságot ezen intézkedésekről.
(5) A Bizottság közzéteszi a (3) és (4) bekezdésben említett nemzeti intézkedések jegyzékét.
15. cikk
Védzáradék
(1) Amennyiben egy tagállam joggal feltételezi, hogy egy meghatározott mosó- és tisztítószer, bár megfelel e rendelet előírásainak, kockázatot jelent az emberek vagy állatok biztonságára vagy egészségére vagy a környezetre nézve, a kockázat jellegével arányos, megfelelő átmeneti intézkedéseket hozhat annak biztosítására, hogy a fenti mosó- és tisztítószer ne jelenthessen kockázatot a továbbiakban, ésszerű időtartamon belül kivonják a piacról vagy visszahívják, vagy egyéb módon korlátozzák hozzáférhetőségét.
A tagállamnak erről haladéktalanul tájékoztatnia kell a többi tagállamot és a Bizottságot, megadva döntésének okait.
(2) A tagállamokkal vagy megfelelő esetben a Bizottság illetékes műszaki vagy tudományos bizottságával folytatott konzultációt követően a 12. cikk (2) bekezdésében említett eljárással összhangban 90 napon belül határozatot kell hozni az ügyben.
16. cikk
Jelentés
(1) A Bizottság 2014. december 31-ig átfogó elemzésen alapuló értékelést végez a tagállamoktól származó, a területükön forgalomba hozott automata mosogatógépekhez való fogyasztói mosogatószerek foszforkoncentrációjára vonatkozó információkat figyelembe véve, és bármely rendelkezésére álló, a foszfáttartalmú vagy alternatív készítményekben alkalmazott anyagokra vonatkozó meglévő vagy új tudományos információra tekintettel arra vonatkozóan, hogy módosítani kell-e a VIa. melléklet 2. pontjában meghatározott korlátozásokat. Ezen értékelés részét kell képeznie a VIa. mellékletben meghatározott határérték feletti és alatti foszfortartalmú, automata mosogatógépekhez való fogyasztói mosogatószerek környezetre, iparra és fogyasztókra gyakorolt hatásaira vonatkozó elemzésnek, figyelembe véve többek között a költségek, az elérhetőség, a tisztítási hatékonyság és a szennyvíztisztításra gyakorolt hatás kérdéseit. A Bizottság benyújtja ezt az átfogó értékelést az Európai Parlamentnek és a Tanácsnak.
(2) Mindemellett, ha a Bizottság az (1) bekezdésben említett átfogó értékelés alapján úgy véli, hogy az automata mosogatógépekhez való fogyasztói mosogatószerekben használt foszfátok és más foszforvegyületek korlátozása felülvizsgálatra szorul, 2015. július 1-jéig megfelelő jogalkotási javaslatot terjeszt be. A javaslatnak arra kell irányulnia, hogy minimalizálják a fogyasztói automata mosogatógéphez való minden fogyasztói mosogatószer által a tágabb környezetre gyakorolt negatív hatást, figyelembe véve ugyanakkor az átfogó értékelésben megállapított gazdasági költségeket. Amennyiben az Európai Parlament és a Tanács e javaslat alapján 2016. december 31-ig másképp nem dönt, a VIa. melléklet 2. pontjában meghatározott határérték lesz az automata mosogatógépekhez való fogyasztói mosogatószerek foszforkoncentrációjának határértéke az említett pontban meghatározott időponttól.
17. cikk
Hatályon kívül helyezendő jogszabályok
(1) A következő irányelvek 2005. október 8-ától kezdődően hatályukat vesztik:
- 82/243/EGK irányelv és
(2) A 89/542/EGK ajánlás 2005. október 8-ától kezdődően hatályát veszti.
(3) A hatályon kívül helyezett irányelvekre történő hivatkozásokat e rendeletre történő hivatkozásokként kell értelmezni.
(4) E rendelet hatálybalépésének napján a tagállamok hatályon kívül helyezik az (1) bekezdésben meghatározott irányelveknek, valamint a (2) bekezdésben említett ajánlásnak megfelelően elfogadott törvényi, rendeleti és közigazgatási rendelkezéseket.
18. cikk
Szankciók
A tagállamok megállapítják az e rendelet megsértése esetén alkalmazandó szankciókra vonatkozó szabályokat, és megteszik a szükséges intézkedéseket azok végrehajtásának biztosítására. Ezek közé olyan megfelelő intézkedések is tartozhatnak, amelyek lehetővé teszik a tagállamok illetékes hatóságai számára, hogy az e rendeletnek meg nem felelő mosó- és tisztítószerek vagy felületaktív anyagok forgalmazását megakadályozzák. Az előírt szankcióknak hatékonyaknak, arányosaknak és visszatartó erejűeknek kell lenniük. A tagállamok haladéktalanul értesítik a Bizottságot az említett rendelkezésekről és az azokat érintő bármely későbbi módosításról.
Az említett szabályok közé olyan intézkedéseknek kell tartozniuk, amelyek lehetővé teszik a tagállamok illetékes hatóságai számára, hogy az e rendeletnek meg nem felelő mosó- és tisztítószerek szállítmányait visszatartsák.
19. cikk
Hatálybalépés
Ez a rendelet 2005. október 8-án lép hatályba.
Ez a rendelet teljes egészében kötelező és közvetlenül alkalmazandó valamennyi tagállamban.
I. MELLÉKLET
Az akkreditációval, a helyes laboratóriumi gyakorlattal és az állatok védelmével kapcsolatos szabványok azokra a laboratóriumokra vonatkozóan, melyek illetékességgel és felhatalmazással rendelkeznek a mosó- és tisztítószerek e rendelet és mellékletei rendelkezéseinek való megfelelésének ellenőrzéséhez szükséges szolgáltatások elvégzésére
1. A laboratóriumok szintjén alkalmazandó szabványok:
EN ISO/IEC 17025, A vizsgálatokat végző és kalibráló laboratóriumok illetékességére vonatkozó általános követelmények;
2. Az akkreditációs szervek és a helyes laboratóriumi gyakorlatot ellenőrző hatóságok szintjén alkalmazandó szabványok:
EN 45003, Kalibráló és vizsgáló laboratóriumi akkreditációs rendszerek, a működés és elismerés általános követelményei;
II. MELLÉKLET
A mosó- és tisztítószerekben levő felületaktív anyagok elsődleges biológiai lebonthatóságára vonatkozó vizsgálati módszerek
Az elsődleges biológiai lebonthatóságot az eredeti felületaktív anyagok biológiailag lebontott oldatában megmaradó mennyiségének meghatározásával mérik. Ez a melléklet a felületaktív anyagok valamennyi osztályára nézve megegyező vizsgálati módszerek felsorolásával kezdődik, majd az A-D. címsorok alatt felsorolja a felületaktív anyagok egyes osztályaira nézve specifikus analitikai vizsgálatokat.
Az elsődleges biológiai lebonthatóság tekintetében a megfelelés kritériuma az alább felsorolt vizsgálati módszerekel mért legalább 80 %-os lebonthatóság.
Az e rendeletben szereplő felületaktív anyagok laboratóriumi vizsgálatának referenciamódszere az OECD-módszerben szereplő igazoló vizsgálati eljárás, a VIII. melléklet 1. pontjában leírtak szerint. Az igazoló vizsgálati eljárástól való eltérések megengedhetők, amennyiben azok megfelelnek az EN ISO 11733 szabványnak.
VIZSGÁLATI MÓDSZEREK
1. Az OECD-módszer, melyet az OECD műszaki jelentésében 1976. június 11-én tettek közzé "Javasolt módszer a szintetikus mosó- és tisztítószerekben lévő felületaktív anyagok biológiai lebonthatóságának meghatározására" címmel.
2. A Franciaországban használt módszer, melyet 1987. december 30-án a Journal officiel de la République française 15385. oldalán közzétett "arręté du 24 décembre 1987", valamint az Association française de normalisation (AFNOR) által 1981 júniusában közzétett NF 73-260 szabvány hagyott jóvá.
3. A Németországban használt módszer, melyet az 1977 évi Bundesgesetzblatt I. része 244. oldalán közzétett, 1977. január 30-i "Verordnung über die Abbaubarkeit anionischer und nichtionischer grenzflächenaktiver Stoffe in Wasch- und Reinigungsmitteln" állapított meg, a fenti rendeletet módosító, 1986. június 4-i, az 1986 évi Bundesgesetzblatt I. része 851. oldalán közzétett rendeletben meghatározottak szerint.
4. Az Egyesült Királyságban használt, "Porous Pot Test" elnevezésű, a Vízügyi Kutatóközpont 70. (1978) számú műszaki jelentésében leírt módszer.
5. Az OECD-módszerben szereplő "igazoló vizsgálati eljárás", a VIII. melléklet 1. pontjában leírtak szerint (beleértve működési feltételekre vonatkozóan az EN ISO 11733 szabványban javasolt lehetséges változtatásokat). Ez egyben az esetleges peres ügyek rendezésére szolgáló referenciamódszer is.
A. AZ ANIONOS FELÜLETAKTÍV ANYAGOKRA VONATKOZÓ ANALITIKAI MÓDSZEREK
Az anionos felületaktív anyagok meghatározását a vizsgálatok során a metilénkék-aktív anyag (MBAS) elemzéssel kell végezni, a VIII. melléklet 2. pontjában megállapított kritériumoknak megfelelően. Az olyan anionos felületaktív anyagok esetében, amelyek nem reagálnak a fent említett MBAS módszerre, vagy amennyiben az a hatékonyság vagy a pontosság miatt helyénvalóbbnak tűnik, megfelelő specifikus műszeres elemzéseket kell alkalmazni, mint a nagy hatékonyságú folyadékkromatográfia (HPLC) vagy a gázkromatográfia (GC). A vizsgálni kívánt tiszta felületaktív anyag mintáit a gyártó kérésre a tagállam illetékes hatóságainak rendelkezésre bocsátja.
B. A NEM IONOS FELÜLETAKTÍV ANYAGOKRA VONATKOZÓ ANALITIKAI MÓDSZEREK
A nem inonos felületaktív anyagok meghatározását a vizsgálatok során a bizmutaktív anyag (BiAS) módszerrel kell végezni, a VIII. melléklet 3. pontjában megállapított analitikai eljárásnak megfelelően.
Az olyan nem ionos felületaktív anyagok esetében, amelyek nem reagálnak a fent említett BiAS módszerre, vagy amennyiben az a hatékonyság vagy a pontosság miatt helyénvalóbbnak tűnik, megfelelő specifikus műszeres elemzéseket kell alkalmazni, mint a HPLC vagy a GC. A vizsgálni kívánt tiszta felületaktív anyag mintáit a gyártó kérésre a tagállam illetékes hatóságainak rendelkezésre bocsátja.
C. A KATIONOS FELÜLETAKTÍV ANYAGOKRA VONATKOZÓ ANALITIKAI MÓDSZEREK
A kationos felületaktív anyagok meghatározását a vizsgálatok során a diszulfinkék-aktív anyag (DBAS) elemzéssel kell végezni, a következő DBAS-eljárásoknak megfelelően:
A Németországi Szövetségi Köztársaságban használt módszer, (1989) DIN 38 409 - Ausgabe: 1989-07.
Az olyan kationos felületaktív anyagok esetében, amelyek nem reagálnak a fent említett vizsgálati módszerre, vagy amennyiben az a hatékonyság vagy a pontosság miatt helyénvalóbbnak tűnik (ezt indokolni kell), megfelelő specifikus műszeres elemzéseket kell alkalmazni, mint a HPLC vagy a GC. A vizsgálni kívánt tiszta felületaktív anyag mintáit a gyártó kérésre a tagállam illetékes hatóságainak rendelkezésre bocsátja.
D. AZ AMFOTER FELÜLETAKTÍV ANYAGOKRA VONATKOZÓ ANALITIKAI MÓDSZEREK
Az amfoter felületaktív anyagok meghatározását a vizsgálatok során az alább felsorolt eljárásokat követő elemzésekkel kell végezni:
1. Amennyiben kationosak nincsenek jelen:
A Németországi Szövetségi Köztársaságban használt módszer, (1989) DIN 38 409-Teil 20.
2. Ettől eltérő esetben:
Orange II módszer (Boiteux, 1984).
Az olyan amfoter felületaktív anyagok esetében, amelyek nem reagálnak a fent említett vizsgálatokra, vagy amennyiben az a hatékonyság vagy a pontosság miatt helyénvalóbbnak tűnik (ezt indokolni kell), megfelelő specifikus műszeres elemzéseket kell alkalmazni, mint a HPLC vagy a GC. A vizsgálni kívánt tiszta felületaktív anyag mintáit a gyártó kérésre a tagállam illetékes hatóságainak rendelkezésre bocsátja.
