T/7556. számú törvényjavaslat indokolással - a Magyarország 2018. évi központi költségvetéséről szóló 2017. évi C. törvény végrehajtásáról
2019. évi ... törvény a Magyarország 2018. évi központi költségvetéséről szóló 2017. évi C. törvény végrehajtásáról
Az Országgyűlés az Alaptörvény 36. cikk (1) bekezdése alapján az államháztartás 2018. évi vitelére vonatkozó költségvetési gazdálkodás jóváhagyása céljából a következő törvényt alkotja:
I. FEJEZET
A 2018. ÉVI KÖZPONTI KÖLTSÉGVETÉS VÉGREHAJTÁSA
1. A főösszegek, az egyenleg és az államadósság értéke
1. §
(1) Az Országgyűlés a Magyarország 2018. évi központi költségvetéséről szóló 2017. évi C. törvény (a továbbiakban: Kvtv.) végrehajtását - a 4. §-7. §-ban foglalt finanszírozási célú pénzügyi műveletek nélkül - a központi alrendszer tekintetében
a) 19 922 469,5 millió forint bevétellel,
b) 21 374 060,4 millió forint kiadással és
c) 1 451 590,9 millió forint hiánnyal
hagyja jóvá.
(2) Az (1) bekezdésben meghatározotton belül az Országgyűlés a hazai működési költségvetést
a) 16 889 882,9 millió forint bevétellel,
b) 16 889 882,9 millió forint kiadással,
c) 0,0 millió forint egyenleggel
hagyja jóvá.
(3) Az (1) bekezdésben meghatározotton belül az Országgyűlés a hazai felhalmozási költségvetést
a) 1 893 411,0 millió forint bevétellel,
b) 2 591 728,9 millió forint kiadással,
c) 698 317,9 millió forint hiánnyal
hagyja jóvá.
(4) Az (1) bekezdésben meghatározotton belül az Országgyűlés az európai uniós fejlesztési költségvetést
a) 1 139 175,6 millió forint bevétellel,
b) 1 892 448,6 millió forint kiadással,
c) 753 273,0 millió forint hiánnyal
hagyja jóvá.
2. §
A központi alrendszer kiadási és bevételi előirányzatainak teljesítését az 1. melléklet tartalmazza a 2018. december 31-én fennálló besorolási rendnek megfelelően.
3. §
(1) A Kvtv. 3. §-ában meghatározott árfolyamokon az államháztartás 2018. december 31-én fennálló adóssága 29 970,5 milliárd forint.
(2) 2018. december 31-én az államadósság-mutató
a) számlálójának a Magyarország gazdasági stabilitásáról szóló 2011. évi CXCIV. törvény (a továbbiakban: Gst.) 2. § (1) bekezdés a) pontja szerinti összege 29 451,3 milliárd forint,
b) nevezőjének a Gst. 2. § (1) bekezdés b) pontja szerinti összege 42 661,8 milliárd forint.
(3) Az államadósság-mutató mértéke a (2) bekezdés alapján 2018. december 31-én 69,0% volt.
(4) 2017. december 31-én a Kvtv. 3. §-ában meghatározott árfolyamokon számított államadósság-mutató
a) számlálójának a Gst. 2. § (1) bekezdés a) pontja szerinti összege 27 922,1 milliárd forint,
b) nevezőjének a Gst. 2. § (1) bekezdés b) pontja szerinti összege 38 835,2 milliárd forint.
(5) Az Országgyűlés megállapítja, hogy az államadósság-mutató (3) bekezdés szerinti mértéke a 2017. év végi 71,9%-hoz képest az Alaptörvény 36. cikk (5) bekezdésében meghatározott államadósság-mutató csökkenése követelményének eleget tesz.
2. A költségvetés finanszírozásával kapcsolatos egyes rendelkezések
4. §
Az Országgyűlés jóváhagyja, hogy a Gst. 11. § (1) bekezdésének megfelelően a központi költségvetés deviza- és forintadósság-állományából 2018-ban az államháztartásért felelős miniszter az adósságtörlesztési számla terhére
a) 2 526 452,4 millió forint összegben fizetett vissza forint államkötvényeket belföldi és külföldi befektetőknek,
b) 613 264,9 millió forint összegben fizetett vissza deviza kötvényeket belföldi és külföldi befektetőknek,
c) 168 575,4 millió forint összegben fizetett vissza deviza hiteleket belföldi és külföldi hitelezőknek,
d) 17 043,0 millió forint összegben fizetett vissza forint hiteleket a belföldi és külföldi hitelezőknek.
5. §
Az Országgyűlés jóváhagyja, hogy az 1. §-ban megállapított hiány finanszírozására a Gst. 11. § (1) bekezdésének felhatalmazása alapján az államháztartásért felelős miniszter 2018-ban
a) 1 301 738,3 millió forint összegben forint államkötvényeket értékesített,
b) 143 658,4 millió forint összegben forinthitelt vett fel külföldi hitelezőktől.
6. §
Az Országgyűlés jóváhagyja, hogy 2018-ban a 4. §-ban megállapított visszafizetések finanszírozására az államháztartásért felelős miniszter a Gst. 11. § (1) bekezdésében kapott felhatalmazás alapján
a) 2 953 461,3 millió forint összegben forint államkötvényeket értékesített belföldi és külföldi befektetőknek,
b) 158 816,9 millió forint összegben kincstárjegyeket értékesített,
c) 213 057,6 millió forint összegben deviza kötvényeket értékesített belföldi és külföldi hitelezőknek.
7. §
Az Országgyűlés jóváhagyja, hogy az államháztartásért felelős miniszter - a Gst. 11. § (1) bekezdésében foglalt felhatalmazás alapján - a Kincstári Egységes Számla (a továbbiakban: KESZ) folyamatos likviditása érdekében 28 645,1 millió forinttal növelte a kincstárjegyek állományát, valamint a KESZ terhére történő kifizetések finanszírozására 303 404,9 millió forint értékben bocsátott ki devizakötvényt.
II. FEJEZET
AZ ÁLLAMI KÖVETELÉSEK KÖRE, KEZELÉSE ÉS VÁLTOZÁSA
8. §
Az Országgyűlés a LXXII. Egészségbiztosítási Alap fejezet (a továbbiakban: E. Alap) 83 987,9 millió forint összegű hiányát a KESZ hitelállományából 2019. december 20-ai hatállyal elengedi.
III. FEJEZET
A TÁRSADALOMBIZTOSÍTÁS PÉNZÜGYI ALAPJAI 2018. ÉVI KÖLTSÉGVETÉSÉNEK VÉGREHAJTÁSA
3. Az Egészségbiztosítási Alap költségvetésének végrehajtása
9. §
Az Országgyűlés jóváhagyja, hogy az E. Alap
a) 2018. évi működési előirányzat-maradványa 1823,4 millió forint, amelyből a 2017. évi előirányzat-maradvány összege 207,8 millió forint,
b) 2018. évi működési kiadásai 1469,5 millió forint 2017. évi előirányzatmaradvány felhasználását tartalmazzák.
4. A társadalombiztosítás pénzügyi alapjai költségvetésének végrehajtásával kapcsolatos rendelkezések
10. §
Az Országgyűlés jóváhagyja, hogy a Kvtv. 11. § (1) és (2) bekezdése, illetve a 16. §-a alapján
a) a LXXI. Nyugdíjbiztosítási Alap fejezetnél a 2. cím, 1. Nyugellátások alcímen belül az adott előirányzat terhére különös méltánylást érdemlő körülmények esetén méltányossági alapon megállapításra kerülő nyugellátásra 198,4 millió forint, méltányossági alapú nyugdíjemelésre 785,7 millió forint, egyszeri segélyre 583,9 millió forint,
b) a LXXII. Egészségbiztosítási Alap fejezetnél az adott előirányzat terhére méltányossági ellátásra a 2. cím, 2. Egészségbiztosítás pénzbeli ellátásai alcímen belül az 1. Csecsemőgondozási díj, Terhességi-gyermekágyi segély, a 2. Táppénz, a 6. Gyermekgondozási díj jogcímcsoport előirányzatoknál együttesen 133,8 millió forint, rokkantsági, rehabilitációs ellátások megállapítására 128,7 millió forint, a 3. Természetbeni ellátások alcímen belül az 1. Gyógyító-megelőző ellátás jogcímcsoportnál 2 609,9 millió forint, a 4. Gyógyszertámogatás jogcímcsoportnál 24 853,2 millió forint, az 5. Gyógyászati segédeszköz támogatás jogcímcsoportnál 1 578,4 millió forint
felhasználása történt meg.
11. §
Az Országgyűlés megállapítja, hogy a Magyarország 2017. évi központi költségvetéséről szóló 2016. évi XC. törvény végrehajtásáról szóló 2018. évi LXXXIV. törvény 13-15. §-ában előírt megtérítési, visszautalási és elszámolási kötelezettségek teljesítése megtörtént.
IV. FEJEZET
A KÖZPONTI ALRENDSZEREN BELÜLI ELSZÁMOLÁSOK
12. §
Az Országgyűlés elrendeli, hogy a társadalombiztosítás pénzügyi alapjainak közreműködésével az Emberi Erőforrások Minisztériuma (a továbbiakban: EMMI) fejezet, A költségvetés közvetlen bevételei és kiadásai fejezet terhére finanszírozott ellátások, valamint a közjogi méltóságok hozzátartozói részére járó nyugellátások megtérítésének és kiadásainak különbözeteként 2019. december 31-éig
a) A költségvetés közvetlen bevételei és kiadásai fejezet az Ny. Alap részére a pénzbeli és az 1947-es Párizsi Békeszerződésből eredő kárpótlás alapján megállapított életjáradék jogcímén 8,6 millió forintot térítsen meg a Magyar Államkincstár 10032000-01741700-00000000 "Ny. Alap elszámolási" számlája javára;
b) az Ny. Alap A költségvetés közvetlen bevételei és kiadásai fejezet részére a pénzbeli kárpótlás elszámolásához kapcsolódóan, az előző évek jogalap nélküli követeléseire megtérült 0,7 millió forintot utalja át a 10032000-01457247 "Rendkívüli kiadások" számla javára;
c) az EMMI fejezet az Ny. Alapnak a jövedelempótló és jövedelemkiegészítő szociális támogatások jogcímén 90,3 millió forintot térítsen meg a Magyar Államkincstár 10032000-01741700-00000000 "Ny. Alap elszámolási" számlája javára;
d) az Ny. Alap az EMMI fejezet részére a jövedelempótló és jövedelemkiegészítő szociális támogatások elszámolásához kapcsolódóan, az előző évek jogalap nélküli követeléseire megtérült 2,3 millió forintot utalja át az 10032000-0145721600000000 "TB közreműködéssel folyósított ellátások" számla javára;
e) az EMMI fejezet az Ny. Alapnak a korhatár alatti ellátások jogcímén 65,2 millió forintot térítsen meg a Magyar Államkincstár 10032000-01741700-00000000 "Ny. Alap elszámolási" számlája javára;
f) az Ny. Alap az EMMI fejezet részére a korhatár alatti ellátások elszámolásához kapcsolódóan, az előző évek jogalap nélküli követeléseire megtérült 6,8 millió forintot utalja át az 10032000-01457230-00000000 "Korhatár alatti ellátások kiadása" számla javára;
g) az Ny. Alap az Alkotmánybíróság volt elnökei részére járó juttatás fedezete jogcímén 0,3 millió forintot utaljon vissza az Alkotmánybíróság fejezet 1003200001483271-00000000 számú "Előirányzat-felhasználási keretszámla" javára;
h) az EMMI fejezet a közgyógyellátás finanszírozása jogcímen 41,9 millió forintot az E. Alap részére a 10032000-00280161-00000000 "E. Alap elszámolási számla" javára térítsen meg;
i) az E. Alap a Gyermekgondozási díjban és terhességi gyermekágyi segélyben részesülők kompenzációja jogcímen 0,09 millió forintot a 10032000-0028016100000000 "E. Alap elszámolási számla" terhére a XLII. A költségvetés közvetlen bevételei és kiadásai fejezet 4. cím, 1. alcím, 8. Egyéb vegyes bevételek jogcímcsoport javára utaljon vissza.
13. §
Az Országgyűlés elrendeli, hogy az Ny. Alap a "Munkáltatói befizetésekből finanszírozott korengedményes nyugdíj" elszámolásához kapcsolódóan, nyilvántartott követelésekre megtérült 0,2 millió forintot utalja át a Nemzeti Foglalkoztatási Alap 10032000-01857025-00000000 számlája javára 2019. december 31-éig.
14. §
Az Országgyűlés elrendeli, hogy az Ny. Alap a 301,2 millió forint többletét a LXXI. fejezet 4. cím 1. Költségvetési befizetések alcím terhére 2019. december 31-éig fizesse be a XLII. A költségvetés közvetlen bevételei és kiadásai fejezet 5. cím, 7. Nyugdíjbiztosítási Alap befizetése alcím javára.
15. §
Az Országgyűlés jóváhagyja, hogy az Európai Gazdasági Térség Finanszírozási Mechanizmus és a Norvég Finanszírozási Mechanizmus forrásaira 2018. évben nem történt kötelezettségvállalás.
16. §
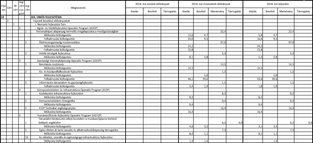
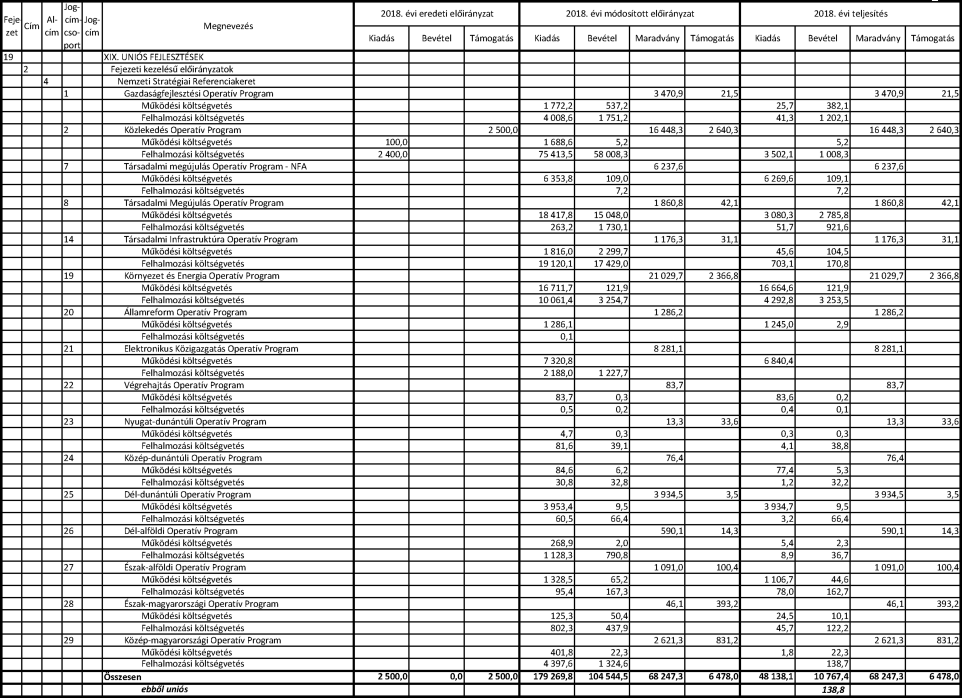
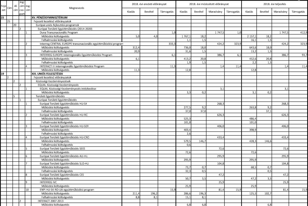
Az Országgyűlés a 2014-2020-as programozási időszakra elfogadott Partnerségi Megállapodás keretében, valamint a Belügyi alapokból finanszírozott programok, projektek esetén az uniós forrásokra és a kapcsolódó központi költségvetési finanszírozásra vonatkozó, a Kvtv. 30. § (1) és (2) bekezdése alapján tett, 2018. december 31-én fennálló kötelezettségvállalási állományt az 5. mellékletben meghatározott összegben hagyja jóvá.
V. FEJEZET
A KÖZPONTI ALRENDSZERNEK AZ ÖNKORMÁNYZATI ALRENDSZERREL ÉS AZ ÁLLAMHÁZTARTÁSON KÍVÜLI SZERVEZETEKKEL FENNÁLLÓ KAPCSOLATÁBÓL FAKADÓ
ELSZÁMOLÁSOK
5. A helyi önkormányzatok központi alrendszerből származó forrásai
17. §
(1) Az Országgyűlés megállapítja, hogy a helyi önkormányzatok év közben 14 255,4 millió forint összegben igényeltek - a kincstár területi szervei javaslataira is figyelemmel - a helyi önkormányzatok általános működéséhez és ágazati feladataihoz kapcsolódó támogatásokat. A helyi önkormányzatok együttesen 8 159,9 millió forint összegben mondtak le év közben e forrásokról, valamint a Kvtv. 2. melléklet Kiegészítő szabályok 2. pont c) alpontja szerinti, önkormányzati körön kívülre történő feladatátadás következtében 182,1 millió forint összegben nem jogosultak e támogatásokra, továbbá a Kvtv. 2. melléklet Kiegészítő szabályok 2. pont c) alpontja szerinti, önkormányzati körön kívülről történő feladatátvétel miatt 12,1 millió forinttal ugyanezen előirányzataik megnövekedtek.
(2) "A helyi önkormányzatok általános működésének és ágazati feladatainak támogatása" cím előirányzatait és pénzforgalmi teljesítését jogcímenként összesítve a 2. melléklet tartalmazza.
18. §
(1) Az Országgyűlés megállapítja, hogy a helyi önkormányzatokat "A helyi önkormányzatok általános működésének és ágazati feladatainak támogatása" címen a (4) bekezdésben foglaltak kivételével megillető, és a részükre a költségvetési évben folyósított összegek különbözetei az államháztartásról szóló 2011. évi CXCV. törvény (a továbbiakban: Áht.) 2018. december 31-én hatályos 58. § (1) bekezdése szerinti elszámolása alapján a következők:
a) a visszafizetési kötelezettség 2167,7 millió forint,
b) a központi költségvetést terhelő kiegészítés 1450,7 millió forint.
(2) Az Országgyűlés megállapítja, hogy az (1) bekezdés a) és b) pontja alapján, elszámolási egyenlegként a helyi önkormányzatokat a 2018. év után 717,0 millió forint visszafizetési kötelezettség terheli.
(3) Az Országgyűlés megállapítja, hogy azon helyi önkormányzatokat, amelyek a feladatmutatókhoz kapcsolódó, a helyi önkormányzatok általános működéséhez és ágazati feladataihoz kapcsolódó támogatásokat az őket ténylegesen megilletőnél 3 százalékkal magasabb mértékben vették igénybe, a kormány rendeletében megállapított mértékű, együttesen 13,3 millió forint összegű igénybevételi kamatfizetési kötelezettség terheli.
(4) Az Országgyűlés megállapítja, hogy a helyi önkormányzatoknak együttesen az Áht. 2018. december 31-én hatályos 58. §-a alapján 2047,1 millió forint visszafizetési kötelezettsége keletkezett az alábbiak szerint:
a) a könyvtári, közművelődési és múzeumi feladatok támogatása jogcímen 78,3 millió forint,
b) a költségvetési támogatások és a vis maior támogatás jogcímeken összesen 1645,1 millió forint,
c) a tárgyévet megelőző évről áthúzódó bérkompenzáció támogatása jogcímen 0,5 millió forint,
d) a települési önkormányzatok szociális feladatainak egyéb támogatása jogcímen 312,8 millió forint,
e) a szociális ágazati összevont pótlék támogatása jogcímen 10,4 millió forint.
(5) A visszafizetési kötelezettséghez kapcsolódó késedelmi kamat megfizetési kötelezettség számításának kezdő napja 2019. április 5.
(6) Az Országgyűlés megállapítja, hogy a helyi önkormányzatok 1450,7 millió forint pótlólagos támogatásra jogosultak, aminek átutalásáról az államháztartásért felelős miniszter rendelkezett.
(7) A kincstár az általa üzemeltetett elektronikus rendszeren keresztül a helyi önkormányzatok számára elérhetővé teszi az őket megillető, illetve az általuk a központi költségvetésbe visszafizetendő támogatások összegét.
19. §
A helyi önkormányzatok kiegészítő támogatásait és azok pénzforgalmi teljesítését a 3. és 4. melléklet tartalmazza.
6. Az egyházak támogatása
20. §
(1) Az egyházi szociális és gyermekjóléti, gyermekvédelmi intézményfenntartókat a Kvtv. 41. § (6) bekezdése alapján - a 2018. évi önkormányzati és az állami fenntartású szociális, gyermekjóléti és gyermekvédelmi intézményi támogatástól való eltérés rendezéseként - a Kvtv. 41. § (2) bekezdésére tekintettel 10 079,3 millió forint egyszeri szociális kiegészítő támogatás illeti meg a Magyarország 2019. évi központi költségvetéséről szóló 2018. évi L. törvény 1. melléklet, XX. Emberi Erőforrások Minisztériuma fejezet, 20. cím, 19. alcím, 1. Szociális célú nem állami humánszolgáltatások támogatása jogcímcsoport előirányzata terhére 2019 decemberében. A Kvtv. 41. § (3) bekezdésre tekintettel az egyházi szociális és gyermekjóléti, gyermekvédelmi intézményfenntartókat egyszeri 166,1 millió forint szociális kiegészítő támogatás beszámítás terheli a Magyarország 2019. évi központi költségvetéséről szóló 2018. évi L. törvény 1. melléklet, XX. Emberi Erőforrások Minisztériuma fejezet, 20. cím, 19. alcím, 1. Szociális célú nem állami humánszolgáltatások támogatása jogcímcsoport előirányzata javára 2019 decemberében.
(2) Az egyházak hitéleti és közcélú tevékenységének anyagi feltételeiről szóló 1997. évi CXXIV. törvény 3. § (2) bekezdése alapján az érintett bevett egyházakat a Magyarország 2019. évi központi költségvetéséről szóló 2018. évi L. törvény 1. melléklet, XI. Miniszterelnökség fejezet, 30. cím, 1. alcím, 30. Egyházi célú központi költségvetési hozzájárulások jogcímcsoport, 4. Átadásra nem került ingatlanok utáni járadék jogcímének terhére 2019. évben 393,5 millió forint támogatás illeti meg.
(3) Az egyházi jogi személyek által fenntartott köznevelési intézmények után a bevett egyházakat, valamint a Magyar Köztársaság Kormánya és a Szuverén Jeruzsálemi, Rodoszi és Máltai Szent János Katonai és Ispotályos Rend közötti Együttműködési Megállapodás kihirdetéséről szóló 2010. évi CXL. törvény 5. cikk 1. pontjának hatálya alá tartozó fenntartókat a köznevelési intézményeikre tekintettel - a 2018. évi állami, önkormányzati és egyházi köznevelési jogcímű támogatások kiegyenlítésének rendezéseként - összesen 49 035,1 millió forint egyszeri köznevelési kiegészítő támogatás illeti meg a Magyarország 2019. évi központi költségvetéséről szóló 2018. évi L. törvény 1. melléklet, XX. Emberi Erőforrások Minisztériuma fejezet, 20. cím, 2. alcím, 3. Köznevelési célú humánszolgáltatás és működési támogatás jogcímcsoport előirányzata terhére 2019. év decemberében.
VI. FEJEZET ZÁRÓ RENDELKEZÉSEK
21. §
Ez a törvény a kihirdetését követő nyolcadik napon lép hatályba, és a Kvtv. hatályvesztésével egyidejűleg hatályát veszti.
1. melléklet a 2019. évi... törvényhez
millió forintban

millió forintban

millió forintban

millió forintban

millió forintban

millió forintban

millió forintban

millió forintban

millió forintban

millió forintban

millió forintban

millió forintban

millió forintban

millió forintban

millió forintban

millió forintban

millió forintban

millió forintban

millió forintban

millió forintban

millió forintban

millió forintban

millió forintban

millió forintban

millió forintban

millió forintban

millió forintban

millió forintban

millió forintban

millió forintban

millió forintban

millió forintban

millió forintban

millió forintban

millió forintban

millió forintban

millió forintban

millió forintban

millió forintban

millió forintban

millió forintban

millió forintban

millió forintban

millió forintban

millió forintban

millió forintban

millió forintban

millió forintban

millió forintban

millió forintban

millió forintban

millió forintban

millió forintban

millió forintban

millió forintban

millió forintban

millió forintban

millió forintban

millió forintban

millió forintban

millió forintban

millió forintban

millió forintban

millió forintban

millió forintban

millió forintban

millió forintban

millió forintban

millió forintban

millió forintban

millió forintban

millió forintban

millió forintban

millió forintban

millió forintban

millió forintban

millió forintban

millió forintban

millió forintban

millió forintban

millió forintban

2. melléklet a 2019. évi... törvényhez
"A helyi önkormányzatok általános működésének és ágazati feladatainak támogatása" cím előirányzatainak és pénzforgalmi teljesítésének alakulása
millió forintban

"
3. melléklet a 2019. évi ... törvényhez
"A helyi önkormányzatok működési célú kiegészítő támogatásai" cím előirányzatainak és pénzforgalmi teljesítésének alakulása
millió forintban

"
4. melléklet a 2019. évi... törvényhez
"A helyi önkormányzatok felhalmozási célú kiegészítő támogatásai" cím előirányzatainak és pénzforgalmi teljesítésének alakulása
millió forintban

"
5. melléklet a 2019. évi... törvényhez
Uniós kötelezettségvállalási keret-előirányzatok a 2014-2020-as programozási időszakra