III. MELLÉKLET
A MOSÓ- ÉS TISZTÍTÓSZEREKBEN LEVŐ FELÜLETAKTÍV ANYAGOK TELJES BIOLÓGIAI LEBONTHATÓSÁGÁRA (MINERALIZÁCIÓ) VONATKOZÓ VIZSGÁLATI MÓDSZEREK
A. Az e rendeletben szereplő, a felületaktív anyagok teljes biológiai lebonthatóságára vonatkozó laboratóriumi vizsgálatok referenciamódszere az EN ISO 14593:1999 szabványon (a gőztér CO2-tartalmának vizsgálatán) alapul.
A mosó- és tisztítószerekben található felületaktív anyagokat biológiailag lebonthatónak kell tekinteni, ha a biológiai lebonthatóság (mineralizáció) szintje a következő vizsgálatok ( 26 ) valamelyikével mérve 28 napon belül legalább 60 %:
1. EN ISO 14593:1999 szabvány. Vízminőség. Szerves vegyületek teljes aerob biológiai lebonthatóságának vizsgálata vizes közegben. A lezárt edényzet szervetlen széntartalmának meghatározásán alapuló módszer (a gőztér CO2-tartalmának vizsgálata). Előadaptáció nem használandó. A tíznapos ablak elve nem alkalmazandó. (Referenciamódszer.)
2. A 67/548/EGK irányelv V.C.4-C. mellékletében szereplő módszer (Szén-dioxid (CO2) felszabadulására vonatkozó módosított Sturm-teszt). Előadaptáció nem használandó. A tíznapos ablak elve nem alkalmazandó.
3. A 67/548/EGK irányelv V.C.4-E. mellékletében szereplő módszer (lezárt üveg). Előadaptáció nem használandó. A tíznapos ablak elve nem alkalmazandó.
4. A 67/548/EGK irányelv V.C.4-D. mellékletében szereplő módszer (manometrikus respirometria). Előadaptáció nem használandó. A tíznapos ablak elve nem alkalmazandó.
5. A 67/548/EGK irányelv V.C.4-F. mellékletében szereplő módszer (MITI-teszt, Ministry of International Trade and Industry - Japán. Előadaptáció nem használandó. A tíznapos ablak elve nem alkalmazandó.
6. ISO 10708:1997. Vízminőség. Szerves vegyületek teljes aerob biológiai lebonthatóságának kiértékelése vizes közegben. A biokémiai oxigénigény (BOI) meghatározása kétfázisú zárt palackos teszttel. Előadaptáció nem használandó. A tíznapos ablak elve nem alkalmazandó.
B. A felületaktív anyag fizikai jellemzőitől függően megfelelően indokolt esetben az alább felsorolt módszerek egyikét lehet használni ( 27 ). Meg kell jegyezni, hogy az e módszerekben alkalmazott megfelelési kritériumot (legalább 70 %) egyenértékűnek kell tekinteni az A. pontban felsorolt módszerekben alkalmazott megfelelési kritériummal (legalább 60 %). Az alább felsorolt módszerek kiválasztásának helyénvaló voltát e rendelet 5. cikkével összhangban eseti megerősítésekkel kell meghatározni.
1. A 67/548/EGK irányelv V.C.4-A. mellékletében szereplő módszer (Oldott szerves szén (DOC) csökkenése). Előadaptáció nem használandó. A tíznapos ablak elve nem alkalmazandó. A biológiai lebonthatóság megfelelőségi kritériuma a vizsgálatnak megfelelő mérések szerint 28 napon belül legalább 70 %.
2. A 67/548/EGK irányelv V.C.4-B. mellékletében szereplő módszer (módosított OECD-vizsgálat - DOC-csökkenés). Előadaptáció nem használandó. A tíznapos ablak elve nem alkalmazandó. A biológiai lebonthatóság megfelelőségi kritériuma a vizsgálatnak megfelelő mérések szerint 28 napon belül legalább 70 %.
Megjegyzés: A fent említett módszerek közül azok, melyek átvétele a 67/548/EGK tanácsi irányelvből történt, megtalálhatók a "Veszélyes anyagok osztályozása, csomagolása és címkézése az Európai Unióban" című kiadvány "Vizsgálati módszerek" című 2. részében is. Európai Bizottság 1997. ISBN 92-828-0076-8.
IV. MELLÉKLET
A MOSÓ- ÉS TISZTÍTÓSZEREKBEN LEVŐ FELÜLETAKTÍV ANYAGOKRA VONATKOZÓ KIEGÉSZÍTŐ KOCKÁZATÉRTÉKELÉS
Azon felületaktív anyagok esetében, melyekre nézve a 93/67/EGK irányelv, vagy a 793/93/EGK rendelet és az 1488/94/EK rendelet, valamint a műszaki útmutató dokumentumok értelmében rendelkezésre áll kockázatértékelés, ezt a kockázatértékelést az e rendelet alkalmazási körében elvégzett kiegészítő kockázatelemzéssel együtt kell figyelembe venni.
Amennyiben valószínű, hogy rekalcitráns bomlástermékek keletkeznek, az e rendelet alkalmazási körében végzett kiegészítő kockázatértékelést a 93/67/EGK irányelv vagy a 793/93/EGK rendelet alapján végzett értékelésekkel együtt kell figyelembe venni. Ezt eseti alapon és különösen a 3. részben említett vizsgálatok eredményei alapján kell értékelni.
A vizsgálatnak a vízi környezetre ki kell terjednie. A 12. cikk (2) bekezdésében említett bizottság eseti alapon további információ adását írhatja elő az egyedi kockázatértékelési kérdésekkel kapcsolatban. A további információk egyéb környezeti elemekre, például a szennyvíziszapra vagy a talajra vonatkozhatnak. Az 5. és 9. cikkben említett műszaki dokumentációhoz szükséges információra vonatkozóan fokozatos megközelítést kell alkalmazni. A dokumentációnak legalább az alábbi 1., 2. és 3. pontokban leírt információt kell tartalmaznia.
A vizsgálatok minimalizálása érdekében azonban, és különösen az állatokon végzett felesleges vizsgálatok elkerülése érdekében, a 4.2.2. pontban felsorolt kiegészítő vizsgálatokat kizárólag akkor kell kérni, ha az ilyen információk szükségesek és arányosak. A szükséges további információk mennyiségére vonatkozó viták esetében a 12. cikk (2) bekezdésében megállapított eljárással összhangban határozatot lehet hozni.
A 13. cikkben megállapítottak szerint az e mellékletben az eltérésekre vonatkozó határozatokkal kapcsolatban szereplő útmutatásokat megfelelő esetben az összegyűlt tapasztalatok alapján lehet.módosítani.
1. A felületaktív anyag azonosítása (a 67/548/EGK irányelv VII.A. mellékletében megállapított rendelkezésekkel összhangban).
1.1. Név
1.1.1. Nevek az IUPAC nómenklatúra szerint
1.1.2. Egyéb nevek
1.1.3. CAS-szám és CAS-név (ha van ilyen)
1.1.4. EINECS ( 28 ) - vagy ELINCS ( 29 ) -számok (ha van ilyen)
1.2. Molekula- és szerkezeti képlet
1.3. A felületaktív anyag összetétele
2. A felületaktív anyagra vonatkozó információ
2.1. A mosó- és tisztítószerekben használt felületaktív anyag mennyiségei
2.2. A felhasználás megoszlására vonatkozóan e szakaszban megadott információ elegendő a felületaktív anyag mosó- és tisztítószerekben történő felhasználásához kapcsolódó funkciójának és környezeti expozíciójának közelítő, de valós becslésére. Ebbe a következők tartoznak:
- az alkalmazás fontossága (társadalmi érték),
- felhasználási körülmények (a környezetbe kerülés módjai),
- a felhasználás mértéke,
- alternatív megoldások elérhetősége és megfelelősége (teljesítményre vonatkozó és gazdasági szempontok),
- a vonatkozó környezeti információk értékelése.
3. Az esetlegesen rekalcitráns bomlástermékekre vonatkozó információ
Meg kell adni a vizsgálati oldatok toxicitására vonatkozó információt. Amennyiben nem állnak rendelkezésre adatok a maradékanyagok azonosságáról, kérni lehet a 4.2.1. pontban említett információt, a mosó- és tisztítószerekben használt felületaktív anyagok lehetséges kockázatától, fontosságától és mennyiségétől függően. A fenti információ tekintetében ellentmondó esetekben a 12. cikk (2) bekezdésében megállapított eljárással összhangban határozatot lehet hozni.
4. További vizsgálatok
4.1. A biológiai lebonthatóságra vonatkozó vizsgálatok
4.1.1. Pre-adaptált oltóanyag
A III. mellékletben leírt vizsgálatok bármelyikét lehet preadaptált oltóanyaggal végezni annak érdekében, hogy a felületaktív anyaghoz történő preadaptáció helytállóságáról adatokat nyerjünk.
4.1.2. Az inherens biológiai lebonthatóságra vonatkozó vizsgálatok
Az itt említett vizsgálatok közül legalább egynek szerepelnie kell:
- a 67/548/EGK irányelv V.C.12. mellékletében szereplő módszer (Módosított SCAS-vizsgálat),
- a 67/548/EGK irányelv V.C.9. mellékletében szereplő módszer (Zahn-Wellens).
Az inherens biológiai lebonthatóság vizsgálatán a meg nem felelés jelentheti a perzisztenciára való hajlamot, melyet általában véve elegendőnek lehet tekinteni az ilyen felületaktív anyag forgalomba hozatalának megtiltásához, azokat az eseteket kivéve, melyeknél a 6. cikkben meghatározott kritérumok azt mutatják, hogy az eltérés visszautasítása nem indokolt.
4.1.3. A biológiai lebonthatóság eleveniszap-szimulációs vizsgálata
Az itt említett következő vizsgálatokat kell szerepetetni:
- a 67/548/EGK irányelv V.C.10. mellékletében szereplő módszer (beleértve a működési körülmények EN ISO 11733 szabványban javasolt esetleges eltéréseit is).
A biológiai lebonthatóság eleveniszap-szimulációs vizsgálatán a meg nem felelés jelenthet arra való hajlamot, hogy a szennyvíz kezelése során bomlástermékek szabadulnak fel, melyet általában véve elegendőnek lehet tekinteni annak jeléül, hogy szélesebb körű kockázatértékelésre van szükség.
4.2. A biológiai lebonthatóság szempontjából vizsgált oldatok toxicitásának vizsgálata
A vizsgálati oldatok toxicitásával kapcsolatos információt a következőkre vonatkozóan kell megadni:
4.2.1. Kémiai és fizikai információ, mint:
- a bomlástermék azonosítása (és az ehhez vezető analitikai módszerek);
- főbb fizikai kémiai tulajdonságok (vízoldhatóság, oktanol:víz megoszlási hányados [Log Po/w], stb.).
4.2.2. Az élő szervezetekre kifejtett hatások. A vizsgálatokat a helyes laboratóriumi gyakorlat elveinek megfelelően kell végezni.
Halak: a 67/548/EGK irányelv V.C.1. mellékletében szereplő vizsgálat az ajánlott
Daphnia: a 67/548/EGK irányelv V.C.2. mellékletében szereplő vizsgálat az ajánlott
Algák: a 67/548/EGK irányelv V.C.3. mellékletében szereplő vizsgálat az ajánlott
Baktériumok: a 67/548/EGK irányelv V.C.11. mellékletében szereplő vizsgálat az ajánlott
4.2.3. Lebomlás
Biotikus: a 67/548/EGK irányelv V.C.5. mellékletében szereplő vizsgálat az ajánlott
Abiotikus: a 67/548/EGK irányelv V.C.7. mellékletében szereplő vizsgálat az ajánlott. A megadandó információ foglalkozik a bomlástermékek biológiai felhalmozódásra való hajlamával, valamint az üledék fázisban kialakuló megoszlásukkal is.
Ezen felül, amennyiben egyes bomlástermékek esetében gyanítható, hogy az endokrin működést megzavaró aktivitást mutatnak, ajánlott annak meghatározása, képesek-e káros hatásokat okozni, amint hitelesített vizsgálati módszerek állnak rendelkezésre e káros hatások vizsgálatára.
N.B.