* Magyarország 2018. évi központi költségvetéséről szóló 2017. évi C. törvény 5. melléklete szerinti teljes uniós kötelezettségvállalási keret.
**Éves átlagos euróárfolyam forintban 318,87
***Az indikatív forráskeret eltér a Magyarország 2018. évi központi költségvetéséről szóló 2017. évi C. törvény 5. mellékletében megadottól, mert a Bizottság évközben változtatott a kereteken.
INDOKOLÁS
ÁLTALÁNOS INDOKOLÁS
I.
A KORMÁNYZAT GAZDASÁGPOLITIKÁJÁNAK FŐ VONÁSAI, AZ ÁLLAMHÁZTARTÁS ALAKULÁSA A 2018. ÉVBEN
1. A kormányzat gazdaságpolitikája
A kormány 2018-ban folytatta a ciklus elején meghirdetett gazdaságpolitikai céljainak megvalósítását: a költségvetési hiány alacsony mértéken tartását, az államadósság csökkentését, az ország versenyképességének javítását, a foglalkoztatás növelését és az ország növekedési potenciáljának emelését. A fegyelmezett fiskális politikának köszönhetően a költségvetési hiány 2012 óta stabilan a GDP 3%-a alatt van, 2018-ban a kormányzati szektor hiánya a tervezett 2,4%-os szinthez képest a GDP 2,3%-át tette ki. Az államadósság GDP-hez viszonyított aránya fokozatosan csökkenve 70,2%-ra mérséklődött 2018-ban. Ezzel párhuzamosan csökkent a külföldiek által birtokolt és a devizában denominált adósság aránya, így az államadósság növekvő részét finanszírozzák a belföldi és forintban denominált megtakarítások, ami jelentős mértékben hozzájárul az ország sérülékenységének csökkenéséhez. A nemzetközi hitelminősítő ügynökségek is elismerték a kedvező folyamatokat idén februári döntéseikkel, melyek alapján a Standard & Poor's és a Fitch Ratings egy kategóriával feljebb, a BBB osztályba sorolta hazánk minősítését.
A vállalatok beruházási hajlandóságát és versenyképességét, valamint a foglalkoztatottság növelését is nagyban elősegítette a 2016 végén kötött béremelési és adócsökkentési megállapodás, melynek értelmében egyrészt nőtt a minimálbér és a garantált bérminimum, másrészt jelentősen mérséklődtek a munkáltatói terhek. Ez teret adott a munkaadók számára a magasabb bérnövekedés biztosításához. Az átlagkeresetek 2018-ban több mint 10%-kal nőttek a megelőző évhez képest.
Összességében megállapítható, hogy a kormányzati intézkedések tartós növekedési pályára helyezték a magyar gazdaságot, amit jól mutat, hogy 2018 utolsó negyedévében a GDP bővülése éves alapon az egymást követő hatodik negyedévben is meghaladta a 4%-ot és 2018-ban az EU-n belül Magyarországon volt a harmadik leggyorsabb a növekedés, amely szilárd makro-fundamentumokon alapul, miközben az egyensúlyi folyamatok is kedvező képet mutatnak. Magyarország sérülékenysége az elmúlt években jelentősen mérséklődött.
A magyar gazdaságban 2013-ban megkezdődött az elmozdulás egy egészségesebb és kiegyensúlyozottabb növekedési szerkezet irányába. A GDP adatok is egy stabil szerkezetről tanúskodtak, mert a bővülés több lábon áll, szinte minden szektor támogatta azt. Így Magyarország jó úton jár, hiszen a gazdasági növekedés szerkezete hosszú távon is fenntarthatóvá vált.
Jóllehet a külső környezet kevésbé volt támogató, 2018 mégis kiemelkedően jó éve volt a magyar gazdaságnak, köszönhetően a belső növekedési motorok felpörgésének, amely az elmúlt időszakban megvalósított gazdaságpolitika - főképp a 2016 végén kötött béremelési és adócsökkentési megállapodás - eredménye. Mindezeknek köszönhetően az év egészében 5,1%-kal nőtt a GDP, ami meghaladta a költségvetés benyújtásakor prognosztizált 4,3%-os ütemet. A növekedés széles bázison nyugszik, minden szektor hozzájárul a kedvező teljesítményhez. A bővülés fenntarthatóságát a belső és külső egyensúlyi mutatók is megerősítik: a költségvetés GDP-arányos hiánya stabilan 3% alatti, a háztartások megtakarítási rátája magas és finanszírozási képessége egyaránt pozitív.
A belső keresleten belül a háztartások fogyasztási kiadása 4,9%-kal nőtt 2018-ban, összhangban a háztartások javuló jövedelmi helyzetével, aminek hátterében több tényező állt. Egyrészt folytatódott a foglalkoztatás dinamikus bővülése, másrészt - az alacsony inflációnak és a 2016 végén kötött béremelési és adócsökkentési megállapodásnak köszönhetően -emelkedtek a reálbérek, ami szintén elősegítette a belső kereslet élénkülését.
2018-ban a növekedés másik fő hajtóerejét a 17,1%-kal növekvő nemzetgazdasági beruházások képezték, ami jelentősen meghaladta az előzetesen becsült 12,9%-os bővülést.
A beruházási aktivitás megugrásában a 2014-2020-as uniós költségvetési ciklushoz kötődő fejlesztések felfutása, a lakásépítéseket ösztönző Otthonteremtési Program, valamint vállalkozások kapacitásbővítései egyaránt szerepet játszottak. Ez utóbbira ösztönzően hatott a - 2016 végén kötött béremelési és adócsökkentési megállapodás keretei között - 2017-től 9%-ra csökkentett, az EU-ban legalacsonyabbnak számító hazai társasági adókulcs is. A dinamikus beruházás-bővülés nem csak az idei évre nézve, hanem középtávon is megerősíti a kedvező gazdasági kilátásokat, ugyanis a fejlesztések a kapacitások kiépülése után, a termelés beindulását követően is támogatják majd a konjunktúrát.
A magyar export 4,3%-kal, az import 6,8%-kal nőtt. A külkereskedelmi mérleg 2018-ban is többletet mutatott.
A foglalkoztatottak száma 2018-ban is jelentősen, 1,1%-kal tovább növekedett. A versenyszférában foglalkoztatottak száma 2,0%-kal emelkedett, míg a közszféra létszáma 3,0%-kal csökkent, a közfoglalkoztatottak számának mérséklődése következtében. A foglalkoztatottak száma így a rendszerváltás óta nem látott szintre emelkedett, 4,5 millió fő körül alakult, és 69,2%-os foglalkoztatási rátát eredményezett. A bővülésben a versenyszféra játszotta a legjelentősebb szerepet, miközben a közfoglalkoztatottak száma csökkent. A kormányzati intézkedések hatására 2018-ban az aktivitási ráta elérte a 71,9%-ot, ami a foglalkoztatás bővülése és a munkanélküliségi ráta 3,7%-ra csökkenése mellett következett be. A sikert a gazdaság stabil növekedési pályára állása következtében megnövekvő munkaerő-kereslet mellett számos munkapiaci részvételt, illetve munkakeresletet ösztönző intézkedés alapozta meg: többek között a Munkahelyvédelmi Akció keretében nyújtott kedvezmények, az álláskeresési támogatások átalakítása, a rokkantnyugdíjazás feltételeinek szigorítása, az effektív nyugdíjkorhatár emelése és a 2016 végén kötött béremelési és adócsökkentési megállapodás.
Az árak átlagosan 2,8%-kal növekedtek 2018-ban, így az infláció mértéke alacsonyabb volt a tervezett 3,0%-nál. Az emelkedés hátterében főként az élelmiszerek, azon belül is leginkább a gyümölcs- és zöldségfélék, valamint egyes tejtermékek drágulása állt. Az európai konjunktúra hatására a kontinens felől érkező inflációs nyomás is erősödött, jelentősen drágultak az új autók, műszaki cikkek. Mindazonáltal a háztartások élénkülő kereslete a korábbi évekhez hasonlóan csak mérsékelten jelentkezett az árak emelkedésében, amely nagyrészt a horgonyzott várakozásoknak köszönhető.
A külső egyensúlyi folyamatok esetében a külkereskedelem többlete 2017-et követően tovább mérséklődött, amit részben az élénk belső kereslethez köthető magasabb behozatal magyaráz, részben pedig a főként autóipart érintő gyengébb kivitel. Mindazonáltal, alapvetően a szolgáltatások kiemelkedő teljesítményének köszönhetően, a külkereskedelem többlete nemzetközi összevetésben továbbra is magas. A jövedelemáramlásokat tekintve a munkajövedelmek egyenlege mérséklődött. A folyó fizetési mérleg egyenlege 2018-ban a GDP -0,5%-át tette ki. Ennek és az uniós forrásbeáramlás eredményeként azonban a külfölddel szembeni finanszírozási képesség régiós összehasonlításban továbbra is magas.
A bruttó államadósság GDP-hez viszonyított aránya a 2011. évi 80%-ot meghaladó szintről 2018 végére 70,2%-ra süllyedt. A magyar államadósság-kezelés fő stratégiai célja az adósságráta csökkentése a lakossági állampapírok állományának növelésével, illetve a devizaadósság arányának mérséklésével párhuzamosan. A devizaarány ezzel összhangban a 2011 végi 52%-ról 23%-ra, a külföldiek aránya pedig 65%-ról 36%-ra esett. Ez hozzájárult az ország devizakitettségének és külső sérülékenységének mérséklődéséhez.
A makrogazdasági prognózis értékelése
A kormány a 2018-as évre 3,0%-os inflációt tervezett, amihez képest alacsonyabb lett a tényadat. Az alkalmazotti létszám változására vonatkozó várakozástól (1,8%) némileg elmaradt a későbbi, hivatalos adatközlés (1,1%).
A gazdasági növekedés üteme (5,1%) ugyanakkor meghaladta a prognosztizált értéket (4,3%). A tavalyi növekedés döntő hányada a szolgáltatások gyorsulásához köthető, összhangban a 2016 végén kötött béremelési és adócsökkentési megállapodás keresletélénkítő hatásával, míg a termelő ágazatok összességében a bővülés mintegy harmadához járultak hozzá. Ezen belül az építőipart erősítette a konjunkturális fellendülés és a kormányzati fejlesztések, az ipari termelést viszont némileg lassította a gyenge külső kereslet, a kapacitáskorlátok és a WLTP-re (Könnyű Gépjárművek Világszerte Összehangolt Teszteljárása) történő átállás. Felhasználási oldalról továbbra is a jövedelmi helyzettel párhuzamosan emelkedő lakossági fogyasztás és a kétszámjegyű bővülést elérő beruházások képezték a két fő húzóerőt. A nettó export visszafogta a növekedést, ami részben a gyenge külső konjunktúrának, részben a belső kereslet magas importtartalmának tulajdonítható. Elmondható, hogy 2018-ban is gyorsabban növekedett hazánk az uniós átlagnál. Következésképp, tovább folytatódott hazánk felzárkózása a fejlettebb gazdaságokhoz.
2. A költségvetési folyamatok értékelése
A Magyarország gazdasági stabilitásáról szóló 2011. évi CXCIV. törvény (Gst.) 5/A. § (2) bekezdése szerint a költségvetési előrejelzést - a makrogazdasági előrejelzéshez hasonlóan -a kormány a zárszámadáshoz kapcsolódóan értékeli. A 2018. évben az államháztartás pénzforgalmi hiánya 1157,6 milliárd forintos törvényi előirányzattal szemben 1202,1 milliárd forintban teljesült.
A kormányzati szektor európai uniós módszertan szerinti hiánya kisebb lett az eredetileg kitűzött célnál, a GDP 2,4%-a helyett annak 2,3%-ában teljesült.
Az uniós módszertan szerinti tervezettnél kisebb deficit döntően a kedvező makrogazdasági folyamatoknak (foglalkoztatottság és a bérek növekedése), és az élénkülő fogyasztásnak volt köszönhető.
A kétfajta módon számított hiány egymástól való eltérése sok egymást ellentételező tényező eredőjeként alakult ki. Az eredményszemléletű egyenleget leginkább befolyásoló tényezőként az adóbevételek, illetve az ESA szervezeti körbe besorolt vállalatokkal kapcsolatos eredményszemléletű korrekciók csökkentették az európai uniós módszertan szerinti hiányt.
Az év végén képződött megtakarítások felhasználásával lehetőség nyílt arra, hogy a kormány közérdekű feladatok többletfinanszírozásáról döntsön, összesen 184 milliárd forintos összegben. E források kiemelt célterületei a nemzetpolitika, a sport és az egyházak támogatása volt.
Az uniós programokhoz kapcsolódó bevételek és kiadások nettó pénzforgalmi egyenlege mintegy 50 milliárd forinttal tért el a tervezetthez képest. Ezen belül a kiadások és a bevételek is elmaradtak a törvényi előirányzattól.
A kamategyenleg (kamatkiadások és kamatbevételek egyenlege) pénzforgalomban a törvényi előirányzathoz képest 23,0 milliárd forinttal romlott, ami a tervezettől eltérő finanszírozási műveletekkel, a deviza-részaránnyal, illetve a hozamok év során bekövetkezett változásával magyarázható.
Az államháztartás alrendszereinek alakulása
Az államháztartás 2018. évi pénzforgalmi hiánya 1202,1 milliárd forint lett, mely a GDP 2,8%-a. Az államháztartás központi alrendszerének hiánya a törvényi 1360,7 milliárd forintos előirányzathoz képest 1451,6 milliárd forintra teljesült, ami a GDP 3,4%-ának felel meg. Az államháztartás központi alrendszerén belül a központi költségvetés 1375,5 milliárd forintos deficittel, a társadalombiztosítás pénzügyi alapjai pedig 83,7 milliárd forintos deficittel zárták a 2018. évet, az elkülönített állami pénzalapok ugyanakkor 7,6 milliárd forintos többletet mutattak.
Az államháztartás központi alrendszerén belül a központi költségvetés 1375,5 milliárd forintos hiánya kismértékben magasabb lett a tervezettnél. A központi költségvetés bevételei esetében a törvényi előirányzathoz képest nagyobb összegben teljesült a legtöbb adónem (így pl. a társasági adó, személyi jövedelemadó, áfa, jövedéki adó, kisvállalati adó, pénzügyi tranzakciós illeték, egyéb központosított adóbevételek), a tervtől alacsonyabb teljesülés csak néhány kisebb adónemnél figyelhető meg (így pl. az egyszerűsített vállalkozói adó, reklámadó). A tervezetthez képest 2018-ban is túlteljesültek a költségvetési szervek és a szakmai fejezeti kezelésű előirányzatok bevételei, amit jelentős részben technikai pénzmozgások okoztak. Az állami vagyonnal kapcsolatos bevételek teljesülése közel kétszerese lett a tervezettnek, melyben jelentős szerephez jutott a széndioxid kvóták értékesítéséből befolyt bevételek vártnál jóval magasabb összege. A kiadások közül elmaradtak a törvényi előirányzattól többek között a lakásépítési támogatások, a szociálpolitikai menetdíj támogatás, az állami vagyonnal kapcsolatos kiadások és a kezességérvényesítések. Ugyanakkor magasabb mértékben realizálódtak többek között az egyedi és normatív támogatások, a költségvetési szervek és a szakmai fejezeti kezelésű előirányzatok kiadásai (a bevételi többleteikkel összhangban, az uniós forrásokhoz kapcsolódó magasabb hazai társfinanszírozás és az uniós projektek gyorsabb megvalósítását segítő előlegfizetések miatt), valamint a helyi önkormányzatoknak nyújtott támogatások is.
Az elkülönített állami pénzalapok 2018. évi 7,6 milliárd forintos többlete a Központi Nukleáris Pénzügyi Alap 15,4 milliárd forintos, a Nemzeti Kulturális Alap 1,2 milliárd forintos, a Bethlen Gábor Alap 2,5 milliárd forintos és a Nemzeti Kutatási, Fejlesztési és Innovációs Alap 16,7 milliárd forintos többletéből, valamint a Nemzeti Foglalkoztatási Alap 28,2 milliárd forintos hiányából alakult ki. Az elkülönített állami pénzalapok egyenlege így a 2018. évre tervezett 49,3 milliárd forintos hiányhoz képest lényegesen kedvezőbben alakult.
A bevételi oldalon a Nemzeti Foglalkoztatási Alap szakképzési hozzájárulásból befolyt bevételei, valamint az alapot megillető egészségbiztosítási és munkaerőpiaci járulék bevételek lettek magasabbak a vártnál, míg az innovációs járulék összege elmaradt a törvényi előirányzattól.
A kiadások közül elsősorban - döntő részben a Start munkaprogrammal összefüggésben - a Nemzeti Foglakoztatási Alap ráfordításai maradtak el a törvényi előirányzattól, míg a Bethlen Gábor Alap kiadásai 60,8 milliárd forinttal meghaladták az előirányzatot.
A társadalombiztosítási alapok a 2018. évet 83,7 milliárd forintos hiánnyal zárták, ami a Nyugdíjbiztosítási Alap (Ny. Alap) 0,3 milliárd forintos többletéből, és az Egészségbiztosítási Alap (E. Alap) 84,0 milliárd forintos deficitjéből tevődött össze. A bevételi oldalon a szociális hozzájárulási adóból és munkáltatói járulékokból származó bevételek némileg elmaradtak a tervezettől, ezt azonban ellensúlyozta a biztosítottak által befizetett járulékok többlete. A kiadások esetében a törvényi előirányzattól elmaradtak a rokkantsági rehabilitációs ellátások kiadásai, magasabbak lettek ugyanakkor többek között a nyugellátásokra, a gyógyszertámogatásokra, a gyógyászati segédeszköz támogatásra fordított és a gyógyító-megelőző ellátáshoz kapcsolódó kiadások.
Az államháztartás helyi önkormányzati alrendszerének 2018. évi pénzforgalmi többlete 249,5 milliárd forintot tett ki, mely 46,4 milliárd forinttal kedvezőbb a tervezett 203,1 milliárd forintos többlethez képest. A javulás többek között a vártnál magasabb helyi iparűzési adóbevétellel magyarázható.
3. Az állami feladatellátás funkcionális bemutatása, változásának jellemzői
A kormányzati funkciók mérésére nemzetközileg a "Classification of Functions of Government" (COFOG) szabványt alkalmazzák. Ez a módszertani eszköz összehasonlíthatóvá és elemezhetővé teszi különböző országok kormányzati szektorának terjedelmét, céljai szerinti összetételét. A funkcionális osztályozást elsősorban a kiadások tekintetében szokás vizsgálni.
A 2018. évre vonatkozóan az államháztartás körében, pénzforgalomban az alábbiak szerint alakult az állami feladatellátás.
a) Az államháztartási szerepvállaláson belül az állami működési funkciók kiadásainak aránya 19,1%-ot tett ki. A funkciócsoporton belül összességében az általános közösségi szolgáltatások aránya az előző évinél magasabban, 12,3%-ban teljesült. Ezen belül a két legnagyobb területet érintően, a pénzügyi és költségvetési tevékenységek és szolgáltatások részaránya 3,7%-ot tett ki, a törvényhozó és végrehajtó szervek kiadásainak aránya pedig 5,6% lett. A magasabb kiadás oka, hogy mind a Magyar Államkincstárnál, mind a Nemzeti adó és Vámhivatalnál növekedett a dolgozók bére. Az önkormányzatok törvényhozó és végrehajtó szerveinek kiadása és a nemzeti vagyonhoz kapcsolódó kiadások is számottevően nőttek az előző évhez viszonyítva.
Az egyéb általános közösségi szolgáltatások 0,2 százalékpontos növekedése a GNI és az áfa alapú az Európai Uniónak fizetendő hozzájárulásával magyarázható.
A 2018. évben védelemre az államháztartás összes kiadásán belül 1,9%-ot fordított a költségvetés. Az előző évhez képest a 0,2 százalékpontos csökkentést a fejlesztésre fordított kiadások (az előlegekkel együtt) csökkenése magyarázza.
A rendvédelem és közbiztonság funkció a 2018. évi államháztartási kiadások 4,9%-át tette ki, ami meghaladta az előző évi szintet. A rendvédelmi dolgozók számára bevezetett életpályamodell bérfejlesztése a 2018. évben tovább folytatódott, a bírósági és ügyészségi dolgozók is béremelésben részesültek.
b) A jóléti funkciókra (oktatás, egészségügy, társadalombiztosítás) 2018-ban az államháztartás kiadásainak 49,1%-át fordították, amely 1,1 százalékpontos növekedést, nominálisan az előző évhez képest több mint 690,0 milliárd forinttal magasabb kiadást jelent.
Az államháztartáson belül az oktatási tevékenységekre és szolgáltatásokra fordított összegek a kiadások 11,6%-át tették ki, mely 0,8 százalékponttal magasabb, mint az előző évben. A pedagógus életpálya a bérek emelkedését hozta 2018-ban, valamint az Erzsébet gyermek- és ifjúsági táborok támogatására is több forrás jutott. A felsőoktatási kiadások aránya 0,3 százalékponttal nőtt, amiben a béremeléseken túl a hallgató támogatások, ösztöndíjprogramok többlete és beruházások is szerepet játszottak.
Az egészségügy területén az ellátások biztosítására, valamint az intézmények működésére az államháztartási kiadások 9,1%-át fordította a költségvetés. A funkciócsoport 2018. évi alakulását jelentősen befolyásolta az egészségügyi szakdolgozók 8%-os januári béremelése is.
A kórházi tevékenységekre és szolgáltatásokra valamint a háziorvosi, ügyeleti ellátásra fordított kiadások aránya szintén növekedett. Előbbi a kiadások 5,1%-át tette ki, ami 0,2 százalékponttal magasabb az előző évinél, nominálisan több mint 89 milliárd forintos növekedést jelent, utóbbi 0,1 százalékponttal 0,8%-ra nőtt.
A társadalombiztosítási és jóléti funkciókra fordított összegek a kiadások 28,5%-át tették ki. A funkciócsoporton belül a legnagyobb részarányt a nyugellátásokra fordított összeg jelentette 17,0%-kal, ami azonos az előző évi részaránnyal. A nyugdíjkiadások nominálisan 175 milliárd forintot meghaladóan emelkedtek. A családi pótlékok és gyermekeknek járó juttatások funkcióra fordított kiadások összegszerűségükben emelkedtek. Az egyéb szociális támogatásokra fordított összegek aránya 2,2%-ról 2,0%-ra csökkent, melyben szerepet játszott a Nemzeti Eszközkezelő Zrt. által végrehajtott ingatlanvásárlásokra és ingatlan beruházásokra fordított kiadások csökkenése.
A lakásügyekre, települési és közösségi tevékenységekre és szolgáltatásokra kifizetett összegek 2018-ban az összkiadások 2,8%-át tették ki, szemben az előző évi 2,6%-kal. A nagyobb teljesülést egyrészt az önkormányzatok feladatellátásaival kapcsolatos települési és kommunális szolgáltatások nagyobb összegű kiadása magyarázza, másrészt a Családi Otthonteremtési Kedvezményt igénybevevők magasabb létszáma miatt emelkedtek központi költségvetési kiadások is.
A szórakoztató, kulturális, vallási tevékenységek és szolgáltatások funkcionális kiadásai az összkiadásokon belül 5,9%-ot képviseltek, ami az előző évhez képest 0,1 százalékpontos csökkentést jelent. A sport és szabadidős tevékenységekre és szolgáltatásokra fordított kiadások aránya 0,2 százalékponttal csökkent, összefüggésben azzal, hogy a 2017. évi FINA Világbajnokság lebonyolításának támogatására már nem kellett forrás biztosítani. A kulturális tevékenységekre és szolgáltatásokra fordított kiadások aránya viszont 0,2 százalékponttal nőtt, ez nominálisan közel 62 milliárd forintos többletkiadást jelent.
c) A gazdasági funkciók összességében a kiadások 17,4%-át tették ki, mely 1,0 százalékponttal alacsonyabb, mint a 2017. évi részarány. Ebben a kiadási típusban a közlekedési és távközlési tevékenységek, szolgáltatások funkciócsoportra fordított összegek aránya a legjelentősebb (9,2%). Ezen belül a közúti közlekedési tevékenységekre fordított kiadás 1,1 százalékponttal magasabb volt az előző évinél döntően a közúthálózat felújítására szánt források megugrása és a kiemelt közúti projektek kiadásainak jelentős növekedése következtében. Ezzel párhuzamosan viszont 1,2 százalékponttal csökkent az egyéb közlekedés és szállítás alfunkció kiadásainak aránya az útépítési célú uniós programok kifutása miatt. A környezetvédelemre fordított kiadások 0,5 százalékponttal alacsonyabban teljesültek az előző évhez képest az uniós fejlesztések kifutása, valamint az ilyen jellegű önkormányzati kiadások csökkenése miatt. Hasonló okokból, továbbá a Start-munka program létszámcsökkenése miatt 0,5 százalékponttal alacsonyabb teljesülést mutattak az egyéb gazdasági tevékenységek és szolgáltatások kiadásai is.
d) Az államadósság kezelésével kapcsolatos kiadások a tárgyévben 5,6%-át tették ki az összes kiadásnak, mely a 2017. évinél jelentősen, 0,6 százalékponttal lett kedvezőbb.
4. Adó- és járulékpolitika
A megelőző évek során kialakított növekedésbarát adórendszer fenntartása érdekében az adórendszer súlypontja továbbra is a fogyasztási-forgalmi típusú, valamint a környezet- és egészségvédelmi célú adókra helyeződött, míg a jövedelmeket terhelő adók súlya a költségvetési egyensúly megtartása mellett, a lehetőségekhez mérten, fokozatosan csökkentésre került.
A tartós gazdasági növekedés és a feketegazdaság elleni sikeres küzdelem 2018-ban is lehetővé tette a szociális hozzájárulási adó újabb, 2,5 százalékpontos csökkentését a 2016 végén kötött béremelési és adócsökkentési megállapodásnak megfelelően, amely jelentős mértékben enyhítette a vállalkozások és egyúttal az élőmunka adóterheit. Ezek mellett, a kisvállalkozások helyzetének javítása érdekében kedvezőbbé vált a kisvállalati adózás szabályrendszere - ideértve az egyszerűsített adónem alá történő belépés jogosultsági értékhatárának kiterjesztését, és a kulcs 14%-ról 13%-ra történő csökkentését is. A családok helyzetét javította a kétgyermekesek családi kedvezményének további növelése. A célzott áfa csökkentések 2018-ban tovább folytatódtak, ennek keretében a hal, a sertésbelsőség, az internet szolgáltatás, az éttermi étkezés, valamint a Braille-kijelzők és -nyomtatók áfa kulcsa egyaránt 5%-ra csökkent.
A kormány kiemelt célja egy a korábbinál egyszerűbb, integráltabb adórendszer létrehozása. Többek között ehhez járul hozzá, hogy a 2018. július 20-án elfogadott törvénymódosítás szerint visszamenőleges hatállyal, 2018. január 1-jétől megszűnt a magánszemélyek 75%-os különadója.
A társasági adó esetében a legjelentősebb változás, hogy 2017. január elsejétől a társasági adókulcs egységesen 9%-ra csökkent. A kulcscsökkentés mellett 2017-től több beruházás- és növekedés ösztönző intézkedés is megvalósult: jelentősen enyhültek a kis- és középvállalkozások számára elérhető, beruházásokhoz kapcsolódó adókedvezmények igénybevételi korlátai, a fejlesztési adókedvezmény rendszerében pedig jelentős mértékben, harmadukra csökkentek a létszámnövelési követelmények. Mindemellett a versenyképesség növelése és a növekedési kilátások javítása érdekében bevezetésre került az energiahatékonysági beruházások után igénybe vehető adókedvezmény, az elektromos töltőállomások adóalap-kedvezménye, illetve a korai fázisú vállalatokba történő befektetéseket ösztönző adóalap-kedvezmény. Ezen kívül a fejlesztési adókedvezményt illetően, további két új jogcím is bevezetésre került: a termék-diverzifikációt eredményező induló beruházás, valamint az új eljárási innovációt eredményező induló beruházás. A fenti intézkedések hatása hosszabb távon mindenképpen jelentkezik majd a beruházások élénkülésében, valamint a vállalkozások jövedelmezőségének növekedésében. 2018-ban hatásuk - tekintettel a beruházásokat megalapozó döntések hosszabb idejére - még csak korlátozottan érvényesült.
A szociális hozzájárulási adó esetében jelentős változás, hogy az adó kulcsa a 2016 végén kötött béremelési és adócsökkentési megállapodás alapján 2018. január 1-jétől 2,5 százalékponttal, 19,5%-ra csökkent.
A kisvállalati adó (KIVA) jelentős egyszerűsödésével és az adó kulcsának csökkenésével az adórendszer 2017-től még kedvezőbb adózási környezetet teremtett a növekedésre képes kis-és középvállalkozások (KKV) számára. Tekintettel arra, hogy az adónem kiváltja a szociális hozzájárulási adót és a társasági adót, összhangban az utóbbiakat érintő intézkedésekkel, a KIVA 16%-os kulcsa 2017-ben 14%-ra, 2018-ban 13%-ra csökkent. Emellett 2017-től kedvezően változtak a jogosultsági feltételek is: a KIVA a korábbi 25 helyett 50 foglalkoztatottig választható, továbbá 500 millió forintról 1 milliárd forintra emelkedett az adóalanyiság megszűnésének bevételi értékhatára. A fenti intézkedéseknek, valamint a 2017. év végén indított KIVA népszerűsítő kampánynak köszönhetően az adónemet választó adóalanyok száma ugrásszerűen megnőtt, és 2018. év végén már csaknem 30 ezren voltak.
A személyi jövedelemadó esetében 2018-ban megvalósult a kétgyermekes családi adókedvezmény négy egyenlő lépésben történő növelésének harmadik üteme, melynek eredményeképpen a 2016-2019 időszak végére a kedvezmény a 2015. évi érték duplájára növekszik.
Az általános forgalmi adó esetében célzott áfa csökkentés keretében a lakosság terheinek csökkentése, illetve az adott ágazatokat érintő feketegazdaság mértéke mérséklésének érdekében 5%-ra csökkent a halra, a sertésbelsőségre, az internet szolgáltatásra, az éttermi étkezésre, valamint a Braille-kijelzőkre és -nyomtatókra vonatkozó áfakulcs. A jogkövető adózók pozitív elbánásban való részesítése céljából 2018-tól a megbízható adózókra vonatkozó kiutalási határidő 30 napra csökkent.
A turizmusfejlesztési hozzájárulás 2018 januárjától került bevezetésre, melyet az étkezőhelyi vendéglátásban az étel- és a helyben készített, nem alkoholtartalmú italforgalom után kötelesek az ezen szolgáltatásokat nyújtó adóalanyok megfizetni. A hozzájárulás alapja a fent megnevezett szolgáltatásnyújtás áfa nélküli ellenértéke, mértéke pedig a hozzájárulás alapjának 4%-a. A turizmusfejlesztési hozzájárulásból befolyó bevételeket a külön jogszabályban meghatározott turizmusfejlesztési feladatokra kell fordítani. Pénzforgalmi bevétel az adónemből elsőként 2018. februárban keletkezett.
A jövedéki adó esetében 2016 szeptemberétől került bevezetésre a világpiaci kőolajártól függő adómérték emelés a benzin, a gázolaj és az üzemanyag petróleum esetében. Az adómértékek felülvizsgálatára negyedévente kerül sor, amely a benzin és az üzemanyag petróleum adómértékének esetében literenként 5 forint, a gázolaj adómértékének esetében 10 forint változást okozhat. Az üzemanyagokat érintő feltételes adómérték emelés a 2018. évben nem történt, mind a négy negyedévben az alacsonyabb adómértékek voltak érvényben.
A dohánytermékek esetében a 2018-2019. évi három lépcsős adómérték emelkedést az európai uniós jogharmonizáció indokolta. Az adóemelés első lépcsőjére 2018. szeptember 1-jétől került sor, majd az adómértékek 2019 januárjában, majd júliusban tovább emelkedtek.
A pénzügyi tranzakciós illeték esetében 2018 szeptemberétől, ha a kincstár a fizetési műveletet az államháztartási törvényben (Áht.) meghatározott kincstári körbe tartozó számlatulajdonosokon kívül más kincstári számlatulajdonos részére hajtja végre, akkor a műveletenként legfeljebb 6 ezer forintos felső határ alkalmazandó.
II.
A KÖZPONTI KORMÁNYZAT 2018. ÉVI ELŐIRÁNYZATAI
A.
A KÖZPONTI KÖLTSÉGVETÉS ELŐIRÁNYZATAI
1. Bevételi előirányzatok
1.1. Gazdálkodó szervek befizetései
Társasági adó
A társasági adóból származó 2018. évi költségvetési bevétel 380,4 milliárd forint volt, azaz az előirányzatot 10,8 milliárd forinttal (2,9%-kal) haladta meg. Az előirányzat év közben nem került módosításra.
Az előirányzat magasabb teljesülésének hátterében több tényező együttes hatása állt. A vártnál kedvezőbb makrogazdasági mutatók, valamint nagy összegű egyedi adózói befizetések pozitívan, míg a korábbi évek túlfizetéseinek felhasználása és a 2018. decemberi adóelőleg-kiegészítéshez kapcsolódó adóról történő rendelkezéseknek magasabb tárgyévi teljesítése negatívan befolyásolták a bevételeket.
Cégautóadó
Cégautóadóból a központi költségvetésnek 2018-ban 35,3 milliárd forint bevétele származott. A nettó adóbevétel az éves előirányzatot (33,3 milliárd forint) 2,0 milliárd forinttal (5,9%-kal) haladta meg. A magasabb teljesülés oka, hogy a bázisévi bevétel alacsonyabb alakulásának hatását ellensúlyozta a cégautó állomány vártnál nagyobb növekedése.
Energiaellátók jövedelemadója
Energiaellátók jövedelemadójából a költségvetési törvény 51,9 milliárd forint bevételt irányzott elő. Ezen az adónemen 59,7 milliárd forint realizálódott, amely a költségvetési előirányzathoz képest 7,8 milliárd forinttal, 14,9%-kal magasabb teljesülést mutat. Ennek oka a decemberi adóelőleg-feltöltés tervezettnél magasabb összegére vezethető vissza.
Egyszerűsített vállalkozói adó
Az egyszerűsített vállalkozói adóból (EVA) származó 2018. évi költségvetési bevétel 54,1 milliárd forint volt, amely az előirányzattól (69,6 milliárd forint) 15,5 milliárd forinttal (22,2%-kal) maradt el. Az eltérés jelentősebb részét a 2017. bázisévi bevétel elmaradása magyarázza. További csökkenést okozott az EVA adóalanyok számának nagyobb mértékű fogyatkozása is, valamint, hogy az egy adózóra jutó adóalap növekedés elmaradt várakozásoktól.
Ökoadó
2018. évben energiaadó címén közel 20,2 milliárd forint bevétele származott a költségvetésnek, mely 28,8 milliárd forint befizetés és 8,6 milliárd forintot kitevő visszautalás eredőjeként adódott. Az adóbevétel az éves előirányzatot (19,0 milliárd forint) 1,2 milliárd forinttal (6,2%-kal) haladta meg. A magasabb teljesülést a nagyobb energiafelhasználás magyarázza.
A környezetterhelési díj 2018. évi előirányzata 5,0 milliárd forint volt, a pénzforgalmi bevétel 5,6 milliárd forint összeggel teljesült, amely az éves előirányzat 112,5%-a.
Bányajáradék
A 2018. évben a bányajáradék bevétel összesen 43,7 milliárd forint volt, mely 18,7%-kal haladta meg a költségvetési törvényben szereplő 36,8 milliárd forintot és 51,8%-kal haladta meg a 2017. évi 28,8 milliárd forintos teljesítést.
Játékadó
Játékadóból a központi költségvetés 2018. évi előirányzata 25,9 milliárd forint volt. A 2018. évi adóbevétel 29,3 milliárd forintban teljesült, ami a költségvetési előirányzathoz képest 3,4 milliárd forintos, 13,1%-os túlteljesülést jelent. A magasabb összeg hátterében elsősorban az egyes játékfajták adóalapjának várakozáson felüli alakulása állt.
Reklámadó
Reklámadóból 12,3 milliárd forint teljesült, a bevétel az előirányzattól (14,0 milliárd forint) elmaradt. Az eltérés hátterében a korábbi túlfizetésekhez köthető kiutalások egy részének 2018-ra történő áthúzódása áll.
Egyéb befizetések
A gazdálkodó szervezetek egyéb befizetéseit az állami adóhatóság által beszedett bírságok, pótlékok tették ki. Ezen a jogcímen 9,5 milliárd forint bevétele származott a költségvetésnek. A teljesítés az éves előirányzat (19,5 milliárd forint) 47,0%-át tette ki. Az elmaradás hátterében az adózói minősítéshez köthető, kedvező elbírálási eljárások állnak.
Egyéb központosított bevételek
Az egyéb központosított bevételek mérlegsoron az éves 507,1 milliárd forintos teljesítés meghaladta a törvényi előirányzatot (az előirányzat 109,3%-a). Az összességében magasabb teljesítés hátterében elsősorban a bírság- és útdíjbevételek, valamint a rehabilitációs hozzájárulásból származó bevételek várakozáson felüli alakulása áll.
Pénzügyi szervezetek különadója
A 2018. évi költségvetés ezen adónemben 50,4 milliárd forint bevételi előirányzatot tartalmazott. A 2018. évi teljesülés 53,3 milliárd forint volt, amely 2,9 milliárd forinttal (5,8%-kal) magasabb az előirányzatnál.
Az előirányzat teljesülésének alakulása több tényezőre vezethető vissza. Egyrészt a kötelezettségi adatok kedvezőbben alakultak, másrészt a sportfelajánlások vártnál alacsonyabb összege pozitívan hatott a bevételekre. Ez utóbbi komponens hatását nagyrészt ellensúlyozta a 2017. évi sportfelajánlásokhoz kötődő önellenőrzések következtében fellépő túlfizetések kiutalásának áthúzódása a 2018 évre.
Egyes ágazatokat terhelő különadó
Az egyes ágazatokat terhelő különadó 2013. január 1-jével megszűnt, de az áthúzódó pénzforgalmi hatás miatt még keletkezett 0,7 milliárd forint bevétel 2018-ban ezen az adónemen.
Kisadózók tételes adója (KATA)
A kisadózók tételes adója címén a 2018. évi költségvetési előirányzat 113,0 milliárd forintban került megállapításra. Ezen a mérlegsoron 124,9 milliárd forint bevétele származott a költségvetésnek, amely 11,9 milliárd forinttal (10,6%-kal) haladta meg az előirányzott összeget. A magasabb teljesülés a tervezettnél nagyobb bázisévi bevétellel és a vártnál magasabb adózói létszámnövekedéssel magyarázható.
Kisvállalati adó (KIVA)
A kisvállalati adóból származó bevétel 41,7 milliárd forint volt, mely teljesülés az előirányzatot 14,5 milliárd forinttal (53,1%-kal) haladta meg. A vártnál lényegesen magasabb bevételek hátterében elsősorban az áll, hogy a 2017. év végén lezajlott KIVA-t népszerűsítő "kampány" sikere következtében, az adónemet választó adózók száma ugrásszerűen, csaknem duplájára növekedett.
Közműadó
A költségvetés közműadóból 55,0 milliárd forint bevételt irányzott elő, mely végül 54,3 milliárd forint összegben teljesült. A kismértékű ellmaradás nagyrészt a hálózatfejlesztési kedvezmények összegének megugrásával magyarázható.
1.2. Fogyasztáshoz kapcsolt adók
Általános forgalmi adó
A fogyasztás volumene 2018-ban növekedést mutatott, az export és az import bővülése folytatódott. A GDP volumene 2018-ban 5,1%-kal emelkedett, az éves infláció 2,8%-kal nőtt. Az infláció mértékének, illetve a fogyasztási volumen vártnál kedvezőbb alakulásának hatását elsősorban a tervezettnél magasabb mértékű fehéredési hatás fokozta.
A 2018. évben a költségvetésnek nettó 3928,7 milliárd forint pénzforgalmi áfa bevétele keletkezett, amely az előirányzatot (3838,6 milliárd forint) 90,0 milliárd forinttal (2,3%-kal) haladta meg. A nettó áfa egyenleg 6933,4 milliárd forint bruttó befizetés (melyből 422,2 milliárd forintot tett ki az import és a dohánytermékek számlákra teljesített befizetés) és a 3004,7 milliárd forintot kitevő kiutalások eredőjeként adódott.
A költségvetés áfa bevételei három számlán jelennek meg. A NAV által vezetett önadózói "Általános forgalmi adó" számla 3508,4 milliárd forint egyenleggel zárt 2018-ban (beszedett és kiutalt áfa egyenlege). A NAV által nyilvántartott kivetéses "Importtermék általános forgalmi adó" számlája (mely az importon belül a kivetéses kör utáni befizetéseket tartalmazza) 276,7 milliárd forintos, míg a szintén kivetéses "Dohánygyártmány áfa" számla 143,6 milliárd forintos egyenleget mutatott.
A bázisévhez képest a költségvetés nettó pénzforgalmi áfa bevétele 403,4 milliárd forint (11,4%-os) növekedést mutat. A nettó bevételek növekménye a bruttó befizetések 784,9 milliárd forintos (12,8%-os) és a kiutalások 381,5 milliárd forintos (14,5%-os) növekedésének egyenlegeként adódott. Az áfa bevételeken belül az import és dohány áfa befizetés 39,5 milliárd forinttal (10,3%-kal) nőtt, mely az import áfa bevétel 11,8 milliárd forintos (4,4%-os), illetve a dohánytermékek után beszedett áfa bevétel 27,7 milliárd forintos (23,9%-os) emelkedéséből adódott.
A 2018. évre beadott áfa bevallások alapján a bázis évhez képest a belföldi értékesítések adóalapja 11,8%-kal, a beszerzések adóalapja 12,2%-kal nőtt. A befizetendő adó 13,3%-os, míg a visszaigényelhető adó 11,9%-os emelkedést mutatott.
Jövedéki adó
2018. évben jövedéki adó címén 1111,9 milliárd forint pénzforgalmi bevétele származott a költségvetésnek, mely az éves előirányzatot (1099,3 milliárd forint) 12,6 milliárd forinttal (1,1%-kal) haladta meg.
A bevételek legnagyobb hányadát - 60,1%-át - továbbra is az üzemanyagok utáni befizetések tették ki, ezen túlmenően a bevételek közel 30,9%-a a dohánytermékek után, 9,0%-a pedig a szeszesitalok és egyéb termékek után folyt be. Ez a bázisévhez képest 3,1 százalékpontos átrendeződést jelent az üzemanyag termékektől a többi termékcsoport, de nagyrészt a dohánytermékek irányába. Az adóbevétel az előző év értékénél (1022,1 milliárd forint) 89,8 milliárd forinttal (8,8%-kal) volt magasabb, mely a forgalomváltozások, a dohánytermékek adómérték változása, a népegészségügyi adót érintő jogszabályi változások és egyéb piaci trendek együttes hatásának volt betudható. A főbb termékcsoportok utáni pénzforgalmi bevételek az alábbiak szerint alakultak:
- Az üzemanyagok esetében az adóbevétel 668,3 milliárd forintot tett ki, mely 22,7 milliárd forinttal (3,5%-kal) magasabb az előző évi értéknél (645,7 milliárd forint). A növekedés a befizetések 18,2 milliárd forintos (2,6%-os) növekedésének és a kiutalások 4,5 milliárd forintos (9,8%-os) csökkenésének együttes hatásaként adódott. A bevételek 34,2%-át a benzin, 65,5%-át a gázolaj utáni befizetések adták, mely a bázisévhez képest 0,9 százalékpontos átrendeződést jelent a benzintől és egyéb üzemanyagoktól a gázolaj javára. Annak ellenére, hogy a bázisév első negyedévében magasabb adómértékek voltak érvényben, a befizetések nőttek. A befizetések növekedése a gázolaj- és a benzinforgalom növekedésének köszönhető. A mezőgazdasági visszatérítések esetén majdnem 4 millió forinttal, a közlekedéshez köthető visszatérítések esetén mintegy 129 millió forinttal több jövedéki adó került kiutalásra, míg a kereskedelmi gázolaj jogcímen 3,9 milliárd forinttal csökkent a visszatérített jövedéki adó összege a bázishoz képest. 2018. évben - az előző évhez viszonyítva - a gázolaj szabadforgalma 6,8%-kal, a benziné 5,6%-kal növekedett. A 2018. évben az üzemanyagárak a bázisévi szintet benzin esetén átlagosan 7,5%-kal, gázolaj esetén 10,5%-kal múlták felül.
- A szeszesitalok és egyéb termékek jövedéki adóbevétele 99,8 milliárd forintot tett ki, amely 8,7 milliárd forinttal (9,5%-kal) magasabb a bázisnál (91,1 milliárd forint), mely a forgalom alakulásának és a népegészségügyi termékadót érintő 2017. január 1-jétől illetve 2019. január 1-jétől érvényes jogszabályváltozások következtében kialakult készletezési hatásoknak tudható be.
- A dohánytermékek jövedéki adóbevétele 343,3 milliárd forint volt, amely az előző évi értékhez (284,7 milliárd forint) képest 58,6 milliárd forinttal (20,6%-kal) magasabb. A magasabb teljesülés hátterében a szabadforgalom bázisévhez mért alakulása áll, melyet az év szeptemberétől, illetve 2019 januárjától végbement adómérték emelésekre adott piaci reakciók is befolyásolnak. A 2018. évben a szabadforgalomba helyezések volumene a cigaretta esetén 17,2%-kal, a fogyasztási dohány esetén pedig 5,3%-kal nőtt.
Regisztrációs adó
Regisztrációs adóból 25,4 milliárd forint pénzforgalmi bevétele származott a költségvetésnek. A nettó adóbevétel az éves előirányzatot (24,4 milliárd forint) 1,0 milliárd forinttal (3,9%-kal) haladta meg. A túlteljesülések hátterében a bázisévi bevétel vártnál magasabb alakulása áll.
Távközlési adó
Távközlési adó mérlegsoron 53,8 milliárd forint bevétele származott a költségvetésnek, mely az éves előirányzatot (52,1 milliárd forint) 1,7 milliárd forinttal (3,3%-kal) haladta meg. A bázisévhez viszonyítva a költségvetés bevétele 0,2 milliárd forinttal (0,5%-kal) nőtt. A 2017. évi bevételekhez viszonyított túlteljesülés hátterében az adóalap tárgyévben tapasztalt növekedése áll, melynek üteme magasabb volt a vártnál.
Pénzügyi tranzakciós illeték
A 2018. évben 233,2 milliárd forint pénzügyi tranzakciós illeték folyt be a költségvetésbe. A bevétel a költségvetési előirányzatot (204,7 milliárd forint) 28,5 milliárd forinttal (13,9%-kal) haladta meg. Az előirányzat túlteljesülését az adóalanyok kötelezettségének magasabb összege magyarázza. A tavaly évi bevétel a 2017. évi bevételhez (217,3 milliárd forint) viszonyítva 15,9 milliárd forintos (7,3%-os) növekedést mutat. A bázisévhez mért nagyobb teljesülés hátterében elsősorban a pénzügyi tranzakciók növekedése áll, mind a Magyar Államkincstárhoz, mind a piaci szolgáltatók esetében, emellett a 2018. évben igénybevett kedvezmények összege alacsonyabb volt a 2017. évi összegnél. A költségvetés bevételének közel 9,3%-a a Magyar Államkincstárhoz, míg a fennmaradó 90,7%-a az adófizetésre kötelezett piaci szereplőkhöz köthető.
Turizmusfejlesztési hozzájárulás
A központi költségvetésnek ezen adónemből 19,0 milliárd forint bevétele származott, mely az előirányzatot (11,4 milliárd forint) 7,6 milliárd forinttal haladta meg. Az adó bevezetésére 2018. január 1-től került sor. A magasabb teljesülés hátterében a vendéglátó-forgalom vártnál nagyobb növekedése áll.
Biztosítási adó
Biztosítási adóból a központi költségvetésnek 39,7 milliárd forint bevétele származott. Az adóbevétel a 2018. évi előirányzatot (35,2 milliárd forint) 4,5 milliárd forinttal (12,8%-kal) haladta meg. A bázisévhez viszonyítva a költségvetés bevétele 4,0 milliárd forinttal (11,3%-kal) emelkedett. Az eltérést a biztosítási piac vártnál kedvezőbb alakulása okozta.
1.3. A lakosság befizetései
Személyi jövedelemadó
A 2018. évi költségvetés 2096,2 milliárd forint személyi jövedelemadó bevételt irányzott elő. Ezen adónemből a ténylegesen befolyt költségvetési bevétel 2177,4 milliárd forint volt, mely 2292,2 milliárd forint bruttó befizetés és 114,8 milliárd forint kiutalás egyenlegeként adódott. A 2018. évi teljesítés az előirányzathoz képest 81,2 milliárd forint (3,9%) túlteljesülést mutat. Az előirányzatot meghaladó adóbevétel az alábbi tényezők eredőjeként adódott: tervezettnél kedvezőbb foglalkoztatási- és bérdinamika, illetőleg a bázisévi bevétel vártnál magasabb teljesülése. A 2018. évben realizált személyi jövedelemadó-bevétel 257,5 milliárd forinttal, 13,4%-kal volt magasabb a 2017. évi bevételnél.
Adóbefizetések
A 2018. évben a költségvetésnek egyéb lakossági adóbefizetésekből 8,6 milliárd forint bevétele származott, mely az éves előirányzatot (8,0 milliárd forint) 0,6 milliárd forinttal haladta meg. A fenti összegből közel 8,1 milliárd forintot tett ki a bérfőzési szeszadó, a lakossági vámbefizetések, a szabálysértési bírságok összege, illetve a NAV értékesítési bevételi számlára érkezett összeg 0,5 milliárd forint volt. A magasabb teljesülést elsősorban a vártnál nagyobb mennyiségű gyümölcspárlat készítés indokolta.
Illeték befizetések
Az illetékbefizetésekből a központi költségvetésnek 191,0 milliárd forint bevétele származott, amely a költségvetési előirányzathoz (188,6 milliárd forint) viszonyítva 2,4 milliárd forintos (1,3%-os) túlteljesülést mutatott. A magasabb teljesülés nagyrészt a gépjárműilletékből eredt, kisebb részt pedig az eljárási illetékből származó bevételnek volt köszönhető. Ellentétes irányba hatott, hogy a visszterhes ingatlan-átruházási illetékből befolyt bevételek 2018-ban elmaradtak az előirányzattól.
Az illetékbevételek a bázisévhez képest 17,4 milliárd forinttal (10,0%-kal) nőttek. A visszterhes-, és az eljárási illetékek emelkedtek, míg az ajándékozási-, valamint az örökösödési illetékek csökkentek. A bevételek alakulását a 2018-ban bővülő ingatlan- és gépjárműpiac növekedése határozta meg.
Gépjárműadó
2018. évben gépjárműadóból 47,9 milliárd forint pénzforgalmi bevétele származott a költségvetésnek. A nettó adóbevétel az éves előirányzatot (44,0 milliárd forint) 3,9 milliárd forinttal (8,9%-kal) haladta meg. A túlteljesülések hátterében a bázisévi bevétel magasabb alakulása és a gépjárműpiac vártnál nagyobb mértékű fellendülése áll.
Magánszemélyek jogviszony megszűnéséhez kapcsolódó egyes jövedelmeinek különadója
A 2018. évre vonatkozó költségvetési előirányzat 0,9 milliárd forint volt. A közszférában foglalkoztatott munkavállaló részére a munkaviszonya megszűnésével összefüggésben kifizetett, meghatározott korlátok feletti juttatások utáni 75%-os különadóból a központi költségvetésnek 2018-ban 0,4 milliárd forint bevétele keletkezett. A ténylegesen befolyt bevétel 0,5 milliárd forinttal maradt el a törvényi előirányzathoz képest, melynek oka, hogy a 2018. július 20-án elfogadott törvénymódosítás következtében visszamenőleges hatállyal, 2018. január 1-jétől megszűnt az adónem.
Háztartási alkalmazott utáni regisztrációs díj
A háztartási alkalmazott utáni regisztrációs díjból 2018-ban a központi költségvetésnek 24,4 millió forint bevétele származott.
1.4. A költségvetési szervek és fejezeti kezelésű előirányzatok bevételei
A fejezetek - központi költségvetési szervek és szakmai fejezeti kezelésű előirányzatok együtt - 2018. évben 2436,3 milliárd forint nem költségvetési támogatásként kezelt bevételt értek el, mely összeg 1511,6 milliárd forinttal (38,3%-kal) kevesebb az előző évben realizált 3947,8 milliárd forint saját bevételnél. A csökkenésből 1041,3 milliárd forint (68,9%) "módszertani váltás" miatt jelentkezik, mivel 2018-ban a fejezeti kezelésű előirányzatok EU támogatása a központi kezelésű előirányzatok között került megtervezésre és elszámolásra.
Az 1350,0 milliárd forint összegű eredeti bevételi előirányzathoz képest a tényadatok 1086,3 milliárd forintos (80,5%-os) növekedést mutatnak.
Az eredeti előirányzathoz képesti növekedés a működési (578,8 milliárd forint) és felhalmozási célú (343,6 milliárd forint) támogatások államháztartáson belülről előirányzaton, továbbá a működési (46,8 milliárd forint) és felhalmozása (47,5 milliárd forint) célú átvett pénzeszközök előirányzaton, valamint az egyéb (közhatalmi, működési, felhalmozási) bevételek (69,6 milliárd forint) előirányzaton jelentkezett.
1.5. A központi költségvetési szervektől származó befizetések
A központi költségvetési szervektől származó befizetések 2018-ben összesen 30,4 milliárd forint összeget tettek ki. A legjelentősebb tétel a szinte teljesen saját bevételből gazdálkodó intézmények részére meghatározott befizetési kötelezettségek mintegy 29,9 milliárd forintos teljesítése. A háttérintézményi racionalizálásból adódó megtakarítás befizetése jogcímen 0,2 milliárd forint valamint az egyéb befizetések jogcímen 0,3 milliárd forint folyt be.
1.6. Központi Maradványalapba történő befizetések
A Központi Maradványelszámolási Alap (KMA) előirányzat javára az államháztartásról szóló törvény végrehajtásáról szóló 368/2011. (XII. 31.) Korm. rendelet (Ávr.) 150. § (4) és 152. § (2) bekezdései alapján befolyt bevétel összege összesen 199,8 milliárd forint volt, amelyből a 2017. évben keletkezett kötelezettségvállalással nem terhelt maradványok összege 156,0 milliárd forint, a 2017. évben keletkezett kötelezettségvállalással terhelt, azonban meghiúsulás miatt kötelezettségvállalással nem terheltté vált maradványok összege 43,8 milliárd forint volt.
1.7. Elkülönített állami pénzalapok befizetése
Az alapok közül a Nemzeti Kutatási, Fejlesztési és Innovációs Alap 13,2 milliárd forint befizetést teljesített a tudás-intenzív, nagy hozzáadott értéket teremtő és nemzetgazdasági növekedést ösztönző kutatásfejlesztési tevékenységek finanszírozásának elősegítése érdekében.
1.8. Helyi önkormányzatok befizetése
A helyi önkormányzatoktól a 2018. évben összesen 41,7 milliárd forint befizetés érkezett, ami alapvetően három forrásból származott:
- A szolidaritási hozzájárulásból, aminek eredeti előirányzata 39,0 milliárd forint volt. Az önkormányzatok költségvetési törvény szerint figyelembe vett, egy lakosra jutó adóerőképessége alapján számított szolidaritási hozzájárulás összege nem érte el az eredeti előirányzatot, annak összege 33,3 milliárd forint lett. Ez 14,6%-kal marad el az előirányzattól;
- a tárgyévet megelőző évi önkormányzati elszámolások alapján, a kincstári felülvizsgálat, illetve az Állami Számvevőszék (ÁSZ) ellenőrzése során megállapított, jogtalanul igénybe vett és a tárgyévben a központi költségvetésbe visszafizetett hozzájárulások és támogatások összegeiből 8,2 milliárd forint értékben, valamint ezek igénybevételi, kiegészítő és késedelmi kamatából 0,2 milliárd forint értékben, továbbá
az önkormányzatok vállalkozási pótlék, önellenőrzési befizetéseivel összefüggésben a NAV által visszafizetett összeg 22,8 millió forintra teljesült.
1.9. Állami vagyonnal kapcsolatos befizetések
Az állami vagyonnal kapcsolatos tételek alapvetően
- az állami vagyonról szóló 2007. évi CVI. törvény (a továbbiakban: Vtv.),
- a Magyar Fejlesztési Bank Részvénytársaságról szóló 2001. évi XX. törvény (MFB tv.),
- a Nemzeti Földalapról szóló 2010. évi LXXXVII. törvény (Nfatv.),
- az üvegházhatású gázok kibocsátási egységeinek kereskedelméről szóló 2005. évi XV. törvény és az üvegházhatású gázok közösségi kereskedelmi rendszerében és az erőfeszítés-megosztási határozat végrehajtásában történő részvételről szóló 2012. évi CCXVII. törvény