A fent említett vizsgálatok mindegyike szintén megtalálható a "Veszélyes anyagok osztályozása, csomagolása és címkézése az Európai Unióban" című kiadvány "Vizsgálati módszerek" című 2. részében. Európai Bizottság 1997. ISBN 92-828-0076-8.
V. MELLÉKLET
AZON FELÜLETAKTÍV ANYAGOK FELSOROLÁSA, AMELYEK ESETÉBEN ENGEDÉLYEZTÉK AZ ELTÉRÉST
A 4-6. cikkel és a 12. cikk (2) bekezdésében megállapított eljárással összhangban engedélyezett eltérés révén az alább említett korlátozásokkal forgalomba hozhatók és használhatók a mosó- és tisztítószerekben lévő alábbi felületaktív anyagok, amelyek a II. mellékletben meghatározott vizsgálatokon megfeleltek, a III. mellékletben meghatározottakon azonban nem:
Név az IUPAC-nómenklatúrában | EC-szám | CAS-szám | Korlátozás |
Alkoholok, Guerbet, C16-20, etoxilált, n-butil-éter (7-8EO) | Nincs (polimer) | 147993-59-7 | Kizárólag a következő ipari alkalmazásokra használható 2019. június 27-ig: — palackmosás — CIP-eljárás (cleaning in place, csőrendszerek szétszerelés nélküli tisztítása) — fémtisztítás |
Az "EC-szám" az EINECS-, ELINCS- vagy NLP-számot jelenti, és az anyag Európai Unión belüli hivatalos száma.
Az "EINECS" a létező kereskedelmi vegyi anyagok európai jegyzéke (European Inventory of Existing Commercial Chemical Substances). Ez a jegyzék az 1981. szeptember 18-án a közösségi piacon jelen levőnek tekintett valamennyi anyag végleges felsorolását tartalmazza. Az EINECS-szám a létező kereskedelmi vegyi anyagok jegyzékében ( 30 ) tekinthető meg.
Az "ELINCS" a törzskönyvezett vegyi anyagok európai jegyzéke (European List of Notified Chemical Substances). Az ELINCS-szám a törzskönyvezett anyagok európai jegyzékében ( 31 ) tekinthető meg.
Az "NLP" jelentése: már nem polimer (No-Longer Polymer). A polimer kifejezést az 1907/2006/EK európai parlamenti és tanácsi rendelet ( 32 ) 3. cikkének (5) bekezdése határozza meg. Az NLP-szám a "már nem polimerek" módosított felsorolásában ( 33 ) tekinthető meg.
VI. MELLÉKLET
MOSÓ- ÉS TISZTÍTÓSZEREKBEN LEVŐ TILTOTT VAGY KORLÁTOZOTT FELÜLETAKTÍV ANYAGOK FELSOROLÁSA
A mosó- és tisztítószerekben levő következő felületaktív anyagok nem felelnek meg e rendelet rendelkezéseinek:
Név az IUPAC-nómenklatúrában | EC-szám | CAS-szám | Korlátozás |
Az EC-szám az EINECS-, ELINCS- vagy NLP-számot jelenti, és az anyag Európai Unión belüli hivatalos száma.
VIa. MELLÉKLET
A FOSZFÁTOK ÉS MÁS FOSZFORVEGYÜLETEK KONCENTRÁCIÓJÁNAK KORLÁTOZÁSA
Mosó- és tisztítószer | Korlátozás | A korlátozás alkalmazásának kezdeti időpontja |
1. Fogyasztói mosószer | Nem hozható forgalomba, ha az összes foszfortartalom 0,5 gramm vagy annál magasabb a VII. melléklet B. szakaszában a kemény vízkeménységi szintre meghatározottak alapján a normál mosógéptöltetre vonatkozó mosási folyamat fő mosási ciklus során használandó mosószer ajánlott mennyiségében — „normál mértékben szennyezett” szövetekhez általános mosószerek esetében, — „enyhén szennyezett” szövetekhez finom textíliákhoz használandó mosószerek esetében. | 2013. június 30. |
2. Automata mosogatógépekhez való fogyasztói mosogatószerek | Nem hozható forgalomba, ha a VII. melléklet B. szakaszában meghatározottak szerinti normál adagban a összes foszfortartalom 0,3 gramm vagy annál magasabb. | 2017. január 1. |
VII. MELLÉKLET
CÍMKÉZÉS ÉS AZ ÖSSZETEVŐKET ISMERTETŐ ADATLAP
A. A tartalomra vonatkozó címkézés
A címkézésre vonatkozóan a következő rendelkezéseket kell alkalmazni a nagyközönség számára árusított mosó- és tisztítószerek csomagolását illetően.
A következő tömegszázalék-osztályokat
- 5 %-nál kevesebb,
- 5 % vagy ennél több, de 15 %-nál kevesebb,
- 15 % vagy ennél több, de 30 %-nál kevesebb,
- 30 % és ennél több,
kell használni az alább felsorolt alkotórészek részarányára, amennyiben azokat 0,2 tömegszázaléknál nagyobb koncentrációban használják fel a mosó- és tisztítószerekben:
- foszfátok,
- foszfonátok,
- anionos felületaktív anyagok,
- kationos felületaktív anyagok,
- amfoter felületaktív anyagok,
- nem ionos felületaktív anyagok,
- oxigénalapú fehérítőszerek,
- klóralapú fehérítőszerek,
- EDTA és annak sói,
- NTA (nitrilo-triecetsav) és annak sói,
- fenolok és halogénezett fenolok,
- para-diklórbenzol,
- aromás szénhidrogének,
- alifás szénhidrogének,
- halogénezett szénhidrogének,
- szappan,
- zeolitok,
- polikarboxilátok.
Koncentrációjuktól függetlenül fel kell sorolni az alábbi osztályokba tartozó alkotórészeket, ha azokat felhasználják a mosó- és tisztítószerben:
- enzimek,
- fertőtlenítőszerek,
- optikai fehérítők,
- illatszerek.
Az esetleg felhasznált tartósítószereket koncentrációjuktól függetlenül fel kell sorolni, a megnevezésükhöz a kozmetikai termékekre vonatkozó tagállami jogszabályok közelítéséről szóló, 1976. július 27-i 76/768/EGK tanácsi irányelv ( 34 ) 8. cikkében megállapított közös nevezéktant használva.
Amennyiben 0,01 tömegszázaléknál nagyobb koncentrációban használnak fel a mosó- és tisztítószerhez olyan allergén illatanyagokat, melyek szerepelnek a 76/768/EGK irányelv III. mellékletének 1. részében felsorolt anyagok között - a Kozmetikai Termékek és Nem Élelmiszer Termékek Tudományos Bizottsága (SCCNFP) által először az SCCNFP/0017/98 számú véleményben összeállított jegyzéken szereplő allergén illatszer-összetevők felvételét célzó 2003/15/EK európai parlamenti és tanácsi irányelvvel ( 35 ) történt módosítás eredményeként -, akkor ezeket az említett irányelv nevezéktanát használva kell felsorolni, minden további olyan allergén illatanyaggal együtt, melyet később vesznek fel a 76/768/EGK irányelv III. mellékletének 1. részébe, az említett melléklet műszaki fejlődéshez való igazítása keretében.
A csomagoláson fel kell tüntetni annak a weboldalnak a címét, ahol a VII. melléklet D. szakaszában említett összetevőjegyzék elérhető.
Az ipari és közületi ágazatban történő felhasználásra szánt és a nagyközönség számára nem elérhető mosó- és tisztítószerekre vonatkozóan a fenti követelményeket nem kell betartani, ha műszaki adatlapok vagy biztonsági adatlapok révén, vagy ezekhez hasonló más megfelelő módon a fentiekkel egyenértékű információt szolgáltatnak.
B. Az adagolásra vonatkozó információ feltüntetése
A 11. cikk (4) bekezdésében előírtak szerint a címkézésre vonatkozó következő rendelkezéseket kell alkalmazni a nagyközönség számára árusított mosó- és tisztítószerek csomagolására.
Fogyasztói mosószer
A nagyközönség számára árusított, mosószerként történő felhasználásra szánt mosó- és tisztítószerek csomagolásán a következő információnak kell szerepelnie:
- normál mosógéptöltethez megfelelő, milliliterben vagy grammban kifejezett ajánlott mennyiségek és/vagy adagolási utasítások, lágy, közepes és kemény vízkeménységi szintekhez, és egy- vagy kétciklusos mosási folyamatokra vonatkozó előírásokkal,
- általános mosó- és tisztítószerek esetében azoknak a "normál mértékben szennyezett" textíliából álló normál mosógéptölteteknek a száma, és a finom textíliákhoz használandó mosó- és tisztítószerek esetében azoknak az "enyhén szennyezett" textíliából álló normál mosógéptölteteknek a száma, amelyeket a csomag tartalmával 2,5 millimol CaCO3/l értéknek megfelelő, közepes keménységű víz használatával ki lehet mosni,
- amennyiben a mosószerhez tartozik mérőpohár, annak befogadóképességét milliliterben vagy grammban meg kell adni, és a poharat jellel kell ellátni a normál mosógéptöltethez lágy, közepes és kemény vízkeménységi osztályok esetében megfelelő mosó- és tisztítószeradag jelöléséhez.
A normál mosógéptöltet a mosószerekre vonatkozó közösségi ökocímke odaítélésével kapcsolatos ökológiai kritériumok meghatározásáról szóló, 1999. június 10-i 1999/476/EK bizottsági határozat ( 36 ) meghatározásainak megfelelően 4,5 kg száraz textília az általános mosó- és tisztítószerek és 2,5 kg száraz textília a finom mosó- és tisztítószerek esetében. A mosó- és tisztítószert általában általános mosó- és tisztítószernek kell tekinteni, kivéve akkor, ha a gyártó kifejezetten utal a textíliák kíméletes kezelésére, azaz kis hőmérsékletű mosásra, kényes textíliákra és színekre.
Automata mosogatógépekhez való fogyasztói mosogatószerek
A nagyközönség számára árusított, automata mosogatógépekben való felhasználásra szánt mosogatószerek csomagolásán a következő információnak kell szerepelnie:
- a normál adagolást grammban, milliliterben vagy a tabletták számában megadva, teljesen megtöltött 12 terítékes mosogatógépben, normál mértékben szennyezett edényekhez szánt fő mosási ciklusra vonatkozóan, külön előírásokat adva adott esetben a lágy, közepes és kemény vízkeménységi szintekre.
C. Az összetevőket ismertető adatlap
A következő rendelkezéseket kell alkalmazni a 9. cikk (3) bekezdésében említett adatlapon szereplő összetevők felsorolására.
Az adatlapon szerepel a mosó- és tisztítószer, valamint a gyártó neve.
Valamennyi összetevőt fel kell sorolni, a tömeg szerinti mennyiségnek megfelelően csökkenő sorrendben, és a felsorolást a következő tömegszázalék-osztályokra kell tovább bontani:
- 10 % vagy ennél több,
- 1 % vagy ennél több, de 10 %-nál kevesebb,
- 0,1 % vagy ennél több, de 1 %-nál kevesebb,
- 0,1 %-nál kevesebb.
A szennyeződéseket nem kell összetevőnek tekinteni.
Az "összetevő" olyan mesterséges vagy természetes eredetű kémiai anyagot jelent, amelyet szándékosan használtak fel a mosó- és tisztítószer összeállításához. E melléklet értelmében az illatszer, az illóolaj, illetve a színezék önálló összetevőnek tekintendő és a bennük lévő anyagokat nem kell felsorolni, kivéve a 76/768/EGK irányelv III. mellékletének 1. részében szereplő jegyzéken felsorolt allergén illatanyagokat, ha a mosó- vagy tisztítószerben található allergén illatanyagok összkoncentrációja meghaladja az A. szakaszban megadott határértéket.
Minden összetevőre meg kell adni a közhasználatú kémiai elnevezést vagy IUPAC ( 37 )-nevet, továbbá - ha van - az INCI ( 38 )-nevet, a CAS-számot, valamint az Európai gyógyszerkönyvben szereplő nevet.
D. Az összetevők jegyzékének közzététele
A gyártók a következő információk kivételével egy weboldalon elérhetővé teszik az összetevőket ismertető, fent említett adatlapot:
- Nem szükséges megadni a tömegszázalék-osztályokat.
- Nem szükséges megadni a CAS-számokat.