hatálya alá tartozó vagyonnal való gazdálkodásból eredő bevételeket foglalják magukban. Ugyancsak e bevételek között szerepelnek egyes koncessziós szerződésekből származó befizetések.
A 2018. évben hatályos Áht. rendelkezései szerint az állami vagyonnal összefüggő bevételek egy része megjelenik a központi költségvetés mérlegében, más részük (a kölcsön-visszatérülések, kötvénykibocsátás bevétele) finanszírozási bevételnek minősülnek, amelyek nem érintik a központi alrendszer egyenlegét.
Az állami vagyonnal kapcsolatos befizetések tekintetében a 2018. évi központi költségvetés 96,1 milliárd forintot irányzott elő, amelynek nagyságrendjét döntően az üvegházhatású gázok kibocsátási egységek értékesítéséből származó és a társaságokkal kapcsolatos bevételek határozták meg.
A tényleges bevételek jelentős túlteljesüléssel 184,6 milliárd forintot tettek ki, a tényadatok összetétele a tervezetthez hasonló. A 88,5 milliárd forintos többletet döntően az üvegházhatású gázok kibocsátási egységeihez kapcsolódó kvótaár túlteljesülése, továbbá az ingatlanok értékesítéséből származó bevételek növekedése eredményezte.
Az ingatlanokkal és ingóságokkal kapcsolatos bevételek összességében 41,6 milliárd forintot tettek ki, a termőföld értékesítés mellett a Magyar Nemzeti Vagyonkezelő Zrt. (MNV Zrt.) portfóliójába tartozó ingatlanok eladásából származott jelentősebb összegű bevétel.
Az MNV Zrt. ingatlanértékesítési bevételei a tervezett 7,5 milliárd forintot jelentősen meghaladva, 11,9 milliárd forintot tettek ki. A túlteljesülés jellemzően annak eredménye, hogy az érdeklődés elsősorban a kisebb értékű, ugyanakkor frekventált helyen található lakóingatlanok (kisebb számban irodaingatlanok), illetve a Balaton mentén fekvő ingatlanok, különösen az üdülőingatlanok iránt nőtt meg.
Az MNV Zrt. rábízott vagyonában nyilvántartott, állami feladatok ellátásához, költségvetési szervek elhelyezéséhez nem szükséges ingatlanokat az állami vagyonra és az állami vagyonnal való gazdálkodásra vonatkozó jogszabályok alapján értékesíti. A 2018. évben az MNV Zrt. tulajdonosi joggyakorlása alá tartozó vagyonelemek értékesítése főszabályként elektronikus árverés útján történt, ettől eltérő eljárásra csak az önkormányzatokkal kötendő kiemelt fontosságú projektek kapcsán került sor.
A 8,8 milliárd forintos termőföld értékesítési bevételek döntő részben a "Földet a gazdáknak!" Programhoz kapcsolódtak. A tervezetthez képest 8,5 milliárd forint összegű többlet annak eredménye, hogy jóllehet a Program már 2016-ban lezárult, a bevételek egy része - a szerződéskötési eljárás időigénye, illetve a részletfizetési lehetőségek kihasználása miatt - a 2018. évre húzódott át. Az összeg 79,0%-a árverési, 6,0%-a hirdetményi, míg 15,0%-a egyéb eljárási úton történő értékesítésből származott.
A társaságokkal kapcsolatos bevételek 53,6 milliárd forint összege mintegy 18,2 milliárd forinttal kedvezőbben alakult a tervezettnél. E bevétel-típus, így a többletbevétel nagy része az osztalékbevételeknek köszönhető. Az osztalékbevételek tervértéket meghaladó összege a MOL Nyrt. és a Richter Nyrt. részvényekre fizetett osztalék többletéből ered, a többi esetben az osztalékbevétel alapvetően terv szerint teljesült. Az osztalékok meghatározó része - a korábbi évekhez hasonlóan - négy társaságtól származtak:
- MOL Nyrt. : 22,6 milliárd forint,
- Szerencsejáték Zrt.: 13 milliárd forint,
- MVM Zrt. : 7,5 milliárd forint,
- Richter Nyrt.: 3,2 milliárd forint.
Ugyancsak többletbevételt eredményezett az, hogy a magyar állam Gránit Bank Zrt.-ben lévő 49,0%-os részesedése 2018. évben értékesítésre került, melyből 4,5 milliárd forint bevétel érkezett.
A fenti két kategória egyikébe sem sorolt egyéb bevételek esetében a 42,7 milliárd forintos előirányzat jelentősen túlteljesült. A mintegy 210,0%-os túlteljesülést - mely 89,5 milliárd forintot jelentett - döntő többségében az ún. kvótaértékesítés eredményezte. A 2018. évben az üvegházhatású gázok kibocsátási egységeinek értékesítése során összesen 72,2 milliárd forint bevétel érkezett a központi költségvetésbe, amely összeg valamivel több, mint háromszorosa volt a tervezett értéknek. Az eltérés a kvótaértékesítési egység-árfolyam évközi jelentősebb emelkedésével magyarázható.
2018. évben közel 6,1 milliárd forint összegű finanszírozási jellegű bevételt számolt el az állami vagyongazdálkodás keretében az MNV Zrt. E bevétel alapvetően tulajdonosi kölcsön visszatérülésből származott. A visszatérülésként elszámolt összeg döntő része (6,0 milliárd forint) a Grand Tokaj Zrt.-vel és a Kincsem Lóverseny és Lovasstratégia Kft.-vel szemben fennálló tulajdonosi kölcsön apportálásából származott, azok tényleges visszafizetésére nem került sor. Ezzel együtt - az Áht. szabályainak megfelelően - a kölcsönkövetelés apportjával egyező összegű kiadás elszámolása is megtörtént az állami vagyonnal kapcsolatos kiadások között.
1.10. Kamatbevételek
2018-ban a kamatbevételek kedvezőbben alakultak a tervezettnél, a bevételek 120,5 milliárd forintos teljesülése 47,1 milliárd forinttal haladja meg a 73,5 milliárd forintos költségvetési előirányzatot. A túlteljesítés a forintkamat-bevételek 49,6 milliárd forinttal magasabb összegének és a deviza kamatbevételek 2,5 milliárd forinttal alacsonyabb összegének az eredménye.
A forintkamat-bevételek 120,9 milliárd forintot értek el 2018-ban. A 49,6 milliárd forintos előirányzat-túlteljesülés alapvetően a hiányt finanszírozó és adósságmegújító államkötvények kamatelszámolásai bevételi előirányzatnál következett be. Az államkötvények többszöri aukciós értékesítése során keletkező kamatbevétel 61,0 milliárd forinttal haladta meg az előirányzatot. Ez a tervekhez képest megemelt összegű államkötvény-értékesítésnek és csereaukcióknak, valamint a tervezettnél kedvezőbb piaci hozamoknak volt köszönhető. A lakossági kötvényértékesítés felhalmozott kamatbevétele 11,2 milliárd forinttal maradt el a tervezettől az újonnan kibocsátott Prémium Magyar Állampapírok tervtől eltérő kamatperiódusából és kibocsátásából fakadóan. Emelte a bruttó értékesítést és így a kamatbevételeket a tervezett volument lényegesen meghaladó kötvénycsere program, amelynek keretében 588,0 milliárd forint összegben valósult meg rövid futamidejű kötvények hosszabb futamidejű kötvényre történő cseréje. E tranzakcióval csökkenthető az elkövetkező néhány év adósságlejárata, és nő a finanszírozás biztonsága. E műveletek lejárati oldala a kamatkiadást, a kibocsátási oldala a kamatbevételt növelte, amelyek együttes hatása összességében a nettó kamatkiadás kismértékű növekedése volt 2018-ban.
A kamatbevételek között kerül kimutatásra a Kincstári Egységes Számla (KESZ) után az MNB által fizetett kamat. Az MNB ezen a jogcímen a HUFONIA index mértékével megegyező kamatot fizet, ami az előző évhez hasonlóan 2018-ban is nullához közeli negatív kamatot jelentett.
A kincstárjegyek kamatbevételei 0,1 milliárd forinttal haladták meg az előirányzatot. Együttesen a repóügyletek 0,3 milliárd forintos elmaradásával, további 0,2 milliárd forint mértékű elmaradást eredményeztek a kamatbevételi előirányzathoz képest.
A devizában jelentkező kamatbevételek összege az előirányzathoz képest lényegesen alacsonyabb lett. Eredetileg 2,2 milliárd forint összegű kamatbevétel került megtervezésre, ehhez képest azonban ténylegesen negatív kamatbevétel keletkezett 0,4 milliárd forint értékben. Ennek oka, hogy a tervezés során figyelembevett euro-piaci kamatszintek az év során tovább csökkentek, valamint az MNB-nél elhelyezett betétekre negatív kamatláb került felszámításra.
A Prémium Euró Magyar Állampapír (P€MÁP) kamatbevételi összege 0,3 milliárd forint volt, ami a tervezettet 0,1 milliárd forinttal haladta meg a nem tervezett visszaváltások során elszámolt árfolyamnyereség következtében. Az egyéb devizaműveletek kamatelszámolásainak bevételei és a mark-to-market betétműveletek utáni kamatok negatív bevételei 0,7 milliárd forintot tettek ki.
1.11. Egyéb bevételek
Az egyéb bevételek 2018. évi 19,7 milliárd forintos teljesítése közel háromszorosa volt a törvényi előirányzatnak (az előirányzat 274,1%-a). Ezen belül jelentős tételt képviselt a jogtalanul igénybevett lakástámogatások behajtásából, visszafizetéséből eredő összesen 5,6 milliárd forint, az Ávr. 23. § (4) bekezdése értelmében a rendkívüli kormányzati intézkedésekre szolgáló tartalék terhére elszámolási és visszatérítési kötelezettséggel nyújtandó támogatásokból visszafizetett 1,8 milliárd forint, valamint a kezesség-visszatérülés címén befolyt 4,8 milliárd forint.
1.12. Uniós programok bevételei
A 2018-as évtől kezdődően az Európai Bizottságtól érkező bevételek - a korábbi gyakorlattól eltérően - nem fejezeti kezelésű előirányzatokon, hanem központosítva, a XLII. A költségvetés közvetlen bevételei és kiadásai fejezet 6. címe alatt kerülnek bemutatásra.
A kohéziós operatív programok (2-9. alcímek) bevételeit főszabály szerint az Európai Bizottság (a továbbiakban: Bizottság) által a tárgyévben átutalt összegek adják. A kohéziós operatív programok 2018-ra tervezett összes bevétele 1687,1 milliárd forint volt, amely a nyolc előirányzaton 887,5 milliárd forint összegben teljesült. Az alulteljesülés hátterében az áll, hogy a tervezett kifizetések rendkívül ambiciózusak voltak, a projektek megvalósulása ehhez képest elnyújtottabb, a kohéziós programok kifizetései összességében elmaradtak a tervezettől és a kifizetések a vártnál nagyobb részben takartak előleg kifizetéseket, így a bevételek egy része a későbbi években fog jelentkezni. A projektek előrehaladását többek között lassítják a korlátozott építőipari kapacitások, és a részben ebből adódó áremelkedések.
A Vidékfejlesztési Program 2018. évben tervezett bevétele 208,5 milliárd forint volt, amely 133,1 milliárd forint értékben teljesült. Ennek oka az, hogy a projektmegvalósítások tervezettnél lassabban haladnak, ezért a tárgyévi kiadások és velük arányosan a bevételek is elmaradtak a tervezettől.
A Magyar Halgazdálkodási OP (MAHOP) 2018. évre tervezett bevétel 3,5 milliárd forint volt, azonban a tárgyévben bizottsági lehívás nem történt. Ennek oka, hogy a MAHOP kifizetések a vártnál lassabban haladnak, ezen felül a kifizetések egy része előleg, amely után uniós bevétel nem számolható el. Az év utolsó negyedévében jelentős összegű kifizetések történtek, azonban az ezekhez kapcsolódó uniós átutalás és bevétel elszámolás átcsúszott a 2019. évre.
Az Európai Területi Együttműködés (ETE) célkitűzés fő célja, hogy elősegítse az Európai Unió erőteljesebb integrációját, harmonikus és kiegyensúlyozott fejlődését. A 2014-2020-as időszaki ETE támogatások esetében az uniós források nem jelennek meg a költségvetésben.
Az egyéb uniós támogatások közé öt fejezet támogatási jogcímei tartoznak. A legjelentősebb programok: az EGT/Norvég Alap, a Svájci Alap, az Európai Hálózatfinanszírozási Eszköz (CEF), a Belügyi Alapok, valamint a költségvetésen kívüli Európai Mezőgazdasági Garancia Alap belpiaci támogatásait kiegészítő nemzeti támogatások (pl. Igyál tejet, Iskolagyümölcs program, Méhészeti Nemzeti Program, Egyes speciális szövetkezések támogatása stb.). Az előirányzatok együttes uniós bevétele 33,1 milliárd forint volt, mely többszörösen felülmúlja a tervezett 12,1 milliárd forintot.
1.13. Egyéb uniós bevételek
Az Egyéb uniós bevételek cím három tételből tevődött össze.
Ezen a jogcímen található az Európai Unió költségvetési bevételeit képező, Magyarországon beszedett ún. tradicionális saját források (vámok) azon része, amely a beszedési költségek fedezeteként a hazai költségvetést illeti (az Európai Unió saját forrásainak rendszeréről szóló 2014/335/EU Euratom tanácsi határozat szerint a teljes bevétel 20%-a), valamint az uniós támogatások utólagos megtérülése:
- Vámbeszedési költség megtérítése alcímen a központi költségvetésnek a 2018. évben 15,7 milliárd forint nemzeti vám bevétele keletkezett. A 2018. évi költségvetés ezen a címen 12,6 milliárd forintos előirányzatot tartalmazott, melyet a tényleges bevétel 3,1 milliárd forinttal (24,6%-kal) múlt felül. A magasabb teljesülés oka a vámérték, illetve az átlagvám szintjének felülteljesülése.
- Uniós támogatások utólagos megtérülése: Az előirányzat tervezett bevétele 63,2 milliárd forint volt, teljesült bevétel 260,9 milliárd forint, amely a következő tételekből tevődik össze:
- ÚMFT-hez kapcsolódó megtérülés 260,8 milliárd forint,
- Deviza utóterhelés átvezetéséhez kapcsolódó bevétel 0,1 milliárd forint.
2. Kiadási előirányzatok
2.1. Egyedi és normatív támogatások
Az egyedi és normatív támogatások összege a 2018. évben összesen 383,1 milliárd forintot tett ki, amely 2,8%-kal haladta meg a törvényi előirányzatot. A kifizetések meghatározó tételeit a személyszállítási közszolgáltatások, valamint a vasúti pályahálózatok működtetésének költségtérítése képezte, amely támogatások célja az érintett társaságok közszolgáltatási tevékenységei bevételekkel nem fedezett, indokolt költségeinek megtérítése volt.
A helyközi személyszállítási közszolgáltatásokkal összefüggő költségtérítések kiadási előirányzatain 240,2 milliárd forint teljesítés történt, amely 9,9 milliárd forinttal haladta meg a 230,3 milliárd forint törvényi előirányzatot. Az eltérés oka, hogy a kormány az autóbusszal végzett személyszállítási közszolgáltatások finanszírozásának időszerű feladatairól szóló 1698/2018. (XII. 17.) határozatának 1. pontjában az autóbuszos személyszállítási közszolgáltatások ellátását biztosító regionális közlekedési központok, valamint a Volánbusz Zrt. finanszírozására 10,0 milliárd forint többletforrás biztosítását rendelte el. A többlethatást 0,1 milliárd forinttal csökkentette a szociális hozzájárulási adó 0,5 százalékpontos csökkentése hatásának átvezetése.
A vasúti pályahálózat működtetésének költségtérítése kiadási előirányzatán 93,0 milliárd forint teljesítés történt. Ez - a szociális hozzájárulási adó 0,5 százalékpontos csökkentése hatásának átvezetése miatt - 0,1 milliárd forinttal kevesebb a 93,1 milliárd forint törvényi előirányzatnál. Az összegből a MÁV Zrt. 86,5 milliárd forint, míg a GYSEV Zrt. 6,5 milliárd forint kifizetésben részesült.
Az Elővárosi közösségi közlekedés támogatása 13,4 milliárd forintos törvényi előirányzata a tervezett szinten teljesült, és az e közszolgáltatás végzésével kapcsolatban felmerülő, bevételekkel nem fedezett költségekhez nyújtandó költségtérítés, valamint a szolgáltatási díj összegét tartalmazta. Az összegből a MÁV-HÉV Zrt. 8,8 milliárd forinttal, míg a Volánbusz Zrt. 4,6 milliárd forinttal részesült.
Az Eximbank Zrt. kamatkiegyenlítése keretében került sor a hitelintézet által a magyar áruk és szolgáltatások exportjának, illetve versenyképességük javításának finanszírozása érdekében nyújtott hitelek kamatának, és az e célokat szolgáló finanszírozási költségek különbözetének támogatására. A 2018. évi törvényi előirányzat (25,6 milliárd forint) a kormány 1668/2018. (XII. 10.) számú határozata alapján - a tervezettnél magasabb mértékű igénylés folytán -500 millió forinttal túlléphetővé vált. A teljesítés összege év végére 26,1 milliárd forintot tett ki.
A mecseki uránbányászok baleseti járadékainak és egyéb kártérítési kötelezettségeinek átvállalása előirányzat terhére került sor az uránbányászatban az 1993. év végéig keletkezett, hivatkozott fizetési kötelezettségek központi költségvetés általi megtérítésére. Az összesen 0,2 milliárd forint összegű kifizetést a Bányavagyon-hasznosító Nonprofit Közhasznú Kft. teljesítette a jogosultak részére.
2.2. Közszolgálati műsorszolgáltatás támogatása
A médiaszolgáltatásokról és a tömegkommunikációról szóló 2010. évi CLXXXV. törvény 4. mellékletében foglaltak alapján a közszolgálati hozzájárulás előirányzatának 2018. évi összege 71,3 milliárd forintban került megtervezésre, és az előirányzat ugyanezen összegben teljesült az év során.
2.3. Szociálpolitikai menetdíj-támogatás
Az állam a szociálpolitikai menetdíj-támogatás útján ellentételezi a közúti, valamint a vasúti személyszállító társaságok számára az állam által a személyszállítási közszolgáltatások keretei között biztosított egyes utazási kedvezmények igénybevételével megvalósuló utazások miatti árbevétel-elmaradást. A 2018. évi törvényi előirányzat 97,5 milliárd forint volt, az éves teljesítés 90,4 milliárd forintot tett ki. Ez 7,3%-os elmaradást jelent az előirányzathoz képest, mely az alacsonyabb mértékű szolgáltatói igénybevétellel magyarázható.
2.4. Lakástámogatások
A lakásépítési támogatások előirányzata 2018. évben 236,3 milliárd forintot tett ki. A teljesülés 193,2 milliárd forint volt, ami 18,2%-os elmaradást jelentett az előirányzathoz képest, a 2017. évinél viszont 4,6%-kal volt több. Az eltérés a mérlegsoron belül több jogcímcsoport együttes változására vezethető vissza. A teljesítés alakulásának főbb tényezői a következők:
- A családi otthonteremtési kedvezményre és az adó-visszatérítési támogatásra 2018. évben 96,9 milliárd forint kiadása keletkezett a költségvetésnek, mely 5%-kal magasabb a 2017. évhez képest.
- A lakás-takarékpénztári megtakarítások támogatása jogcím 16%-kal emelkedett, 71,4 milliárd forintot tett ki.
- A lakástámogatások mérlegsoron teljesült kiadás 7,8%-át a 2009. július 1-jétől megszüntetett, kiegészítő kamattámogatású és a jelzáloglevéllel finanszírozott lakáshitelekre nyújtott kamattámogatás tette ki 15,0 milliárd forint összegben. Ez a 2017. évi kifizetésekhez képest 25,7%-os csökkenést jelent, amit az átlagos kamattámogatás és a hitelállomány csökkenése együttesen okozott.
- Az egyéb kamattámogatás jogcímen a 2018. évi költségvetési kiadás 3,1 milliárd forint volt, mely az előző évihez képest 1,3%-os csökkenést jelent. Ezen a jogcímen jelennek meg a társasházi, lakásszövetkezeti épületek közös részeinek felújítására felvett hitelek kamattámogatásai.
- Az előirányzat fontosabb részei még az otthonteremtési kamattámogatás 2,3 milliárd forint kiadással, ami a tavaly évihez képest 38,5%-kal emelkedett, továbbá, új támogatási formaként megemlítendő még a három és többgyermekesek jelzáloghitel-tartozásának csökkentése, amely intézkedéssel kapcsolatos kiadás az első évben 1,6 milliárd forintot tett ki.
2.5. Nemzeti Család- és Szociálpolitikai Alap
A Nemzeti Család- és Szociálpolitikai Alap tartalmazza a korhatár előtti ellátásokat valamint a családi támogatásokat, a jövedelempótló és jövedelemkiegészítő szociális támogatásokat, továbbá a különféle jogcímen adott térítések költségvetési forrásait.
Az Alapból finanszírozott ellátások mindösszesen 642,8 milliárd forinton, 99,7%-ra teljesültek.
2.1. Családi támogatások
A családi támogatások körébe a családi pótlék, az anyasági támogatás, a gyermekgondozást segítő ellátás, a gyermeknevelési támogatás, a gyermekek születésével kapcsolatos szabadság megtérítése, a pénzbeli és természetbeni gyermekvédelmi támogatások, az életkezdési támogatás, valamint a gyermektartásdíjak megelőlegezésének költségvetési forrása tartozik.
A családi pótlék 312,6 milliárd forintos előirányzata 99,3%-ra, az anyasági támogatás 98,9%-ra, a gyermekgondozást segítő ellátás 96,1%-ra, a gyermeknevelési támogatás 102,0%-ra teljesült. A gyermekgondozást segítő ellátás előirányzatának alulteljesülését az okozta, hogy a kisgyermeket nevelők közül többen szereznek jogosultságot a biztosítási alapú, és a gyermekgondozást segítő ellátásnál magasabb összegű gyermekgondozási díjra, ezért a gyermekgondozást segítő ellátásban részesülők száma a vártnál alacsonyabban alakult.
A gyermekek születésével kapcsolatos szabadság megtérítése előirányzat 104,5%-ra, az életkezdési támogatás előirányzata 103,2%-ra teljesült.
A pénzbeli és természetbeni gyermekvédelmi támogatások előirányzata tartalmazza a rendszeres gyermekvédelmi kedvezményhez kapcsolódó természetbeni támogatás, valamint pénzbeli ellátás és pótlék fedezetét, mely 92,4%-ra teljesült. Ennek oka a kedvezményre jogosult gyermekek számának csökkenése. A rendszeres gyermekvédelmi kedvezményhez hasonlóan csökkent a gyermektartásdíjak megelőlegezésében részesülők száma is, amelynek következtében a gyermektartásdíjak megelőlegezése előirányzat 89,2%-ra teljesült.
2.2 Korhatár alatti ellátások
Az előirányzat tartalmazza a szolgálati járandósággal és a korhatár előtti ellátással, balettművészeti életjáradékkal kapcsolatos ellátásokat. A szolgálati járandóság 99,5%-ra teljesült. A korhatár előtti ellátás, balettművészeti életjáradék előirányzat 121,9%-ra teljesült, amelynek oka, hogy a korhatár előtti ellátást a vártnál nagyobb számban vették igénybe a 2014. december 31-e előtt korkedvezményre jogosultságot szerzett személyek, akik még új belépőként jelenthetnek meg az alapvetően kifutó jellegű ellátásban.
2.3. Jövedelempótló és jövedelemkiegészítő szociális támogatások
A jövedelempótló és jövedelemkiegészítő szociális támogatások elsősorban a fogyatékossághoz, illetve a politikai okból elítéltek rehabilitációjához, egyes bányászellátásokhoz kapcsolódnak. Ide tartozik még a saját jogú nyugdíj kiegészítésére szolgáló rendszeres pénzbeli ellátásként folyósított házastársi pótlék és házastársi jövedelempótlék is, valamint egyéb szociális támogatások, mint pl. a cukorbetegek támogatása. Az ellátások egy része "kifutó jellegű", amelyek esetében új megállapításra már évek óta nem került sor.
Az alcím kiadásai között jelenik meg a "Járási szociális feladatok ellátása" előirányzat, amely az ápolási díj és az időskorúak járadéka mellett a foglalkoztatást helyettesítő támogatás, valamint az egészségkárosodási és gyermekfelügyeleti támogatás forrását is tartalmazza.
Az ellátások finanszírozására előirányzott 124,6 milliárd forint összességében 98,1%-ra teljesült, 122,2 milliárd forint költségvetési forrást igényelt. Ennek oka, hogy a kifutó jellegű ellátások egy részénél a létszámcsökkenés a vártnál nagyobb ütemű volt, másrészt a "Járási szociális feladatok ellátása" előirányzatból kifizetett foglalkoztatást helyettesítő támogatásban részesülők létszáma a kedvező munkaerőpiaci folyamatoknak köszönhetően csökkent. A politikai rehabilitációs és más nyugdíj-kiegészítések előirányzat 113,8%-ra teljesült.
2.4. Különféle jogcímen adott térítések
A különféle jogcímen adott térítések körébe tartozó előirányzatok közül az egészségügyi feladatok ellátásával kapcsolatos hozzájárulás, illetve a folyósított ellátások utáni térítés a tervezett szinten teljesült. A közgyógyellátás esetében a tervezett előirányzat 113,7%-ra teljesült. Ennek oka, hogy a jogosultak száma 2017-hez képest növekedett.
2.5. Nemzeti Család- és Szociálpolitikai Alap kiadásaival összefüggő visszatérülések
A Nemzeti Család- és Szociálpolitikai Alap kiadásaival összefüggésben összesen 1,7 milliárd forint bevétel keletkezett, egyrészt a jogosulatlanul igénybevett támogatások, másrészt a "Gyermektartásdíjak megelőlegezése" előirányzat esetében a megelőlegezett összegek visszafizetése kapcsán.
2.6. A központi költségvetési szervek és fejezeti kezelésű előirányzatok kiadásai
2.6.1. A központi költségvetési szervek és a szakmai fejezeti kezelésű előirányzatok kiadásainak alakulása
A központi költségvetési szervek és a fejezetek által kezelt egyes jogcímeken megjelenő programok, feladatok, támogatások 2018. évi - támogatással és saját bevétellel fedezett - kiadása 10 418,5 milliárd forintra teljesült, amely összeg 160,4 milliárd forinttal, mintegy 1,6%-kal több a 2017. évi teljesítésnél.
Az eredeti kiadási előirányzat 9086,7 milliárd forint volt, mely megegyezik, a törvényi módosított előirányzattal. Ehhez képest az évsorán - jogszabályi felhatalmazás alapján - a következők miatt változtak az előirányzatok: tárgyévi többletbevétel, a megelőző évek kötelezettségvállalással terhelt előirányzat maradványának igénybevétele, egyéb költségvetési mérlegsorokról (központi előirányzatok, céltartalékok, Rendkívüli kormányzati intézkedések (RKI) tartalék, Országvédelmi Alap (OVA), KMA) történő évközi átcsoportosítás, a költségvetési törvény felhatalmazása alapján egyes előirányzatok előirányzat-módosítás nélküli teljesülése. Mindezek következtében az év végi módosított előirányzat 4479,4 milliárd forinttal haladta meg az Országgyűlés által jóváhagyott mértéket. Ez 506,7 milliárd forint kormány (pl. tartalékok átcsoportosításával) által végrehajtott növekedésből, 1571,2 milliárd forint pedig fejezeti hatáskörben (pl. maradvány előirányzatosítás, fejezeti kezelésű előirányzatok intézményhez, ill. más fejezethez történő átcsoportosítása) 2401,5 milliárd forint intézményi hatáskörben (pl. maradvány, többletbevételek előirányzatosítása,) végrehajtott előirányzat-növelésből adódott.
Ugyanakkor az év végi aktuális kiadási előirányzathoz viszonyított teljesülés/kifizetés 76,8% volt.
A központi költségvetési szervek és a szakmai fejezeti kezelésű előirányzatok 2018. évi kiadásainak alakulását a következő táblázat mutatja be:
milliárd forint