- Az összetevők megnevezését az INCI nevezéktan szerint kell megadni, vagy ha nincs INCI-név, akkor az Európai gyógyszerkönyvben szereplő nevet kell megadni. Ha az anyag nem szerepel sem az INCI-nevezéktanban, sem az Európai gyógyszerkönyvben, akkor ezek helyett a közhasználatú kémiai nevet vagy az IUPAC-nevet kell használni. Az illatszerre a "parfum" szót kell használni, a színezékre pedig a "colorant" szót. Az illatszer, az illóolaj, illetve a színezék egyetlen összetevőnek tekintendő, és a bennük lévő anyagokat nem kell felsorolni, kivéve a 76/768/EGK irányelv III. mellékletének 1. részében szereplő jegyzéken felsorolt allergén illatanyagokat, ha a mosó- vagy tisztítószerben található allergén illatanyagok összkoncentrációja meghaladja az A. szakaszban megadott határértéket.
A weboldal elérése nem korlátozható és nem köthető feltételhez, és a tartalmát folyamatosan frissíteni kell. A weboldalnak tartalmaznia kell a Bizottság Pharmacos weboldalára vagy más megfelelő weboldalra mutató hivatkozást, amelyen keresztül elérhető egy táblázat, amely megadja az INCI-megnevezések, az Európai gyógyszerkönyvben szereplő elnevezések és a CAS-számok közötti megfeleléseket.
Ezt az előírást nem kell alkalmazni azokra az ipari vagy közületi mosó- és tisztítószerekre, illetve ipari vagy közületi mosó- és tisztítószerekben használandó felületaktív anyagokra, melyekre vonatkozóan műszaki adatlap vagy biztonsági adatlap rendelkezésre áll.
VIII. MELLÉKLET
VIZSGÁLATI MÓDSZEREK ÉS ANALITIKAI MÓDSZEREK
A következő vizsgálati és anailitikai módszereket kell alkalmazni a tagállamok által a forgalomban levő mosó- és tisztítószereken végzett ellenőrző eljárásokban.
1. Referenciamódszer (Igazoló vizsgálat)
1.1. Fogalommeghatározás
Ez a módszer az eleveniszap + másodlagos ülepítő laboratóriumi modelljét írja le, melynek célja a települési szennyvíz kezelésének szimulálása. A leírt körülmények megegyeznek az e rendelet előtti irányelvekben szereplőkkel. Az EN ISO 11733 szabványban leírtak szerint jobb korszerű működési feltételeket lehet alkalmazni e vizsgálati módszernél.
1.2. A méréshez szükséges berendezés
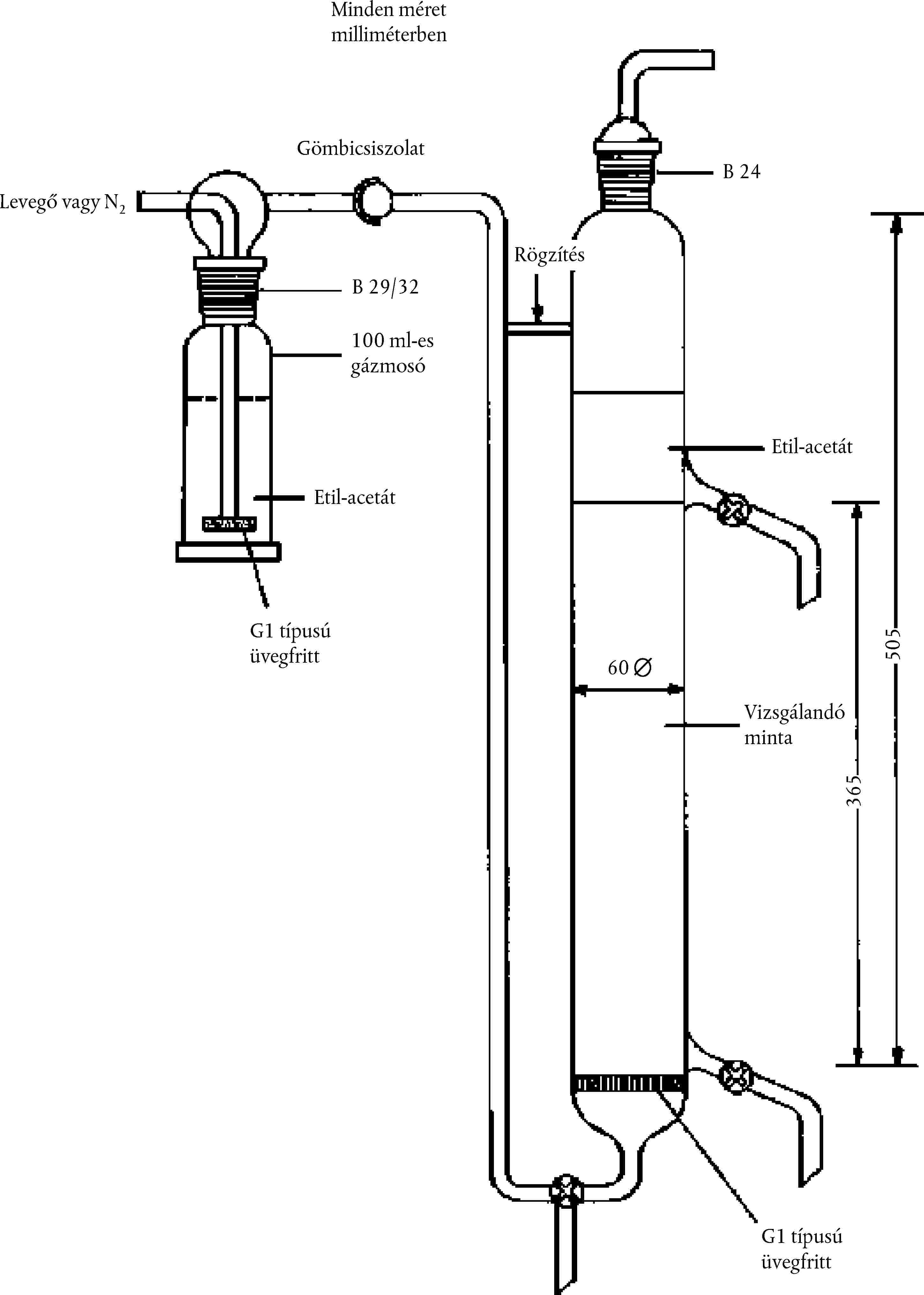
A mérési módszer egy eleveniszapos berendezést alkalmaz, amely az 1. ábrán, nagyobb részletességgel pedig a 2. ábrán látható. A berendezés a mesterségesen készített szennyvizet tároló tartályból (A), adagoló szivattyúból (B), levegőztető tartályból (C), ülepítő tartályból (D), az eleveniszap visszavezetésére szolgáló mamutszivattyúból (E) és a kifolyó kezelt szennyvizet felfogó tartályból (F) áll.
Az A és F tartálynak üvegből vagy megfelelő műanyagból kell készülnie, és legalább 24 literes űrtartalmúnak kell lennie. A B szivattyúnak biztosítania kell a mesterségesen készített szennyvíz egyenletes átfolyását a levegőztető tartályba; normál működtetésénél ez a tartály 3 liter kevert folyadékot tartalmaz. A C tartályban a kúp csúcsánál egy G levegőztetőfrittet kell beépíteni. A fritten bevezetett befújt levegő mennyiségét a H áramlásmérő készülékkel mérni kell.
1.3. A mesterségesen készített szennyvíz
A vizsgálathoz mesterségesen készített szennyvizet kell használni. Ehhez a csapvízben literenként az alábbiakat kell feloldani:
- 160 mg pepton;
- 110 mg húskivonat;
- 30 mg karbamid, CO(NH2)2;
- 7 mg nátrium-klorid, NaCl;
- 4 mg kalcium-klorid, CaCl2.2 H2O;
- 2 mg magnézium-szulfát, MgSO4.7 H2O;
- 28 mg dikálium-hidrogén-foszfát, K2HPO4;
- és 10 ± 1 mg felületaktív anyag.
A mesterségesen készített szennyvizet naponta frissen kell elkészíteni.
1.4. A minták előkészítése
A tiszta felületaktív anyagokat eredeti állapotukban kell vizsgálni. A mesterséges szennyvíz (1.3.) készítéséhez meg kell határozni a felületaktívanyag-minták aktív hatóanyag-tartalmát.
1.5. A vizsgálóberendezés működtetése
Először töltsük fel a C levegőztető tartályt és a D ülepítő tartályt mesterségesen készített szennyvízzel. A D ülepítő tartály magasságát úgy kell rögzíteni, hogy a C levegőztető tartályban a folyadék mennyisége 3 liter legyen. A beoltás egy túlnyomórészt háztartási szennyvizet kezelő szennyvíztisztító telepről származó szennyvízből frissen vett 3 milliliternyi, jó minőségű másodlagos szennyvízzel történjék. A szennyvizet a mintavétel és a felhasználás közötti időszakban aerob körülmények között kell tárolni. Ezután be kell kapcsolni a G levegőztetőt, az E szivattyút és a B adagoló berendezést. A mesterséges szennyvíz a C levegőztető tartályon 1 liter/óra sebességgel haladjon át; ez átlagosan 3 órás tartózkodási időnek felel meg.
A levegőztetés sebességét úgy kell beállítani, hogy a C tartály tartalma állandóan szuszpendált állapotban legyen, és az oldott oxigén koncentrációja legalább 2 mg/liter legyen. A habképződést megfelelő eszközökkel meg kell akadályozni. Nem szabad olyan habzásgátló anyagokat használni, amelyek gátló hatást fejtenek ki az eleveniszapra, vagy felületaktív anyagokat tartalmaznak. Az E szivattyút úgy kell beállítani, hogy az eleveniszap az ülepítő tartályból folyamatosan és egyenletesen visszaáramoljon a C levegőztető tartályba. A C levegőztető tartály felső része körül, a D ülepítő tartály alján vagy a keringetőben lerakódott iszapot legalább naponta egyszer ecset segítségével vagy más megfelelő módon újra körforgásba kell hozni. Ha az iszap nem ülepedik, ülepíthetőségét 2 ml 5 %-os vas(III)klorid oldat hozzáadásával növelni lehet, ami szükség szerint ismételhető.
A D ülepítő tartályból kifolyó szennyvizet 24 órán át az F gyűjtőtartályban kell felfogni, ezt követően alapos keverés után kell mintát venni. Az F tartályt ezután gondosan ki kell tisztítani.
1.6. A mérőberendezés ellenőrzése
A mesterségesen készített szennyvíz felületaktívanyag-tartalmát (mg/literben) közvetlenül a felhasználás előtt kell meghatározni.
Az F gyűjtőtartályban 24 óra alatt felfogott szennyvíz felületaktívanyag-tartalmát (mg/literben) közvetlenül a mintavétel után ugyanezzel a módszerrel kell analitikailag meghatározni; eltérő esetben a mintát - lehetőleg fagyasztással - konzerválni kell. A felületaktív anyagok koncentrációit 0,1 mg/l pontossággal kell meghatározni.
A folyamat hatékonyságának ellenőrzése érdekében legalább hetente kétszer meg kell mérni az F tartályban összegyűlt, üveggyapoton átszűrt szennyvíz és az A tartályban lévő szűrt mesterségesen készített szennyvíz kémiai oxigénigényét (KOI), illetve oldott szerves szén tartalmát (DOC).
A KOI, illetve a DOC csökkenése időben állandósulni fog, miután a 3. ábrán szereplő beállási idő leteltével a felületaktív anyag napi biológiai lebomlása közel állandó értéket ér el.
A levegőztető tartályban levő eleveniszap szárazanyag-tartalmát, hetenként kétszer kell meghatározni, g/l-ben kifejezve. Ha ez 2,5 g/l-nél több, az eleveniszap fölösleget el kell távolítani.
A lebonthatósági vizsgálatot szobahőmérsékleten kell végezni; ennek állandó értéken: 19-24 °C között kell lennie.
1.7. A biológiai lebonthatóság számítása
A felületaktív anyag százalékos biológiai lebomlását naponta ki kell számítani, a mesterségesen készített szennyvíz és az F gyűjtőtartályban összegyűjtött víz felületaktívanyag-tartalmának mg/l-ben kifejezett értéke alapján.
Az így nyert lebomlási értékeket a 3. ábrán látható módon, grafikusan kell ábrázolni.
A felületaktív anyag biológiai lebonthatóságát a százalékosan kifejezett lebontási értékeknek a számtani közepe alapján kell kiszámítani, amelyeket a beállási és akklimatizációs időszak utáni 21 egymást követő napon, változatlanul maradó lebomlás és zavartalan üzemelés mellett határoztak meg. A beállási időszak hossza semmiképpen sem haladhatja meg a 6 hetet.
A napi lebomlási értékeket 0,1 % pontossággal kell kiszámítani, a végeredményt azonban egész számra kerekítve kell megadni.