2.6.2. Költségvetési szervek támogatása
A központi költségvetési szervek és a fejezeti kezelésű előirányzatok 2018. évi eredeti támogatása 7736,7 milliárd forint, a törvényi módosított előirányzat 7736,7 milliárd forint volt, ami az év folyamán összesen 504,4 milliárd forinttal, 6,5%-kal nőtt. A kormány felhatalmazáson alapuló hatáskörében összesen 506,7 milliárd forinttal növelte az eredeti előirányzatot, a fejezeti hatáskörben végrehajtott módosítások 2,3 milliárd forinttal csökkentették az eredeti támogatást.
Az RKI előirányzat módosított 111,3 milliárd forintos előirányzatából a kormány döntései alapján a központi költségvetési szervek és fejezeti kezelésű előirányzatoknál összesen 99,6 milliárd forintot (az RKI 89,4%-a) használtak fel.
Az RKI előirányzatból jelentősebb támogatást a következő célok kaptak:
- a hazai építőipari vállalkozások hatékonyságnövelésének támogatása 16,0 milliárd forint;
- a büntetőeljárásról szóló 2017. évi XC. törvény elfogadásához kapcsolódó feladatok végrehajtása 15,7 milliárd forint;
- a nyugdíjasok részére juttatott 10 ezer forint értékű Erzsébet utalvány részbeni forrása 8,7 milliárd forint;
- a Felvidéki és Vajdasági gazdaságfejlesztési stratégia támogatását és gazdaságfejlesztési program megvalósítása 7,0 milliárd forint;
- a Családpolitikai nemzeti konzultáció lebonyolítása 6,0 milliárd forint;
- az óvodafejlesztési program támogatása 5,0 milliárd forint;
- az Európai Unió Afrikából kiinduló migráció kiváltó tényezőinek kezelésére létrehozott Szükséghelyzeti Vagyonkezelő Alapjához való magyar hozzájárulás 2,8 milliárd forint.
A 2018. évi céltartalékok előirányzatból bérkompenzációra 7,7 milliárd forint került kifizetésre, az ágazati életpályákra 95,2 milliárd forint (ezen belül a fegyveres és rendvédelmi életpálya 11,9 milliárd forint, a Nemzeti Adó- és Vámhivatal életpálya kiadásaira 21,8 milliárd forint, igazságügyi és ügyészségi alkalmazottak többlet személyi juttatásaira 14,4 milliárd forint, az országgyűlés hivatala illetménytöbbletére 4,6 milliárd forint, a vízügyi igazgatási szervek bérfejlesztésére 4,1 milliárd forint, minimálbér és garantált bérminimum emelés támogatására 35,4 milliárd forint) került felhasználásra, a különféle kifizetések előirányzatból 0,6 milliárd forint átcsoportosítása történt a költségvetési szervek részére.
A Nemzeti Adó- és Vámhivatal részére a költségvetési törvény előírása alapján fizethető jutalom 17,9 milliárd forinttal növelte a jóváhagyott előirányzatot. A Turisztikai fejlesztési célelőirányzat megemelése 6,5 milliárd forinttal növelte az eredeti előirányzatot. A KMA-ból 148,6 milliárd forint átcsoportosítása növelte a támogatást. Államháztartáson belül egyéb központi előirányzatról, helyi önkormányzatok támogatásai fejezettől, vagyon fejezettől történt átcsoportosítások összesen 88,2 milliárd forinttal növelték, a fejezeti hatáskörű módosítás 2,3 milliárd forinttal csökkentette, az OVA-ból történő átcsoportosítás 42,0 milliárd forinttal növelte a központi költségvetési fejezetek támogatási előirányzatait.
A támogatási előirányzatok változásainak összefoglalása:
milliárd forint