Egyes esetekben a mintavétel gyakoriságának csökkentése megengedhető, de legalább 14, a beállási időszakot követő 21 nap során mért eredményt kell a középérték kiszámításához használni.
2. Anionos felületaktív anyagok meghatározása a biológiai lebonthatóság vizsgálatokban
2.1. Elv
Az eljárás azon a tényen alapszik, hogy a kationos metilénkék színezék anionos felületaktív anyagokkal (MBAS) kék színű sókat képez, melyek kloroformmal extrahálhatók. A zavaró hatások elkerülése érdekében az extrakciót először lúgos oldatból végezzük, majd az extraktumot savas metilénkék oldattal is kirázzuk. Az elválasztott szerves fázis abszorbanciáját az abszorpció maximumán, 650 nm-es hullámhosszon, fotometriásan kell mérni.
2.2. Reagensek és eszközök
2.2.1. 10-es pH-jú pufferoldat
24 g nátrium-hidrogén-karbonátot (NaHCO3) p.a. és 27 g vízmentes nátrium-karbonátot (Na2CO3) p.a. ionmentes vízben feloldunk és 1 000 ml-re hígítunk.
2.2.2. Semleges metilénkék oldat
0,35 g metilénkéket p.a. ionmentes vízben feloldunk és 1 000 ml-re hígítunk. Az oldatot felhasználása előtt legalább 24 órával kell elkészíteni. A vakpróbánál a kloroformos fázisnak a tiszta kloroformmal szembeni abszorbanciája 650 nm-en nem lépheti túl a 0,015-ös értéket 1 cm rétegvastagság esetében.
2.2.3. Savas metilénkék oldat
0,35 g metilénkéket p.a. 500 ml ionmentes vízben feloldunk és 6,5 ml H2SO4-et (ρ = 1,84 g/ml) elkeverünk. Ionmentes vízzel 1 000 ml-re hígítjuk. Az oldatot felhasználása előtt legalább 24 órával kell elkészíteni. A vakpróbánál a kloroformos fázisnak a tiszta kloroformmal szembeni abszorbanciája 650 nm-en nem lépheti túl a 0,015-ös értéket 1 cm rétegvastagság esetében.
2.2.4. Kloroform (triklór-metán) p.a. frissen desztillálva
2.2.5. Dodecil-benzol-szulfonsav-metil-észter
2.2.6. Etanolos káliumhidroxid-oldat, KOH 0,1 M
2.2.7. Tiszta etanol, C2H5OH
2.2.8. Kénsav, H2SO4 0,5 M
2.2.9. Fenolftalein-oldat
1 g fenolftaleint 50 ml etanolban feloldunk, és állandó keverés közben 50 ml ionmentes vizet adunk hozzáadunk. Az esetlegesen keletkező csapadékot leszűrjük.
2.2.10. Metanolos sósav: 250 ml sósav p.a. és 750 ml metanol
2.2.11. 250 ml-es választótölcsér
2.2.12. 50 ml-es mérőlombik
2.2.13. 500 ml-es mérőlombik
2.2.14. 1 000 ml-es mérőlombik
2.2.15. 250 ml-es csiszolatos gömblombik visszafolyós hűtővel; forrkövek
2.2.16. pH-mérő
2.2.17. Fotométer 650 nm-en végzett mérésekhez, 1-5 cm-es küvettákkal
2.2.18. Szűrőpapír
2.3. Eljárás
Az elemzésre szánt mintákat nem szabad habrétegen keresztül venni.
Vízzel végzett alapos tisztítás után az elemzéshez használt eszközöket alkalmazásuk előtt metanolos sósavval (2.2.10.), majd ionmentes vízzel gondosan át kell öblíteni.
Az eleveniszapos berendezés vizsgálandó be- és kifolyó oldatmintáit a mintavétel után azonnal szűrjük. A szűrlet első 100 milliliterét elöntjük.
A minta bizonyos kimért mennyiségét, amennyiben szükséges semlegesítés után, 250 ml-es választótölcsérbe (2.2.11.) visszük. A minta 20 és 150 μg közötti MBAS t tartalmazzon. Alacsonyabb MBAS-tartalom esetén legfeljebb 100 ml-nyi minta használható. Ha 100 ml-nél kevesebb mintát használunk, azt ionmentes vízzel 100 ml-re fel kell hígítani. A mintához 10 ml pufferoldatot (2.2.1.), 5 ml semleges metilénkék-oldatot (2.2.2.) és 15 ml kloroformot (2.2.4.) adunk. Egy percig egyenletesen és ne túl erősen rázzuk össze. A fázisok szétválása után a kloroformos fázist egy másik választótölcsérbe visszük, amely 110 ml ionmentes vizet és 5 ml savas metilénkék oldatot (2.2.3.) tartalmaz. Ezt egy percig rázzuk. A kloroformos fázist egy előzőleg kloroformmal kimosott és nedvesített vattaszűrőn keresztül egy mérőlombikba öntjük (2.2.12.).
A lúgos és savas oldatokat háromszor extraháljuk a második és a harmadik extrahálás során 10-10 ml kloroformot használva. A kombinált kloroformos extraktumokat ugyanazzal a vattaszűrővel szűrjük meg, és azokat az 50 ml-es mérőlombikban (2.2.12.) a vatta utómosásához használt kloroformmal jelre feltöltjük. A kloroformos oldat abszorbanciáját fotométerrel 650 nm-en, 1-5 cm-es küvettában tiszta kloroformmal szemben mérjük. A teljes eljárást vak mintával is elvégezzük.
2.4. Kalibrációs görbe
A dodecil-benzol-szulfonsav-metil-észter standard anyagból (tetrapropilén-típus, molekulatömeg 340) a káliumsóvá történő elszappanosítás után hitelesítő oldatot készítünk. Az MBAS-t nátrium-dodecil-benzol-szulfonátként (molekulatömeg 348) számítjuk ki.
Bemérünk 400-450 mg dodecil-benzol-szulfonsav-metil-észtert (2.2.5.) 0,1 mg pontossággal egy gömblombikba, és 50 ml etanolos kálium-hidroxid oldatot (2.2.6.), valamint néhány forrkövet adunk hozzá. Visszafolyós hűtőt szerelünk a lombikra, majd egy órán át forraljuk. Lehűlés után a hűtőt és a csiszolatot körülbelül 30 ml etanollal mossuk, és az ehhezhasznált folyadékot a lombik tartalmához adjuk. Az oldatot kénsavval a fenolftalein elszíntelenedéséig titráljuk. Az oldatot 1 000 ml-es mérőlombikba (2.2.14.) átöntjük, majd a jelig ionmentes vízzel feltöltjük és megkeverjük.
A fenti, felületaktív anyagot tartalmazó törzsoldat egy részét tovább hígítjuk. 25 millilitert kiveszünk belőle, és 500 ml-es mérőlombikban (2.2.13.) ionmentes vízzel a jelre töltjük és összekeverjük.
Ez a standard oldat a következőt tartalmazza:

ahol E a minta tömege mg-ban.
A kalibrációs görbe felvételéhez a standard oldatból 1, 2, 4, 6, 8 ml-es részleteket kell kivenni, és ionmentes vízzel mindegyiket 100 ml-re kell hígítani. Ezután a 2.3. pontnak megfelelően kell eljárni, a vakpróbát is beleértve.
2.5. Az eredmények kiszámítása
Az anionos felületaktív anyag (MBAS) mintában található mennyiségét a kalibrációs görbéről (2.4.) leolvassuk. A minta MBAS-tartalmát a következő képlettel határozzuk meg:

ahol: V = a felhasznált minta térfogata ml-ben.
Az eredményeket nátrium-dodecil-benzol-szulfonátként (molekulatömeg: 348) adjuk meg.
2.6. Az eredmények megadása
Az eredményeket 0,1-es pontossággal mg/l MBAS-ben kell megadni.
3. Nem ionos felületaktív anyagok meghatározása a biológiai lebonthatóság vizsgálatához használt oldatokban
3.1. Elv
A felületaktív anyagokat sztrippeléssel töményítjük és választjuk el. A felhasznált mintában a nem ionos felületaktív anyag mennyiségének a 250 és 800 μg közötti tartományban kell lennie.
A sztrippelt felületaktív anyagot etil-acetátban oldjuk fel.
A fázisok szétválasztása és az oldószer elpárologtatása után a nem ionos felületaktív anyagokat vizes oldatban, módosított Dragendorff-reagenssel (KBiI4 + BaCl2 + jégecet) csapatjuk ki.
A csapadékot szűrjük, jégecettel mossuk, és ammónium-tartarát oldatban feloldjuk. Az oldatban található bizmutot 4-5-ös pH-n pirrolidin-ditiokarbamát oldattal, fényes platina elektród és kalomel vagy ezüst/ezüstklorid referenciaelektród alkalmazásával potenciometriásan titráljuk. Ez a módszer 6-30 alkilén-oxid csoportot tartalmazó nem ionos felületaktív anyagoknál alkalmazható.
A titrálás eredményét 54-es empirikus tényezővel szorozzuk meg a 10 mol etilén-oxiddal kondenzált nonilfenol (NP 10) referenciaanyagra való átszámítás érdekében.
3.2. Reagensek és eszközök
A reagenseket ionmentes vízzel kell készíteni.
3.2.1. Tiszta etil-acetát, frissen desztillálva
3.2.2. Nátrium-hidrogén-karbonát, NaHCO3 p.a.
3.2.3. Hígított sósav [20 ml tömény sav (HCl) p.a., vízzel 1 000 ml-re hígítva]
3.2.4. Metanol p.a., frissen desztillálva, üvegpalackban tárolva.
3.2.5. Brómkrezol-bíbor, 0,1 g 100 ml metanolban
3.2.6. Kicsapató reagens: A kicsapató reagens két térfogatrész A-oldat és egy térfogatrész B-oldat elegye. Azelegyet barna üvegben kell tárolni, és az összekeverést követően egy hétig használható fel.
3.2.6.1. A-oldat
Oldjunk fel 1,7 g bizmut-nitrátot p.a. (BiONO3.H2O) 20 ml jégecetben és vízzel 100 ml-re töltsük fel. Ezután oldjunk fel 65 g kálium-jodidot p.a. 200 ml vízben. A két oldatot egy 1 000 ml-es mérőlombikban keverjük össze, adjunk hozzá 200 ml jégecetet (3.2.7.) és vízzel 1 000 ml-re töltsük fel.
3.2.6.2. B-oldat
290 g bárium-kloridot (BaCl2.2 H2O) p.a.1 000 ml vízben oldjunk fel.
3.2.7. Jégecet, 99-100 %-os (kisebb koncentrációjú nem felel meg)
3.2.8. Ammónium-tartarát oldat: 12,4 g borkősavat p.a. és 12,4 ml ammóniaoldatot p.a. (ρ = 0,910 g/ml) keverjünk össze, és vízzel 1 000 ml-re töltsük fel (vagy használható azonos mennyiségű ammónium-tartarát, p.a.).
3.2.9. Hígított ammóniaoldat: 40 ml ammóniaoldat p.a. (d = 0,910 g/ml) vízzel hígítva 1 000 ml-ig.
3.2.10. Standard acetátpuffer: 40 g szilárd nátrium-hidroxidot p.a. egy főzőpohárban 500 ml vízben feloldunk, és hagyjuk lehűlni. 120 ml jégecetet (3.2.7.) adunk hozzá. Alaposan keverjük össze, hűtsük le, és töltsük 1 000 ml-es mérőlombikba, és jelig töltsük fel vízzel.
3.2.11. Pirrolidin-ditiokarbamát oldat (más néven "karbát oldat"): 103 mg nátrium-pirrolidin-ditiokarbamátot (C5H8NNaS2.2H2O) feloldunk mintegy 500 ml vízben, hozzáadunk 10 ml n-amilalkoholt p.a. és 0,5 g nátrium-hidrogén-karbonátot p.a. (NaHCO3), és vízzel feltöltjük 1 000 ml-re.
3.2.12. Réz-szulfát oldat (a 3.2.11. oldat faktorozásához)
TÖRZSOLDAT
1,249 g réz-szulfátot p.a. (CuSO4.5 H2O) összekeverünk 50 ml 0,5 M kénsavval, és vízzel 1 000 ml-re töltjük fel.
STANDARD OLDAT
50 ml törzsoldatot összekeverünk 10 ml 0,5 M kénsavval (H2SO4), és vízzel 1 000 ml-re töltjük fel.
3.2.13. Nátrium-klorid p.a.
3.2.14. Sztrippelő készülék (lásd az 5. ábrát).
Az üveg fritt átmérőjének és a henger belső átmérőjének azonosnak kell lennie.
3.2.15. 250 ml-es választótölcsér.
3.2.16. Mágneses keverőkészülék 25-30 mm-es keverő babával.
3.2.17. Gooch-tégely, a perforált fenék átmérője 25 mm, G4 típus.
3.2.18. Kerek szűrő üvegrostpapírból, átmérő 27 mm, rostátmérő 0,3-1,5 μm.
3.2.19. Két szívópalack, gumikkónusszal, 250 illetve 500 ml.
3.2.20. Regisztráló potenciométer fényes platina indikátorelektróddal, és kalomel vagy ezüst/ezüstklorid referenciaelektróddal, mérési tartomány 250 mV, 20-25 ml térfogatú automata bürettával vagy megfelelő kézi berendezéssel.
3.3. A módszer
3.3.1. A felületaktív anyag dúsítása és elválasztása
A vizes mintát szűrőpapíron átszűrjük. A szűrlet első 100 ml-jét elöntjük.
Az előzőleg etil-acetáttal átöblített sztrippelő készülékbe mért mennyiségű mintát teszünk, amely 250 - 800 μg nem ionos felületaktív anyagot tartalmaz.
A hatékonyabb elválasztás érdekében 100 g nátrium-kloridot és 5 g nátrium-hidrogén-karbonátot adunk hozzá.
Ha a minta térfogata meghaladja az 500 ml-t, akkor ezeket a sókat szilárd alakban tesszük a sztrippelő készülékbe, és nitrogéngáz vagy levegő átvezetésével oldjuk fel őket.
Ha kisebb térfogatú mintát használunk, akkor a sókat 400 ml vízben oldjuk fel, és így visszük a sztrippelő készülékbe.
Töltsük fel vízzel a felső leeresztő csap szintjéig.
A vizes fázisra óvatosan 100 ml etil-acetátot öntünk.
A (nitrogén vagy levegő) gázbevezető vezetékbe iktatott gázmosópalackot kétharmadáig etil-acetáttal töltjük fel.
30-60 liter/óra átfolyási sebességgel gázáramot vezetünk át a készüléken; áramlásmérő használata ajánlott. Az átáramló gáz mennyiségét eleinte fokozatosan növeljük. A gáz mennyiségét úgy kell beállítani, hogy a fázisok észrevehetően elkülönülve maradjanak, és a fázisok keveredése, valamint az etil-acetát vízben való oldódása lehetőleg ne következzék be. Öt perc elteltével a gázáramot leállítjuk.
Ha a szerves fázis térfogata a vízben való oldódás következtében 20 %-nál nagyobb mértékben csökkent, az elválasztást meg kell ismételni, különös figyelmet fordítva a gázáram mértékére.
A szerves fázist választótölcsérbe engedjük le. A választótölcsérben került vizes fázist - ez csak néhány ml lehet - visszaöntjük a sztrippelő készülékbe. Az etil-acetát fázist száraz szűrőpapírral 250 ml-es főzőpohárba szűrjük.
A sztrippelő készülékbe ismét 100 ml etil-acetátot öntünk, és további öt percen át nitrogént vagy levegőt vezetünk át rajta. A szerves fázist a már az első elválasztásnál használt választótölcsérbe engedjük le, a vizes fázist elöntjük, a szerves fázist pedig ugyanazon a szűrőn engedjük át, melyet az első adag etil-acetátnál használtunk. A választótölcsért és a szűrőt 20 ml etil-acetáttal mossuk.
Az etil-acetát extraktumot vízfürdőn (elszívófülke alatt) szárazra pároljuk. A pároltatás meggyorsítása érdekében az oldat felszínére enyhe légáramot vezetünk.
3.3.2. Kicsapatás és szűrés
A 3.3.1. művelet után kapott száraz maradékot 5 ml metanolban feloldjuk, majd hozzáadunk 40 ml vizet és 0,5 ml hígított sósavat (3.2.3.), és az oldatot mágneses keverőkészülékkel keverjük.
Ehhez az oldathoz mérőhengerből 30 ml kicsapató reagenst (3.2.6.) adunk. A csapadék ismételt keverés után képződik. 10 perces keverés után az anyagot legalább 5 percig állni hagyjuk.
Ezután egy Gooch-tégelyen átszűrjük, amelynek alját üvegrost-szűrőpapír borítja. A szűrőt előzőleg kb. 2 ml jégecettel megnedvesítjük és leszívatjuk. A főzőpoharat, a mágnesrudat és a tégelyt jégecettel alaposan kimossuk, ehhez mintegy 40-50 ml jégecet szükséges. A főzőpohárra tapadó szilárd csapadékot nem kell kvantitatívan a szűrőre vinni, mert a titráláshoz a csapadék oldata ismét a kicsapató főzőpohárba kerül, és a csapadékmaradék feloldódik.
3.3.3. A csapadék feloldása
A szűrőtégelyben levő csapadékot forró ammónium-tartarát oldat (kb. 80 °C) (3.2.8.) hozzáadásával három, egyenként 10 ml-es részletben oldjuk fel. Minden részletet néhány percig állni hagyunk a szűrőben, mielőtt a leszívatnánk azt a palackba.
A szívópalack tartalmát a kicsapatásra használt főzőpohárba öntjük. Ezután további 20 ml tartarátoldatot csurgatunk le a főzőpohár üvegfalán az összes maradék csapadék feloldása céljából.
A szűrőtégelyt, a gumikónuszt és a szívópalackot 150-200 ml vízzel alaposan lemossuk és ezt a vizet is a kicsapató főzőpohárba öntjük vissza.
3.3.4. A titrálás
Az oldatot a mágneses keverőkészülékkel (3.2.16.) kevertetjük, hozzáadunk néhány csepp brómkrezol-bíbort (3.2.5.) és hígított ammóniaoldatot (3.2.9.) amíg színe ibolyába csap át (az oldat az utánmosáshoz használt ecetsav maradékai miatt kezdetben enyhén savas).
Ezután hozzáadunk 10 ml standard acetát puffert (3.2.10.), az elektródokat az oldatba helyezzük és a büretta csúcsát az oldatba merítve, potenciometriásan standard karbátoldattal titráljuk (3.2.11.).
A titrálás sebessége ne haladja meg a 2 ml/perc értéket.
A végpontot a potenciálgörbe két ágára húzott érintők metszéspontja jelenti.
Esetenként a potenciálgörbe inflexiójának ellaposodása figyelhető meg; ez a platina elektród (csiszolópapír segítségével történő) óvatos megtisztításával kiküszöbölhető.
3.3.5. Vakpróbák
A mérések elvégzésével egyidőben a teljes eljárást vak mintával is el kell végezni; ezeknél 5 ml metanolt és 40 ml vizet használunk, és a 3.3.2. pont útmutatásai szerint járunk el. A vak minták mérésekor a fogyásnak 1 ml alatt kell lennie, ellenkező esetben kétségbe vonható a reagensek (3.2.3., 3.2.7., 3.2.8., 3.2.9., 3.2.10.) tisztasága, különösen nehézfém-tartalmuk miatt, ebben az esetben új reagenseket kell alkalmazni. A vakpróbákat az eredmények számításnál figyelembe kell venni.
3.3.6. A karbátoldat faktorának ellenőrzése
A karbátoldat faktorát a felhasználás napján kell meghatározni. Ehhez 10 ml réz-szulfát oldatot (3.2.12.) 100 ml víz és 10 ml standard acetát-pufferoldat (3.2.10.) hozzáadása után karbátoldattal titrálunk. Ha a fogyás "a" ml, az "f" tényező az alábbiak szerint számítható:

és a titrálás valamennyi eredményét ezzel a faktorral kell megszorozni.
3.4. Az eredmények számítása
Minden nem ionos felületaktív anyagnak saját szorzótényezője van, mely az összetételétől, különösen pedig alkén-oxid-láncának hosszúságától függ. A nem ionos felületaktív anyagok koncentrációját egy referenciaanyaghoz viszonyítva fejezik ki - amely egy 10 etilénoxid-egységet tartalmazó nonilfenol (NP 10) -, melyre vonatkozóan az átszámítási tényező 0,054.
A mintában lévő felületaktív anyagok mennyisége e tényező segítségével az alábbiak szerint számítható ki, mg NP 10 egyenértékben kifejezve:
(b - c) x f x 0,054 = mg nem ionos felületaktív anyag NP 10-ként kifejezve
ahol:
b = a karbátoldat fogyása a minta mérésekor, ml-ben,
c = a karbátoldat fogyása a vak minta mérésekor, ml-ben,
f = a karbátoldat faktora.
3.5. Az eredmények megadása
Az eredményeket mg/l-ben, NP 10-ben kifejezve, 0,1-es pontossággal kell megadni.
4. A vizsgálandó anionos felületaktív anyagok előzetes kezelése
4.1. Előzetes megjegyzések
4.1.1. A minták kezelése
Az anionos felületaktív anyagok és a mosó- és tisztítószer termékeket az elsődleges biológiai lebonthatóság meghatározása előtt, az igazoló vizsgálatok esetén, a következő módon kell kezelni:
Termékek | Kezelés |
Anionos felületaktív anyagok | Nincs |
mosó- és tisztítószer termékek (formulázott mosószerek) | Alkoholos extrakciót követően az anionos felületaktív anyagok ioncserével végzett elválasztása |
Az alkoholos extrakció célja a kereskedelmi termékben lévő oldhatatlan és szervetlen összetevők eltávolítása, melyek bizonyos körülmények között zavarhatják a biológiai lebonthatóság vizsgálatát.
4.1.2. Az ioncserélő eljárás
A biológiai lebonthatóság vizsgálatának kifogástalan elvégzéséhez az anionos felületaktív anyagokat el kell különíteni és el kell választani a szappanoktól, a nem ionos és kationos felületaktív anyagoktól.
Ezt ioncserével érjük el, amihez makropórusos anioncserélő gyantát, és a frakcionált elúcióhoz, megfelelő eluálószert használunk. Így egyetlen művelettel különválaszthatjuk a szappanokat, valamint az anionos és nem ionos felületaktív anyagokat.
4.1.3. Analitikai ellenőrzés
A szintetikus mosó- és tisztítószerek anionos felületaktívanyag-koncentrációját homogenizálás után az MBAS analitikai eljárás alapján határozzuk meg. A szappantartalmat egy arra alkalmas analitikai módszerrel határozzuk meg.
A termék ilyen típusú elemzése azon mennyiségek kiszámításához szükséges, amelyek a biológiai lebonthatóság vizsgálatához használt frakciók előállításához szükségesek.
Az extrakciónak nem szükséges kvantitatívnak lennie; mindazonáltal az anionos felületaktív anyagok legalább 80 %-át extrahálni kell. Az extrakció rendszerint 90 %-os, vagy annál jobb.
4.2. Elv
A homogén mintából (porból, szárított pasztából és szárazra párolt folyadékokból) etanolos extraktumot készítünk, amely a felületaktív anyagokat, szappanokat és a szintetikus mosó- és tisztítószer mintáa egyéb, alkoholban oldódó összetevőit tartalmazza.
Az etanolos extraktumot szárazra pároljuk, izopropanol-víz elegyben feloldjuk, majd a kapott oldatot egy 50 °C hőmérsékletre melegített, erősen savas kationcserélő és makropórusos anioncserélő kombinációjából álló ioncserélőn bocsátjuk át. Ez a hőmérséklet a savas közegben esetleg jelen levő zsírsavak kicsapódásának megakadályozásához szükséges.
A nem ionos felületaktív anyagok visszamaradnak a szűrletben.
A szappan-zsírsavakat CO2-tartalmú etanollal végzett extrakcióval választjuk el. Az anionos felületaktív anyagokat ezután híg ammónium-hidrogén-karbonát vizes-izopropanolos oldatával végzett eluálással, ammóniumsókként nyerhetjük ki. Ezeket az ammóniumsókat használjuk fel a lebonthatósági vizsgálathoz.
Azokat a kationos felületaktív anyagokat, melyek megzavarhatják a biológiai lebonthatóság vizsgálatát és az analitikai eljárást, az anioncserélő elé helyezett kationcserélővel távolítjuk el.
4.3. Reagensek és eszközök
4.3.1. Ionmentes víz
4.3.2. Etanol, 95 térfogatszázalékos C2H5OH (megengedett denaturáló szerek: metil-etil-keton vagy metanol)
4.3.3. Izopropanol-víz elegy (50/50 v/v):
- 50 térfogatrész izopropanol (CH3CHOH-CH3), és
- 50 térfogatrész víz (4.3.1.)