A módosítási kötelezettség nélkül túlléphető törvénysorokon összesen 206,1 milliárd forinttal teljesültek túl az előirányzatok. A túllépések tételei a következők:

2.6.3. Szakmai fejezeti kezelésű előirányzatok uniós előirányzatai
2018-ban az uniós előirányzatokból a kedvezményezettek felé összesen 1892,4 milliárd forint kiadás történt, amely 679,0 milliárd forinttal marad el a 2017. évi kiadástól (2571,4 milliárd forint) és a törvényi előirányzathoz képest 78,3%-os teljesítést jelent.
Az elmaradás elsődleges oka, hogy a 2018. évi törvény tervezésekor még nem voltak ismertek a 2017. évi fejlesztéspolitikai célok, amelyek 2017. év vonatkozásában jelentősen nagyobb kifizetést irányoztak elő. Ez az uniós előlegfizetések 2018-ról 2017-re történő előrehozását jelentette és így érdemi kihatással volt a 2018. évre, aminek következtében az uniós kiadások a törvényi szint alatt teljesültek. Ehhez hozzájárult továbbá, hogy ősszel szigorításra kerültek az előleg szabályok. Egyúttal a kedvezményezettek jellemzően a korábbi években nekik kifizetett jelentős mértékű előlegekből finanszírozták a projektek végrehajtásához kapcsolódó kifizetéseik nagy részét, mely az adott évben - a keletkező számláknak köszönhetően - csak bevételt eredményez a költségvetés számára, kiadást nem.
A jelentős mértékű kiadáshoz a Széchenyi 2020 programok közül a kohéziós politikai operatív programok támogatásai járultak hozzá legnagyobb mértékben, melyek keretében 1509,0 milliárd forint kifizetés történt, ami a teljes kiadás 79,7%-a. A fennmaradó 383.4 milliárd forintnyi kiadáson a többi kisebb-nagyobb uniós program osztozik (vidékfejlesztés, halászat, CEF, Belügyi Alapok, svájci, norvég mechanizmusok, stb.).
A Széchenyi 2020 Operatív Programok közül a legjobban teljesítettek: Integrált Közlekedésfejlesztési Operatív Program, Terület- és Településfejlesztési Operatív Program, Emberi Erőforrás Fejlesztési Operatív Program és a Gazdaságfejlesztési és Innovációs Operatív Program. A támogatási vagy szállítói előleg kifizetések továbbra is jelentős összeget képviselnek, a 2017. évhez hasonlóan a számla alapú kifizetések aránya 2018-ban is viszonylag alacsony volt.
Az Európai Területi Együttműködési programok pénzügyi forrásainak túlnyomó többsége a határ menti programok keretében használható fel. Az ETE programok 2018. évi kiadása 22,0 milliárd forint.
Az agrár- és halászati támogatások tervezett kiadása 259,9 milliárd forint volt, amely 181,6 milliárd forint összegben teljesül. A Vidékfejlesztési Program keretében
176.5 milliárd forint támogatás került kifizetésre, amely szignifikáns mértékben elmaradt a tervezett 255,3 milliárd forinttól. A Magyar Halgazdálkodási Operatív Program 2018. évben teljesült kiadása 1,4 milliárd forint volt, amely jelentős mértékben elmaradt a tervezett 4,5 milliárd forinttól. Az elmaradások fő oka a pályázatértékelői rendszer nehézkes indulása, valamint a kifizető ügynökség év eleji fenntartó váltása volt.
Az egyéb európai uniós támogatások 2018. évi együttes eredeti kiadási előirányzata 167,0 milliárd forint, a teljesült kiadás összege pedig 130,7 milliárd forint volt. A CEF 2014. évtől új finanszírozási lehetőségként jelent meg a költségvetésben, melynek célja közös érdekű projektek megvalósítása a közlekedési, a távközlési és az energetikai ágazatban. A Magyarország számára a CEF-ben közlekedésfejlesztésre rendelkezésére álló 1,1 milliárd euró összegű, ún. nemzeti borítékból 2015-2018 években a teljes keret (34 projekt, 337 milliárd forint) lekötésre került. 2018. évben többségében szállítói jórészt előleg, kisrészt számla alapú kifizetésekre került sor. Az összes kifizetés 98,7 milliárd forint volt, ami az eredetileg előirányzott 138,7 milliárd forintos kiadáshoz képest közel 30%-os alulteljesülést jelent még a kormány által jóváhagyott költségnövekmények figyelembe vételével együtt is (GSM-R távközlési hálózat kiépítése II. ütem, CROCODILE 2.0_HU).
Ennek oka legfőképpen a projektek teljesítésének csúszása, mely alapján az uniós támogatási megállapodások és a hazai támogatási szerződések módosítása vált szükségessé.
2019 márciusában benyújtásra kerültek a 2018. évi előrehaladásról szóló éves jelentések, melyeket az uniós végrehajtó ügynökség, az INEA várhatóan a nyár folyamán fogad el.
2.6.4. A költségvetési maradványok alakulása
A központi költségvetési szerveknél, köztestületeknél és a fejezeti kezelésű előirányzatoknál együtt a gazdálkodás során a tárgyévi és az előző évi igénybe nem vett költségvetési maradvány mindösszesen 3212,4 milliárd forint összegben keletkezett, ami 469,3 milliárd forinttal (17,1%-kal) magasabb, mint a 2017. évi (2743,1 milliárd forint).
Az alaptevékenység 2018. évi költségvetési maradványának megoszlása a következő: milliárd forintban