4.3.4. Etanolos CO2-oldat (mintegy 0,1 % CO2); beforrasztott frittel rendelkező üvegcsövön tíz percen át CO2-t buborékoltatunk az etanolon (4.3.2.) keresztül. Csak frissen készített oldatok használhatók.
4.3.5. Ammónium-hidrogén-karbonát oldat (60/40 v/v): 0,3 mol NH4HCO31 000 ml - 60 térfogatrész izopropanolból és 40 térfogatrész vízből (4.3.1.) álló - izopropanol-víz elegyben.
4.3.6. Kationcserélő (KAT), erősen savas, alkohol-rezisztens, (50-100 mesh)
4.3.7. Anioncserélő (AAT), makropórusos, Merck Lewatit MP 7080 (70-150 mesh) vagy azzal egyenértékű
4.3.8. Sósav, 10 tömegszázalékos HCl
4.3.9. 2 000 ml-es csiszolatos gömblombik, visszafolyós hűtővel
4.3.10. Vákuumszűrő (nuccs) (fűthető), 90 mm-es átmérővel, szűrőpapírhoz
4.3.11. 2 000 ml-es szívópalack
4.3.12. Ioncserélő oszlop fűtőköpennyel és elzárócsappal: A belső cső átmérője 60 mm, magassága 450 mm (lásd a 4. ábrát)
4.3.13. Vízfürdő
4.3.14. Vákuumos szárítószekrény
4.3.15. Termosztát
4.3.16. Rotációs bepárló
4.4. Az extraktum előállítása és az anionaktív anyagok elválasztása
4.4.1. Az extraktum előállítása
A biológiai lebonthatóság vizsgálatához szükséges felületaktív anyag mennyisége körülbelül 50 g MBAS.
Az extrahálandó termék mennyisége rendszerint nem haladja meg az 1 000 g-ot, de előfordulhat, hogy nagyobb mennyiségű minta extrahálása válik szükségessé. Praktikus okokból a legtöbb esetben a lebonthatósági vizsgálatokhoz szükséges extraktumok előállítása esetén a felhasznált termék mennyiségét 5 000 g-ra kell korlátozni.
A tapasztalatok szerint több kisebb extraktum alkalmazása előnyösebb, mint egyetlen nagyobb extrakció végzése. Az előírt ioncserélő mennyiségek 600-700 mmol felületaktív anyag és szappan kapacitásnak felelnek meg.
4.4.2. Az alkoholban oldódó alkotórészek elválasztása
A vizsgálandó szintetikus mosó- és tisztítószer 250 grammjához 1 250 ml etanolt öntünk, majd egy órán át visszafolyós hűtővel ellátott lombikban keverés mellett forraljuk. A forró alkoholos oldatot egy 50 °C hőmérsékletre melegített, durva pórusú vákuumszűrőre visszük, és gyorsan leszívatjuk. Ezek után a lombikot és a vákuumszűrőt mintegy 200 ml meleg etanollal mossuk. A szűrletet és a mosófolyadékot szívópalackban fogjuk fel.
Pasztakonzisztenciájú és folyékony termékek elemzése esetében annyi anyagot mérünk be, hogy a bemért minta ne tartalmazzon 55 g-nál több anionos felületaktív anyagot és 35 g-nál több szappant. Ezt a kimért mintát szárazra pároljuk. A bepárlási maradékot 2 000 ml etanolban feloldjuk, majd a fent leírtak szerint járunk el. Kis sűrűségű (< 300 g/l) porok esetében ajánlatos az etanol mennyiségét a 20:1 arányú arányig növelni. Az etanolos szűrletet - ha lehet, rotációs bepárlót alkalmazva - szárazra pároljuk. Ha nagyobb mennyiségű extraktumra van szükség, akkor az eljárást megismételjük. A bepárlási maradékot 5 000 ml izopropanol-víz elegyekben feloldjuk.
Az ioncserélő oszlopok előkészítése
4.4.3. KATIONCSERÉLŐ OSZLOP
600 ml kationcserélő gyantát (4.3.6.) 3 000 ml-es főzőpohárba helyezünk, és hozzáöntünk 2 000 ml sósavat (4.3.8.) úgy, hogy az ellepje. Ezután legalább két órán át állni hagyjuk, időnként megkeverjük.
Leöntjük a savat, és a gyantát ionmentes vízzel az oszlopba (4.3.12.) visszük. Az oszlopba előzőleg üveggyapot-dugót kell helyezni.
Az oszlopot ionmentes vízzel 10-30 ml/perc átfolyási sebesség mellett kloridmentesre mossuk.
Ezután a vizet 2 000 ml izopropanol-víz eleggyel (4.3.3.) 10-30 ml/perc átfolyási sebesség mellett kiszorítjuk. Ezzel az ioncserélő oszlop használatra kész állapotba kerül.
ANIONCSERÉLŐ OSZLOP
600 ml anioncserélő gyantát (4.3.7.) 3 000 ml-es főzőpohárba teszünk, és ráöntünk 2 000 ml ionmentes vizet úgy, hogy az ellepje.
A gyantát legalább két órán át duzzadni hagyjuk.
A gyantát ionmentes vízzel az oszlopba visszük. Az oszlopba előzőleg üveggyapot-dugót kell helyezni.
Az oszlopot 0,3 M ammónium-hidrogén-karbonát oldattal (4.3.5.) kloridmentesre mossuk. Ehhez mintegy 5 000 ml oldatra van szükség. Ezt 2 000 ml ionmentes vízzel végzett utánmosás követi. Ezután a vizet 2 000 ml izopropanol-víz eleggyel (4.3.3.) 10-30 ml/perc átfolyási sebesség mellett a vizet kiszorítjuk. Ezzel az ioncserélő oszlop OH-formában van, és használatra kész.
Az ioncserélő eljárás
4.4.4. Az ioncserélő oszlopokat úgy kapcsoljuk össze, hogy a kationcserélő oszlop az anioncserélő oszlop előtt legyen.
Termosztát alkalmazásával az ioncserélő oszlopokat 50 °C hőmérsékletre melegítjük.
Ezután a 4.4.2. pont alapján készített 5 000 ml oldatot 60 °C hőmérsékletre melegítjük, és az oldatot 20 ml/perc átfolyási sebesség mellett átengedjük a két összekapcsolt oszlopon. Az oszlopokat 1 000 ml meleg izopropanol-víz eleggyel (4.3.3.) mossuk.
Az anionos felületaktív anyagok (MBAS) kinyeréséhez a KAT oszlopot leválasztjuk. 5 000 ml etanol/CO2-oldattal 50 °C hőmérsékleten (4.3.4.) a KCS-oszlopból eluáljuk a szappan-zsírsavakat. Az eluátumot elöntjük.
Ezt követően az MBAS-t 5 000 ml ammónium-hidrogén-karbonát oldattal (4.3.5.) eluáljuk az AAT-oszlopból. Az eluátumot vízfürdőn vagy rotációs bepárlóban szárazra pároljuk.
A bepárlási maradék tartalmazza a MBAS-t (ammónium-sóként) és az esetleges nem felületaktív anionos anyagokat, melyek a biológiai lebonthatóság vizsgálatát nem befolyásolják károsan. A bepárlási maradékhoz meghatározott térfogatig ionmentes vizet adunk, és az oldat bizonyos részletét felhasználva határozzuk meg a MBAS-tartalmat. Ezt az oldatot az anionos szintetikus mosó- és tisztítószer standard oldataként használjuk a biológiai lebonthatósági vizsgálathoz. Az oldatot 5 °C alatti hőmérsékleten kell tárolni.
Az ioncserélő gyanták regenerálása
4.4.5. A kationcserélőt használat után kidobjuk.
Az oszlop mintegy 10 ml/perc sebességgel átáramló ammónium-hidrogén-karbonát oldattal (4.3.5.) addig szükséges mosni, amíg az eluátum már nem tartalmaz anionos felületaktív anyagokat (metilénkék-teszt), regenerálja az anioncserélő gyantát.
Ezt követően átmosásként még 2 000 ml izopropanol-víz elegyet (4.3.3.) engedünk át az anioncserélőn. Az anioncserélő így ismét használatra kész.
A vizsgálandó nem ionos felületaktív anyagok előkezelése
5. Előzetes megjegyzések
5.1. A minták kezelése
5.1.1. A nem ionos felületaktív anyagok és a mosó- és tisztítószer termékek elsődleges biológiai lebonthatóságának meghatározása előtt, az igazoló vizsgálathoz szükséges kezelés a következő:
Az alkoholos extrakció célja a kereskedelmi termékben lévő oldhatatlan és szervetlen összetevők eltávolítása, melyek bizonyos körülmények között zavarhatják a biológiai lebonthatóság vizsgálatát.
Termékek | Kezelés |
Nem ionos felületaktív anyagok | Nincs |
Mosó- és tisztítószer termékek (formulázott mosószerek) | Alkoholos extrakciót követően a nem ionos felületaktív anyagok ioncserével végzett elválasztása |
Az ioncserélő eljárás
5.1.2. A biológiai lebonthatóság vizsgálatának kifogástalan elvégzése érdekében a nem ionos felületaktív anyagokat el kell különíteni a szappanoktól, valamint az anionos és kationos felületaktív anyagoktól.
Ezt ioncserével érjük el, amihez egy makropórusos ioncserélő gyantát és a frakcionált elúcióhoz megfelelő eluálószert használunk. Így egyetlen művelettel különválaszthatjuk a szappanokat, valamint az anionos és nem ionos felületaktív anyagokat.
Analitikai ellenőrzés
5.1.3. A mosó- és tisztítószer terméke az anionos és nem ionos felületaktívanyag-koncentrációját homogenizálás után, az MBAS és a BiAS analitikai eljárás alapján határozzuk meg. A szappantartalmat egy arra alkalmas analitikai módszerrel határozzuk meg.
A termék ilyen típusú elemzése azon mennyiségek kiszámításához szükséges, amelyek a biológiai lebonthatóság vizsgálatához használt frakciók előállításához szükségesek.
Az extrakciónak nem szükséges kvantitatívnak lennie; mindazonáltal a nem ionos felületaktív anyagok legalább 80 %-át extrahálni kell. Az extrakció rendszerint 90 %-os, vagy annál jobb.
Elv
5.2. A homogén mintából (porból, szárított pasztából és szárazra párolt folyadékokból) etanolos extraktumot készítünk, amely a felületaktív anyagokat, szappanokat és a szintetikus mosó- és tisztítószer minta egyéb, alkoholban oldódó összetevőit tartalmazza.
Az etanolos extraktumot szárazra pároljuk, izopropanol-víz elegyben feloldjuk, majd a kapott oldatot egy 50 °C hőmérsékletre melegített, erősen savas kationcserélő és makropórusos anioncserélő kombinációjából álló ioncserélőn bocsátjuk át. Ez hőmérséklet a savas közegekben esetleg jelen levő zsírsavak kicsapódásának megakadályozásához szükséges. A nem ionos felületaktív anyagok a távozó folyadék bepárlásával kinyerhetők.
Azokat a kationos felületaktív anyagokat, amelyek megzavarhatják a lebonthatóság vizsgálatát és az analitikai eljárást, az anioncserélő elé helyezett kationcserélővel távolítjuk el.
Vegyszerek és készülékek
5.3. Ionmentes víz
5.3.1. Etanol, 95 térfogatszázalékos C2H5OH (megengedett denaturáló szerek: metil-etil-keton vagy metanol)
5.3.2. Izopropanol-víz elegy (50/50 v/v):
5.3.3. 50 térfogatrész izopropanol (CH3CHOH-CH3), és
- 50 térfogatrész víz (5.3.1.)
- Ammónium-hidrogén-karbonát oldat (60/40 v/v):
5.3.4. 0,3 mol NH4HCO3, 1 000 ml - 60 térfogatrész izopropanolból és 40 térfogatrész vízből (5.3.1.) álló - izopropanol-víz elegyben
Kationcserélő (KAT), erősen savas, alkoholrezisztens, (50-100 mesh)
5.3.5. Anioncserélő (ATT), makropórusos, Merck Lewatit MP 7080 (70-150 mesh) vagy azzal egyenértékű
5.3.6. Sósav 10 tömegszázalékos HCl
5.3.7. 2 000 ml-es csiszolatos gömblombik, visszafolyós hűtővel
5.3.8. Vákuumszűrő (nuccs) (fűthető), 90 mm-es átmérővel, szűrőpapírhoz
5.3.9. 2 000 ml-es szívópalack
5.3.10. Ioncserélő oszlop fűtőköpennyel és elzárócsappal: A belső cső átmérője 60 mm, magassága 450 mm (lásd a 4. ábrát)
5.3.11. Vízfürdő
5.3.12. Vákuumos szárítószekrény
5.3.13. Termosztát
5.3.14. Rotációs bepárló
5.3.15. Az extraktum előállítása és a nem ionos felületaktív anyagok leválasztása
5.4. Az extraktum előállítása
5.4.1. A lebonthatósági vizsgálathoz szükséges felületaktív anyag mennyisége körülbelül 25 g BiAS.
A lebonthatósági vizsgálatokhoz szükséges extraktumok előállítása esetén a felhasznált termék mennyiségét 2 000 g-ra kell korlátozni. Emiatt szükséges lehet a művelet kétszeri vagy többszöri elvégzése a lebonthatósági vizsgálatokhoz elegendő mennyiség kinyeréséhez.
A tapasztalatok szerint több kisebb extraktum alkalmazása előnyösebb, mint egyetlen nagyobb extrakció végzése.
Az alkoholban oldódó alkotórészek leválasztása
5.4.2. A vizsgálandó szintetikus mosó- és tisztítószer 250 gramjához 1 250 ml etanolt öntünk, majd egy órán át visszafolyós hűtővel ellátott lombikban keverés mellett forraljuk. A forró alkoholos oldatot egy 50 °C hőmérsékletre melegített, durva pórusos vákuumszűrőre visszük, és gyorsan leszívatjuk. Ezek után a lombikot és a vákuumszűrőt mintegy 200 ml meleg etanollal mossuk. A szűrletet és a mosófolyadékot szívópalackban fogjuk fel.
Pasztakonzisztenciájú és folyékony termékek elemzése esetében annyi anyagot mérünk be, hogy a bemért minta ne tartalmazzon 25 g-nál több anionos felületaktív anyagot és 35 g-nál több szappant. Ezt a kimért mintát szárazra pároljuk. A bepárlási maradékot 500 ml etanolban feloldjuk, majd a fent leírtak szerint járunk el.
Kis sűrűségű (<300 g/l) porok esetében ajánlatos az etanol mennyiségét a 20:1 arányig növelni.
Az etanolos szűrletet - ha lehet, rotációs bepárlót használva - szárazra pároljuk. Ha nagyobb mennyiségű extraktumra van szükség, akkor az eljárást megismételjük. A bepárlási maradékot 5 000 ml izopropanol-víz elegyben feloldjuk.
5.4.3. Az ioncserélő oszlopok előkészítése
KATIONCSERÉLŐ OSZLOP
600 ml kationcserélő gyantát (5.3.5.) 3 000 ml-es főzőpohárba helyezünk, és hozzáöntünk 2 000 ml sósavat (5.3.7.) úgy, hogy az ellepje. Ezután legalább két órán át állni hagyjuk, időnként megkeverjük.
Leöntjük a savat, és a gyantát ionmentes vízzel az oszlopba (5.3.11.) visszük. Az oszlopba előzőleg üveggyapot-dugót kell helyezni. Az oszlopot ionmentes vízzel 10-30 ml/perc átfolyási sebesség mellett kloridmentesre mossuk.
Ezután a vizet 2 000 ml izopropanol-víz eleggyel (5.3.3.) 10-30 ml/perc átfolyási sebesség mellett kiszorítjuk. Ezzel az ioncserélő oszlop használatra kész.
ANIONCSERÉLŐ OSZLOP
600 ml anioncserélő gyantát (5.3.6.) teszünk főzőpohárba, és ráöntünk 2 000 ml ionmentes vizet úgy, hogy az ellepje. A gyantát legalább két órán át duzzadni hagyjuk. A gyantát ionmentes vízzel az oszlopba visszük. Az oszlopba előzőleg üveggyapot-dugót kell helyezni.
Az oszlopot 0,3 M ammónium- hidrogén-karbonát oldattal (5.3.4.) kloridmentesre mossuk. Ehhez mintegy 5 000 ml oldatra van szükség. Ezt 2 000 ml ionmentes vízzel végzett utánmosás követi.
Ezután a vizet 2 000 ml izopropanol-víz eleggyel (5.3.3.) 10-30 ml/perc átfolyási sebesség mellett kiszorítjuk. Ezzel az ioncserélő oszlop OH-formában van, és használatra kész.
5.4.4. Az ioncserélő eljárás
Az ioncserélő oszlopokat úgy kapcsoljuk össze, hogy a kationcserélő oszlop az anioncserélő oszlop előtt legyen. Termosztát alkalmazásával az ioncserélő oszlopokat 50 °C hőmérsékletre melegítjük. Ezután az 5.4.2. pont alapján készített 5 000 ml oldatot 60 °C hőmérsékletre melegítjük, és a meleg oldatot 20 ml/perc átfolyási sebesség mellett átengedjük a két összekapcsolt oszlopon. Az oszlopokat 1 000 ml meleg izopropanol-víz eleggyel (5.3.3.) mossuk.
A nem ionos felületaktív anyagok kinyeréséhez a szűrletet és a mosófolyadékot összeöntjük, és - ha lehet, rotációs bepárlóban - szárazra pároljuk. A maradék tartalmazza a BiAS-t. A bepárlási maradékhoz meghatározott térfogatig ionmentes vizet adunk, és az oldat bizonyos részletét felhasználva határozzuk meg a BiAS-tartalmat. Ezt az oldatot a nem ionos felületaktív anyagok standard oldataként használjuk a biológiai lebonthatósági vizsgálathoz. Az oldatot 5 °C alatti hőmérsékleten kell tárolni.
5.4.5. Az ioncserélő gyanták regenerálása
A kationcserélőt használat után kidobjuk.
Az oszlopot mintegy 5 000 -6 000 ml, 10 ml/perc sebességgel átáramló ammónium-hidrogén-karbonát oldattal (5.3.4.) addig kell átmosani, amíg az eluátum már nem tartalmaz anionos felületaktív anyagokat (metilénkék-vizsgálat), regenerálja az anioncserélő gyantát. Ezt követően átmosásként még 2 000 ml izopropanol-víz elegyet (5.3.3.) engedünk át az anioncserélőn. Az anioncserélő így ismét használatra kész.
[Kép #1] 1. ábra Eleveniszapos berendezés: áttekintés

Kép #1
A Tároló tartály
B Adagoló berendezés
C Levegőztető kamra (3 literes űrtartalom)
D Ülepítő tartály
E Mamutszivattyú
F Gyűjtő tartály
G Levegőztető fritt
H Levegőáramlás-mérő
I Levegő
[Kép #2] 2. ábra Eleveniszapos berendezés: részletek (minden méret mm-ben)

Kép #2
A A folyadék szintje
B Kemény PVC
C Üveg vagy vízálló műanyag (kemény PVC)
[Kép #3] 3. ábra A biológiai lebonthatóság számítása - Igazoló vizsgálat

Kép #3
A Beállási időszak
B A számításhoz használt időszak (huszonegy nap)
C Biológiailag azonnal lebomló felületaktív anyag
D Biológiailag nem azonnal lebomló felületaktív anyag
E Biológiai lebonthatóság (%)
F Idő (napok)
[Kép #4] 4. ábra Fűtött ioncserélő oszlop (minden méret mm-ben)

Kép #4
[Kép #5] 5. ábra Gáz sztrippelő készülék (minden méret mm-ben)

Kép #5
( 1 ) HL C 95., 2003.4.23., 24. o.
( 2 ) Az Európai Parlament 2003. április 10-i véleménye (a Hivatalos Lapban még nem tették közzé), a Tanács 2003. november 4-i közös álláspontja (HL C 305. E, 2003.12.16., 11. o.) és az Európai Parlament 2004. január 14-i álláspontja (a Hivatalos Lapban még nem tették közzé). A Tanács 2004. március 11-i határozata.
( 3 ) HL L 347., 1973.12.17., 51. o. A legutóbb a 807/2003/EK rendelettel (HL L 122., 2003.5.16., 36. o.) módosított irányelv.
( 4 ) HL L 347., 1973.12.17., 53. o. A legutóbb a 82/243/EGK irányelvvel (HL L 109., 1982.4.22., 11. o.) módosított irányelv.
( 5 ) HL L 109., 1982.4.22., 1. o.
( 6 ) HL L 109., 1982.4.22., 18. o.
( 7 ) HL L 80., 1986.3.25., 51. o.
( 8 ) HL L 291., 1989.10.10., 55. o.
( 9 ) HL L 215., 1998.8.1., 73. o.
( 10 ) HL L 200., 1999.7.30., 1. o. A legutóbb az 1882/2003/EK európai parlamenti és tanácsi rendelettel (HL L 284., 2003.10.31., 1. o.) módosított irányelv.
( 11 ) HL L 84., 1993.4.5., 1. o. Az 1882/2003/EK rendelettel módosított rendelet.
( 12 ) 73/404/EGK és 86/94/EGK irányelv.
( 13 ) 73/405/EGK és 82/243/EGK irányelv.
( 14 ) 82/242/EGK irányelv.
( 15 ) HL L 184., 1999.7.17., 23. o.
( 16 ) HL L 262., 1976.9.27., 201. o. A legutóbb a 2004/21/EK bizottsági irányelvvel (HL L 57., 2004.2.25., 4. o.) módosított irányelv.
( 17 ) HL L 196., 1967.8.16., 1. o. A legutóbb a 807/2003/EK rendelettel módosított irányelv.
( 18 ) HL L 227., 1993.9.8., 9. o.
( 19 ) HL L 161., 1994.6.29., 3. o.
( 20 ) HL L 123., 1998.4.24., 1. o. Az 1882/2003/EK rendelettel módosított irányelv.
( 21 ) HL L 50., 2004.2.20., 44. o.
( 22 ) HL L 50., 2004.2.20., 28. o.
( 23 ) HL L 358., 1986.12.18., 1. o. A legutóbb a 2003/65/EK európai parlamenti és tanácsi irányelvvel (HL L 230., 2003.9.16., 32. o.) módosított irányelv.
( 24 ) HL L 353., 2008.12.31., 1. o..
( 25 ) HL L 204., 1998.7.21., 37. o.
( 26 ) Ezeket a vizsgálatokat tartják a felületaktív anyagokra nézve a leginkább megfelelőnek.
( 27 ) Előfordulhat, hogy a DOC-módszerek eredményei csak a koncentrációcsökkenést mutatják, nem pedig a teljes biológiai lebonthatóságot. Előfordulhat, hogy a manometrikus respirometria, a MITI-teszt és a kétfázisú BOI módszer egyes esetekben nem megfelelő, mivel a nagy kiindulási vizsgálati koncentrációk gátló hatásúak lehetnek.
( 28 ) Létező Kereskedelmi Vegyi Anyagok Európai Jegyzéke.
( 29 ) Törzskönyvezett Vegyi Anyagok Európai Jegyzéke.
( 30 ) HL C 146. A, 1990.6.15., 1. o.
( 31 ) Az Európai Közösségek Hivatalos Kiadványainak Hivatala, 2006, ISSN 1018-5593 EUR 22543 EN.
( 32 ) HL L 396., 2006.12.30., 1. o., helyesbítve: HL L 136., 2007.5.29., 3. o.
( 33 ) Az Európai Közösségek Hivatalos Kiadványainak Hivatala, 2007, ISSN 1018-5593 EUR 20853 EN/3.
( 34 ) HL L 262., 1976.9.27., 169. o. A legutóbb a 2005/80/EK bizottsági irányelvvel (HL L 303., 2005.11.22., 32. o.) módosított irányelv.
( 35 ) HL L 66., 2003.3.11., 26. o.
( 36 ) HL L 187., 1999.7.20., 52. o. A 2011/264/EU határozattal (HL L 111., 2011.4.30., 34. o.) módosított határozat.
( 37 ) Elméleti és Alkalmazott Kémia Nemzetközi Uniója.
( 38 ) Kozmetikai összetevők nemzetközi nevezéktana.
Lábjegyzetek:
[1] A dokumentum eredetije megtekinthető CELEX: 32004R0648 - https://eur-lex.europa.eu/legal-content/HU/ALL/?uri=CELEX:32004R0648&locale=hu Utolsó elérhető, magyar nyelvű konszolidált változat CELEX: 02004R0648-20150601 - https://eur-lex.europa.eu/legal-content/HU/ALL/?uri=CELEX:02004R0648-20150601&locale=hu