Jelentősebb összegű maradvány az előző évekhez hasonlóan a kiterjedt intézményhálózattal, illetve szakmai programok finanszírozásával megbízott fejezeteknél képződött (Miniszterelnökség 143,2 milliárd forint, BM 347,9 milliárd forint, PM 110,5 milliárd forint, ITM 414,9 milliárd forint, Uniós Fejlesztések 871,6 milliárd forint, EMMI 890,6 milliárd forint), amelynek 97,4%-a kötelezettségvállalással terhelt.
2.6.5. A bevételek és kiadások kormányzati funkciónkénti alakulása
A törvényhozó és végrehajtó szervek körébe az Országgyűlés és egyéb államhatalmi szervek, a minisztériumok igazgatása, egyéb központi igazgatási szervek, a hozzájuk kötődő ágazati és célelőirányzatok tartoznak. Kiadásuk 2018-ban 873,3 milliárd forint volt, az előző évi teljesítéssel (872,8 milliárd forint) gyakorlatilag megegyezően alakult.
A törvényhozó szervek kiadásai 63,6 milliárd forintot tesznek ki, az előző évihez képest minimális mértékben (1,6%-kal) csökkentek. A gyakorlatilag változatlan felhasználás a 2018. évi országgyűlési képviselőválasztáshoz kapcsolódóan a Nemzeti Választási Irodánál és az OGY fejezeti kezelésű előirányzatán jelentkező többlet, valamint a Steindl Imre Program kiadásai és a maradvány-felhasználás alakulása csökkenésének egyenlegeként alakult ki.
A végrehajtó szervek összesített, 809,7 milliárd forintos költségvetésének közel egyharmadát (31,1%) a minisztériumok igazgatási címei adják (251,4 milliárd forint), míg 49,7%-át az irányításuk alá tartozó, igazgatási típusú feladatokat ellátó intézmények jelentik (402,7 milliárd forint). A minisztériumok egyes szakmai fejezeti kezelésű előirányzatai 155,6 milliárd forintos kiadásukkal 19,2%-ot tesznek ki.
A végrehajtó szervek összes kiadása az előző évhez viszonyítva gyakorlatilag nem változott (mindössze 0,2%-kal nőtt), ez azonban számos csökkenő és növekvő kiadás teljesülésének hatásaként alakult ki. Jelentős növekedés történt a minisztériumok irányítása alá tartozó intézményeknél, főként a Fővárosi, megyei kormányhivatalok és járási kormányhivatalok, a Közbeszerzési és Ellátási Főigazgatóság, a Kormányzati Informatikai Fejlesztési Ügynökség esetében; míg a fejezeti kezelésű célelőirányzatoknál nagymértékű csökkenés jelent meg a Közigazgatás- és Közszolgáltatás Fejlesztési Operatív Program (KÖFOP), valamint az Állami költségvetési kedvezményezettek sajáterő támogatása előirányzatokon.
A pénzügyi és költségvetési tevékenységek és szolgáltatások kiadása a 2018. évben 363,3 milliárd forint, bevétele 52,8 milliárd forint, támogatása 312,3 milliárd forint volt. A 2018. évi kiadási teljesítés 19,5%-kal, a támogatási teljesítés 21,0%-kal nőtt, a bevételi teljesítés 23,6%-kal csökkent a 2017. évi teljesítéshez képest.
A kiadási teljesítés alakulását több tényező is befolyásolta: növekedett a Magyar Államkincstár kiadása 16,1 milliárd forinttal, mely nagyrészt a 2018. évben a nyugdíjasok részére biztosított egyénenként 10 ezer forint összegű Erzsébet utalványhoz kapcsolódó kiadásokból adódott. A Nemzeti Adó- és Vámhivatal kiadásai 35,6 milliárd forinttal növekedtek, többek közt az életpálya modell okozta növekedésre tekintettel, valamint 10,9 milliárd forinttal nőtt az EU Önerő Alap előirányzat kiadása is.
A bevételi teljesítés csökkenését többek között a Magyar Államkincstár bevételeinek 15,0 milliárd forinttal való csökkenése okozza, mely részben az értékpapír-forgalmazásból származó bevétel teljesüléséhez köthető, az értékpapír-forgalmazási jutalék mértékének 2018. évi csökkenése következtében.
A külügyi terület 2018. évi kiadása 126,5 milliárd forint, az előző évinél 15,8%-kal magasabb szinten teljesült. Bevételi teljesítése 11,3 milliárd forint, ami 2,6 milliárd forinttal (18,5%-kal) alacsonyabb, mint az előző évi. A támogatás 116,2 milliárd forint, ami 24,9%-kal magasabb az előző évihez képest.
2018-ban a kiadások teljesítésének 86,1%-át a Külképviseletek igazgatása cím bázis előirányzatai és az új külképviseletek nyitása, a konzuli hálózat megerősítése, a külképviseletekhez kapcsolódó beruházások (pl.: ingatlan beruházás) valamint az Európai Unió és a különböző nemzetközi szervezetek felé vállalt kötelezettségeink teljesítése tették ki.
A támogatás emelkedését a külképviseleti hálózat bővítésével (több állomáshely nyitása, illetve újranyitása) összefüggő többletforrás (15,2%-os növelés) biztosítása, valamint a nemzetközi tagdíjaknak és az európai uniós befizetéseknek az EU általi emelése miatti támogatásnövelés (72,5%) indokolta.
Az alapkutatáshoz sorolt előirányzatok kiadásai 2018-ben 72,6 milliárd forintra, a támogatások 36,6 milliárd forintra teljesültek.
Az e funkciócsoporthoz tartozó támogatások elsősorban a Magyar Tudományos Akadémia (intézményei és programjai), a Nemzeti Kutatási, Fejlesztési és Innovációs Hivatal (intézménye és programjai), az Igazságügyi Minisztérium irányítása alá tartozó kutatóintézetek, a Magyar Művészeti Akadémia Művészetelméleti és Módszertani Kutatóintézete, a KSH Népességtudományi Kutató Intézet, a Külgazdasági és Külügyminisztérium irányítása alá tartozó, kutatással foglalkozó közhasznú és egyéb civil szervezetek tevékenységének finanszírozására szolgáltak.
Az egyéb általános közösségi szolgáltatások 2018. évi kiadása 40,5 milliárd forint volt, ami a 2017. évi teljesítéshez (41,7 milliárd forint) képest 2,9%-os csökkenést mutat. A bevétel 0,3 milliárd forinttal (18,3%-kal), a támogatás 11,0 milliárd forinttal (29,9%-kal) emelkedett.
A kiadási előirányzat csökkenését a Miniszterelnökség év közben jelentkező többletfeladatok kiadásai előirányzatának 2,1 milliárd forintos, valamint a Központi Statisztikai Hivatal (a továbbiakban: KSH) 1,6 milliárd forint összegű csökkenése okozta, melynek egy részét kompenzálta a Miniszterelnöki Kabinetiroda "Kormányzati kommunikációval és konzultációval kapcsolatos feladatok" kiadási előirányzatának növekedése 1,6 milliárd forinttal.
A kiadási teljesítés 69,7%-át a "Kormányzati kommunikációval és konzultációval kapcsolatos feladatok" előirányzat teszi ki, míg 24,1%-át a KSH kiadásai.
A KSH feladatellátásánál a kiadási teljesítés 14,1%-kal csökkent, míg a bevétel 79,9%-kal növekedett a 2017. évhez képest. Az 1,6 milliárd forintos kiadás csökkenésből a személyi juttatások és munkaadókat terhelő járulékok és szociális hozzájárulásai adó csökkenése együtt 0,8 milliárd forintot tett ki (a foglalkoztatottak személyi juttatásai elsősorban az átlagos statisztikai állományi létszám csökkenése miatt 3,7%-kal, míg a külső személyi juttatások az összeírások végrehajtásával összefüggő szervezeti változások miatt 53,3%-kal csökkentek).
A KSH 0,6 milliárd forintos 2017. évhez viszonyított bevétel növekedésének legfőbb oka a belföldi és az európai uniós pályázati forrásokból realizált bevételek növekedése.
A védelmi funkcióba tartozó költségvetési szervek és szakmai fejezeti kezelésű előirányzatok teljesített kiadása a költségvetési évben 364,9 milliárd forint volt, amelynek fedezetéül 41,8 milliárd forint bevétel, valamint 370,4 milliárd forint támogatás szolgált. A 2018. évi tervezés során a honvédelmi kiadások és a hosszú távú tervezés feltételeinek megteremtését szolgáló költségvetési források biztosítása érdekében növekedő költségvetési támogatás a tényadatok alapján is jelentős, 79,0 milliárd forintos növekményt jelentett a védelmi funkció tekintetében.
A Magyar Honvédség (MH) az Alaptörvényben és a honvédelmi törvényben foglalt feladatainak, valamint szövetségesi kötelezettségeinek eleget tett. 2018-ban is kiemelt cél volt a stabil haderőstruktúra kialakítása, a haderő professzionális jellegének erősítése és az MH megtartó képességének erősítése.
A katonai életpálya bevezetése érdekében 2015-ben indított béremelés 2018-ban is folytatódott, és további 5%-kal növekedett a katonák illetménye. A béremelés 2019-ben is folytatódik, és a 2015 július 1-ét megelőző illetményhez képest átlagosan eléri az 50%-ot.
A 1298/2017. (VI. 2.) Korm. határozattal meghirdetett "Zrínyi 2026 Honvédelmi és Haderőfejlesztési Program keretében folytatódott az MH fejlesztésének az elmúlt 25 év legnagyobb és legátfogóbb honvédelmi programja. A modernizációs fejlesztés az MH minden területét érinti. A Program célja egy korszerű eszközökkel felszerelt, a kor biztonsági kihívásaira adekvát válaszokat adó honvédség létrehozása, úgy, hogy biztosítva legyen a társadalomból építkező hátország is. A Program keretében megkezdődött a honvédség merev- és forgószárnyas légi képességének bővítése, a hatékony irányítási-vezetési rendszer kiépítése, illetve a hazai hadiipar termékeként a többfunkciós buszok, illetve kézifegyverek beszerzése és gyártása.
Folytatódtak az egyéb hadfelszerelés fejlesztési programok is (pl.: "Lövész 2020" program 5,3 milliárd forint, Gépjármű Beszerzési Program 3,9 milliárd forint, Híradó, Informatikai és Elektronikai Hadviselési fejlesztési program 5,1 milliárd forint).
Az MH 2018-ban is részt vett a tömeges bevándorlás okozta válsághelyzet kezelésében, mely feladatra a biztosított többletforrásokból - a 2017-ról áthúzódó forrásokkal együtt - több mint 26 milliárd forintot költött a tárca.
A terrorcselekmények megelőzésére végrehajtott képességfejlesztésekre - a 2017-ról áthúzódó forrásokkal együtt - 62,6 milliárd forintot fordított a tárca, amelyből 38,6 milliárd forint előlegként került kifizetésre.
A haderőképesség szinten tartása, fejlesztése és a nemzetközi katonai együttműködés zavartalansága érdekében a hazai kiképzési feladatokra, illetve a pilóták nemzetközi képzésére ebben az évben is kiemelt figyelmet fordítottak, a feladatra 17,4 milliárd forintot költöttek.
Az igazságszolgáltatási funkcióba tartozó szervek és fejezeti kezelésű előirányzatok kiadásai 2018-ban mintegy 180,5 milliárd forintot tettek ki, az előző évi teljesítésnél 18,7 milliárd forinttal többet.
A kiadások 69,8%-a a Bíróságok, 27,3%-a pedig az Ügyészség fejezetnél jelenik meg (a fennmaradó 2,9%-t az IM fejezet célelőirányzatai jelentik).
A kiadás a Bíróságok esetében 12,6 milliárd forinttal (11,1%), az Ügyészségnél 3,7 milliárd forinttal (8,0%), míg az IM fejezet célelőirányzatai esetében 2,4 milliárd forinttal (87%) növekedett. A Bíróságok és az Ügyészség előirányzatainak növekedése meghatározóan az igazságügyi és az ügyészségi alkalmazottak illetményemelésének következménye. Az IM fejezet esetében a növekedés a Magán- és egyéb jogi személyek kártérítése előirányzat magas teljesítésének (az EJEB által hozott ítéletek, alapján az államot terhelő fizetési kötelezettségek, illetve az alapvető jogokat sértő elhelyezési körülmények miatti kártalanítás kifizetései emelkedésének) következménye.
A kiadások túlnyomó része, 171,6 milliárd forint (95,0%) az intézményeknél, míg 8,9 milliárd forint (5,0%) a fejezeti kezelésű előirányzatokon teljesült.
A rend- és közbiztonság funkcióba tartozó szervek és fejezeti kezelésű előirányzatok kiadásai összesen 769,0 milliárd forintot tettek ki, amelyhez a költségvetés 562,8 milliárd forint támogatást nyújtott, emellett 187,4 milliárd forint bevétel teljesült. Az elmúlt években a kormány jelentős fejlesztési forrásokat biztosított a funkcióba tartozó szervezetek feladatellátásának és képességeinek fejlesztése érdekében, valamint a válsághelyzetek kezelésére. A fejlesztések eredményeként a migrációs és terrorfenyegetettségi válsághelyzetek kezelésére közel 145 milliárd forinttal kevesebb forrást kellett biztosítani, mint 2017-ben, miközben a funkcióba tartozó egyéb feladatokra 71,4 milliárd forinttal (ebből a Rendőrség 47,5 milliárd forint) többet költött a költségvetés.
A tűzvédelem funkcióba tartozó BM Országos Katasztrófavédelmi Főigazgatóság és területi szervei többek között ellátták a polgári védelmi, tűzvédelmi feladatokat, ezek szakigazgatási tevékenységét, valamint jogszabályban meghatározott esetekben első- és másodfokú katasztrófavédelmi és vízvédelmi hatósági és szakhatósági, továbbá a kéményseprő-ipari feladatokat. A funkcióba tartozó szervek és fejezeti kezelésű előirányzatok (Önkéntes tűzoltóegyesületek és mentőszervezetek, valamint az Önkormányzati tűzoltóságok normatív támogatása) kiadása összesen 99,3 milliárd forintot tett ki, amelyhez 84,6 milliárd forint támogatás és 8,9 milliárd forint bevétel került felhasználásra.
A büntetés-végrehajtási terület részére a költségvetés 118,7 milliárd forint támogatást biztosított, amelyet 25,9 milliárd forint bevétel egészített ki. A szervezet kiadásai meghaladták a 99,2 milliárd forintot. A beruházások területén folytatódott a börtönférőhely-bővítési program végrehajtása, illetve a meglevő büntetés-végrehajtási intézetek korszerűsítése. Az új börtönök építéséhez az állomány feltöltése lényegében megtörtént.
A szervezet kiemelt célkitűzése volt a fogvatartotti foglalkoztatás további bővítése, ezzel is hozzájárulva az elítéltek társadalmi reintegrációjához.
Az oktatási tevékenységeken belül az iskolai előkészítés és alapfokú oktatás, valamint a középfokú oktatás együttes kiadása az előző évhez képest 283,6 milliárd forintról 287,5 milliárd forintra, támogatása 264,8 milliárd forintról 277,6 milliárd forintra növekedett. A forrásnövekedés döntően az egyházi, nemzetiségi önkormányzati és magán fenntartású köznevelési intézmények feladatainak támogatására szolgáló előirányzatokon jelentkezett.
A felsőfokú oktatás (az intézmények valamennyi funkciót tartalmazó és a fejezetek felsőoktatási célt szolgáló előirányzatai) tekintetében a 2018. évi kiadás 724,6 milliárd forint volt. Az ágazat támogatása 296,0 milliárd forintban realizálódott, ami 9,4 milliárd forinttal (3,3 %-kal) haladta meg az előző évi teljesítést.
E funkcióhoz tartoznak az állami és nem állami felsőoktatási intézmények képzési és fenntartási feladatait, intézményi és központi infrastrukturális fejlesztéseit, a hallgatói juttatásokat, egyéb ösztöndíjakat, felsőoktatási szakmai fejlesztéseket és feladatokat, továbbképzéseket biztosító előirányzatok. Az állami intézmények kiadásaiként teljesült, a Stipendium Hungaricum ösztöndíjprogram forrásainak döntő része, valamint a Felsőoktatási Struktúraátalakítási Alap terhére biztosított többletforrások is. 2018-ban folytatódott az állami felsőoktatási intézmények előnytelen PPP konstrukcióinak kiváltása, valamint a korábbi években megkezdett infrastrukturális fejlesztések megvalósítása: a Pécsi Tudományegyetem Modern Városok Program részeként megvalósuló beruházása, a Testnevelési Egyetem új kampuszának kialakítása és a Moholy-Nagy Művészeti Egyetem beruházásának megvalósítása. A felsőoktatási kutatás-fejlesztés erősítése érdekében 2018-ban elindult a Felsőoktatási Intézményi Kiválósági Program, amelyre 15 milliárd forint támogatást biztosított a költségvetés.
Az egyéb oktatás együttes kiadása 1274,3 milliárd forint, támogatása 1199,1 milliárd forint volt. Az e funkciócsoporthoz soroltak közül a Klebelsberg Intézményfenntartó Központ (KLIK) előirányzat a legjelentősebb volumenű, mely a vegyes (alap- és középfokú oktatást egyaránt magában foglaló) profilú előirányzat és a fenntartásában lévő köznevelési intézmények forrásait tartalmazza. Kiemelkedő tételek e funkciócsoporton belül a jelentős részben oktatási célú európai uniós (EFOP) források előirányzatai. E funkciócsoport alatt jelent meg továbbá a szakképzési centrumok működési költségének összege, valamint az Erzsébet gyermek- és ifjúsági táborok és a gyermek és ifjúsági szakmai feladatokhoz kapcsolódó források.
A központi költségvetésben a költségvetési szervek, szakmai fejezeti kezelésű sorok előirányzatainak funkcionális osztályozása szerint az egészségügyi funkción összesen 993,4 milliárd forint kiadás és 145,0 milliárd forint támogatás állt rendelkezésre. Ezen előirányzatokhoz elsődlegesen az Emberi Erőforrások Minisztériuma és a Honvédelmi Minisztérium felügyelete alá tartozó egészségügyi intézmények költségvetése tartozik. Az előző évhez viszonyított 14,6 százalékos kiadásnövekedésben meghatározó szerepet játszott a 2017. évi egészségügyi béremelés áthúzódó hatása, valamint a 2018. január 1-jével végrehajtott szakdolgozói béremelés többlete, illetve az Országos Mentőszolgálatnál az említett fejlesztésen felül biztosított bértöbblet. A központi költségvetés többletforrásokat biztosított az Egészséges Budapest Program keretében megvalósuló fejlesztésekre. Az előbbieken túl a központi költségvetés 2018-ban jelentős többlettel támogatta az egészségügyi intézmények gazdálkodását (működési és ösztönző támogatás), a népegészségügyi célú feladatokat, az oltóanyag beszerzést, az egynapos sebészet eszközfejlesztését, a kisforgalmú gyógyszertárak működését, továbbá az Országos Mentőszolgálat fejlesztéseit.
Az egyéb szociális támogatások funkcióhoz tartozó előirányzatok kiadása 2018-ban 20,4 milliárd forintra teljesült. A funkción elszámolt kiadások tartalmazzák a Családpolitikai Programok előirányzat kiadásait, amelynek keretei között számos, a gyermekes családokat megszólító program került támogatásra (pl. "Együtt olvas a család" vetélkedősorozat, családi életre való felkészülést segítő programsorozat, "Mozgásban a család" elnevezésű program).
Az előző évek gyakorlatának megfelelően több, civil szervezetek, stratégiai partnerek által megvalósított program egyedi támogatása történt meg (pl. Nagycsaládosok Országos Egyesülete, Családháló Alapítvány, Három Királyfi, Három Királylány Alapítvány, Szülők Háza Alapítvány), akik saját működésük körében sokat tesznek a családpolitika, nőpolitika népszerűsítése, továbbá az idősügyi programok támogatása érdekében.
Szintén e funkció tartalmazza a "Hozzájárulás a hadigondozásról szóló törvényt végrehajtó közalapítványhoz" megnevezésű fejezeti kezelésű előirányzatot. Az előirányzatból történik a hadigondozásra jogosultak számára nyújtott, a hadigondozásról szóló 1994. évi XLV. törvényben (a továbbiakban: Hdt.) foglalt hadigondozotti pénzellátások, valamint a térítésmentes gyógyszer és gyógyászati segédeszköz-ellátás költségének finanszírozása. A Hdt. 2018. január 1-jétől hatályos módosítása értelmében a törvény alapján folyósított hadigondozotti ellátások összege jelentősen emelkedett és a jogosult kör is bővült, ennek következtében a kapcsolódó kiadás is növekedett.
A szociális és jóléti intézményi szolgáltatások funkció kiadási előirányzata 339,2 milliárd forintra, míg a funkció részét képező Szociális és Gyermekvédelmi Főigazgatóság (SZGYF) kiadása 171,1 milliárd forintra teljesült. Az SZGYF-hez 2018. december 31-én 108 intézmény tartozott, az állami intézményrendszer 50 133 férőhelyén összesen 45 133 fő ellátását biztosították, ezáltal a kihasználtság 90%-os volt. Az ellátottak 66,5%-a szociális ellátásban, 34,5%-a gyermekvédelmi, gyermekjóléti ellátásban részesült. A szociális és jóléti intézményi szolgáltatások funkció tartalmazza többek között a nevelőszülők díjazását is, míg az ágazat dolgozói számára a központi költségvetés támogatást biztosított a szociális ágazati összevont pótlék kifizetéséhez. A munkavállalók bérrendezése 2018-ban tovább folytatódott, valamint a 2018. évi minimálbér és garantált bérminimum emeléséhez a központi költségvetés szintén támogatást biztosított, mindösszesen 4,6 milliárd forint összegben.
A sport és szabadidős tevékenységek és szolgáltatások funkciócsoporthoz sorolt előirányzatokon 2018-ban összesen 266,1 milliárd forint kiadás teljesült. A funkciócsoport támogatása 215,6 milliárd forintban realizálódott.
A sport területén az állami feladatok ellátására a források biztosítottak voltak. A sportcélú fejlesztési támogatások jelentős része a Nemzeti Fejlesztési Minisztérium fejezetben, kisebb része, valamint a szakmai támogatások az Emberi Erőforrások Minisztériuma fejezetben kerültek betervezésre. A Nemzeti Fejlesztési Minisztérium fejezet előirányzatai - annak megszűnte miatt - 2018. július 1. fordulónappal átkerültek az Emberi Erőforrások Minisztériuma fejezetbe. A fejezetek részére biztosított támogatás lehetővé tette, hogy 2018-ban is megfelelően legyenek végrehajtva az államnak az utánpótlás-neveléssel, a versenysporttal, a szabadidősporttal, a sportlétesítmények üzemeltetésével és fejlesztésével, a sportági szakszövetségek támogatásával, a sportegészségügyi feladatok ellátásával és a doppingellenőrzéssel kapcsolatos feladatai.
Tovább folytatódott a 16 kiemelt sportág (asztalitenisz, atlétika, birkózás, evezés, judo, kajakkenu, karate, kerékpár, korcsolya, ökölvívás, öttusa, sportlövészet, tenisz, torna, úszás, vívás) 2013-2020 közötti sportfejlesztési stratégiáinak megvalósítása érdekében az érintett sportágak sportszakmai és létesítmény-fejlesztési támogatása.
Emellett a nagy hagyományokkal rendelkező fővárosi sportegyesületek (Budapesti Honvéd Sportegyesület, Budapesti Vasutas Sport Club, Ferencvárosi Torna Club, Magyar Testgyakorlók Köre, Újpesti Torna Egylet és Vasas Sport Club) 2013-2020 közötti sportfejlesztési stratégiáinak megvalósításához szükséges támogatások 2018. évi ütemét is finanszírozta a költségvetés. A 2018. évben biztosított volt a folyamatban lévő kiemelt projektek, pl. a Nemzeti Stadionfejlesztési Program elemeinek támogatása is.
Az e funkciócsoportba sorolt előirányzatok biztosítottak forrást a Hungaroring Sport Zrt. 2018. évi támogatásához, a 16 kiemelt sportág és a 6 kiemelt sportegyesület szakmai feladatainak ellátásához, egyes hazai rendezésű nemzetközi sportesemények szervezéséhez, a 2019. évi Maccabi Európa Játékok Budapesten történő megrendezéséhez, valamint szegedi multifunkcionális csarnok építéséhez.
A kulturális tevékenységekre és szolgáltatásokra fordított 2018. évi kiadás 380,2 milliárd forint összegben teljesült, ami 20,2%-kal magasabb az előző évben teljesített 316,4 milliárd forintnál. A kulturális terület támogatása 317,0 milliárd forint volt 2018-ban, míg a bevételek 35,2 milliárd forintban realizálódtak.
Az Emberi Erőforrások Minisztériuma irányítása alá tartozó közgyűjtemények és művészeti intézmények támogatása 2018-ban 56,4 milliárd forintra teljesült, melynek keretében - az érintett intézmények működésének finanszírozásán túl - a központi költségvetés forrást biztosított például a Magyar Állami Operaház és az Erkel Színház új műhelyháza és próbacentruma beruházásához, az Operaház Andrássy úti épületének felújításához, a Liget Budapest projekthez kapcsolódó múzeumi fejlesztésekhez, a Magyar Nemzeti Levéltár Csongrád Megyei Levéltárának új szegedi telephelyének kialakításához, a Múzeumkert rekonstrukciójához, a Szabadtéri Néprajzi Múzeum Erdély tájegységének megvalósításához, valamint a Seuso-kincsek bemutatásához.
Az Emberi Erőforrások Minisztériuma irányítása alá tartozó egyéb kulturális intézmények kiadása 6,8 milliárd forintra, támogatása pedig - az előző évhez hasonlóan - 5,0 milliárd forintra teljesült.
A Liget Budapest projekt előkészítését és megvalósítását 35,6 milliárd forinttal támogatta 2018-ban a kulturális tárca. A Makovecz Imre Alappal összefüggésben, mely az építész meg nem valósult tervei megépítését és az általa tervezett épületek megóvását célozza, 2,1 milliárd forint kiadás realizálódott. Az I. világháborús centenáriumi megemlékezéseket 1,0 milliárd forinttal, a Budapesti Tavaszi Fesztivál és a Budapesti Őszi Fesztivál megrendezését - az előző évvel megegyezően - 2,0 milliárd forinttal támogatta a kulturális tárca. A Csoóri Sándor Alap 6,1 milliárd forinttal járult hozzá a népi kultúra közösségteremtő műfajaiban tevékenykedő szervezetek, közösségek működéséhez.
A Miniszterelnökség fejezetben szereplő, Nemzeti Hauszmann Terv megvalósulásához kapcsolódó kiadások 15,6 milliárd forintra teljesültek, míg a Nemzeti Kastélyprogrammal és a Nemzeti Várprogrammal összefüggésben 6,7 milliárd forint kiadás realizálódott.
A Magyar Művészeti Akadémia kulturális funkcióba tartozó kiadásai - így például a Nemzeti Szalon programjai, a Műcsarnok és a Pesti Vigadó üzemeltetése és szakmai programjai, a Makovecz Emlékközpont működtetéséhez kapcsolódó feladatok - összesen 5,7 milliárd forintot tettek ki.
A hitéleti tevékenységek funkciócsoportba sorolt 2018. évi előirányzatok támogatásai összesen 125,9 milliárd forintra, kiadásai 142,2 milliárd forintra teljesültek. Az előző évhez viszonyítva a jelentős mértékű - 39,5 milliárd forint összegű - csökkenést elsődlegesen a 2018. évben a korábbi években megkezdett beruházások lezárása okozta
A rendelkezésre bocsátott további támogatások többek között megteremtették a lehetőséget a vallási közösségeknek a közösségi célok érdekében történő együttműködéshez. E támogatások zöme a valamennyi évben jelentkező szja 1% felajánlások és kiegészítésük biztosítása, a volt egyházi ingatlanok tulajdoni helyzetének rendezése kapcsán fizetett ingatlanjáradék, a hittanoktatás támogatása, a hazai kistelepülési és külhoni egyházi személyek jövedelempótléka. Mindezeken túl a 2018. évben is kiemelt figyelem irányult az egyházi intézmények infrastruktúrájának a fejlesztésére. Ennek keretén belül több jelentős beruházás kapott támogatást, többek között az Esztergom-Budapesti Főegyházmegye egyes fejlesztéseinek a 2020. évi budapesti Eucharisztikus Világkongresszussal összefüggő támogatására 8544,0 millió forint, 2775,0 millió forint a ciszterci rend rendi alapokmánya kihirdetésének 900. évfordulójához kapcsolódóan, 3508,1 millió forint a premontrei rend alapításának 900 évfordulójához kapcsolódóan, illetve 2891,5 millió forint az egyes szerzetesrendi fejlesztések megvalósításához. 2018. évben is jelentős forrás állt rendelkezésére, az egyházi épített örökség védelme, közösségi programok és beruházások céljára pályázati rendszerben több mint kétszáz kedvezményezettet részesített támogatásban, köztük jelentős számmal határon túli magyar ajkú egyházi szervezeteket is.
Az egyéb közösségi és kulturális tevékenységek funkciócsoportba sorolt előirányzatoknál a 2018. évi kiadások 31,4 milliárd forintot, míg a támogatások 45,7 milliárd forintot tettek ki, ami 16,0 milliárd forinttal magasabb a 2017. évi teljesítésnél. A növekedés oka egyebek mellett a nemzetpolitikai tevékenységet szolgáló források bővülése, valamint a nemzetiségi támogatások összegének emelkedése.
E funkciócsoporthoz tartozik a civil önszerveződések működését és szakmai tevékenységét támogató Nemzeti Együttműködési Alap és több egyedi támogatás mellett számos civil szervezet számára biztosított előirányzat, de ugyancsak ebben a funkciócsoportban jelennek meg a Nemzeti Sírkerthez és Nemzeti Emlékhelyekhez kapcsolódó kiadások és a volt köztársasági elnökök közcélú felajánlásai is.
A tüzelő- és üzemanyag, valamint energiaellátási feladatok funkció (Magyar Energetikai és Közmű-szabályozási Hivatal, Országos Atomenergia Hivatal, Bányanyitási feladatok kiadásai) kiadási teljesítése 13,6 milliárd forint volt, ami az előző évinél 0,6 milliárd forinttal (5,2%-kal) magasabb. Az előirányzatok - hatósági eljárási, vizsgálati, engedélyezési, felügyeleti és ellenőrzési tevékenységből származó - saját bevétele 12,9 milliárd forint, költségvetési támogatása 2,1 milliárd forint volt.
A mező-, erdő-, hal- és vadgazdálkodás szakigazgatási, kutatási feladatait ellátó intézmények és az ágazati feladatok kiadása összességében 348,8 milliárd forintot tett ki, ami az előző évi teljesítéshez képest 51,1 milliárd forinttal magasabb. A saját bevétel 36,2 milliárd forint, ez 69,8 milliárd forinttal alacsonyabb, a támogatás 388,0 milliárd forint, ami 207,3 milliárd forinttal magasabb az előző évinél. A kiadási teljesítés növekedését döntően a Vidékfejlesztési Program jelentős növekedése okozta.
A bányászat és ipar feladatait végző Magyar Bányászati és Földtani Szolgálat, valamint az építésügyi feladatokhoz kapcsolódó és a Bányabezárás elnevezésű fejezeti kezelésű előirányzatok 2018. évi összes kiadása 6,3 milliárd forint, bevétele 2,9 milliárd forint, költségvetési támogatása 3,6 milliárd forint volt. A saját bevételi és támogatási előirányzatok az intézmény geológiai és bányászati hatósági engedélyezési, felügyeleti, illetve tudományos feladatainak, valamint az építésüggyel, bányabezárással kapcsolatos szakmai feladatoknak a forrását biztosították.
A közlekedési és távközlési tevékenységek és szolgáltatások funkció kiadása 1178,9 milliárd forint, bevétele 42,1 milliárd forint, támogatása 1230,1 milliárd forint volt. Összességében az előző évi teljesítéshez képest a kiadás 23,7 milliárd forinttal (2,0%-kal), a bevétel 255,0 milliárd forinttal (85,8%-kal) csökkent, a támogatás 124,4 milliárd forinttal (11,3%-kal) nőtt. A kiadások változását döntően az Integrált Közlekedésfejlesztési OP (IKOP), az Európai Hálózatfinanszírozási Eszköz (CEF) projektek, a Kiemelt közúti projektek, a Közúthálózat felújítása, illetve a Kormányzati infokommunikációs szolgáltatások kiadásainak változása befolyásolta.
Az egyéb gazdasági tevékenységeket és szolgáltatásokat végző intézmények és feladatok kiadása 1129,3 milliárd forint, ami 149,9 milliárd forinttal (11,7%-kal) alacsonyabb az előző évi teljesítésnél. A bevételek 61,0 milliárd forintos teljesítése 780,7 milliárd forinttal alacsonyabb, a támogatások 1088,9 milliárd forintos összege 533,4 milliárd forinttal magasabb az előző évihez képest. A kiadások változását döntően a Pest megyei fejlesztések, a Nagyvállalati beruházási támogatások, a Beruházás ösztönzési célelőirányzat kiadásainak növekedése, a 2007-2013. évek közötti operatív programok visszaforgó pénzeszközeinek felhasználása és kezelése, a Gazdaságfejlesztés és Innovációs OP (GINOP), valamint a Terület- és Településfejlesztési OP (TOP) kiadásainak csökkenése befolyásolta.
A környezetvédelem intézményi és ágazati célfeladatainak kiadása 285,6 milliárd forint volt. Az intézmények (Nemzeti park igazgatóságok, Vízügyi Igazgatóságok) 2018. évi kiadásai 128,8 milliárd forintot tettek ki, amely 24,5 milliárd forinttal magasabb az előző évi mértéknél, ezt főként a Vízügyi Igazgatóságok kiadásainak növekedése eredményezte. Az ágazat kiadásai az előző évhez képest 327,2 milliárd forinttal alacsonyabban teljesültek az uniós fejlesztési források kifutása miatt, mivel a Környezet és Energetikai Hatékonysági OP (KEHOP) forrásból finanszírozott projektek (például a Települési vízellátás, szennyvízelvezetés és -tisztítás, szennyvízkezelés fejlesztési projektek) többsége megvalósult. Ugyancsak a KEHOP fejlesztések megvalósulásával függ össze, hogy a 93,9 milliárd forintos bevétel 197,7 milliárd forinttal alacsonyabb az előző évinél. A 347,0 milliárd forintos támogatás 27,2 milliárd forinttal magasabb a 2017. évinél.
2.7. Az elkülönített állami pénzalapok támogatása
Az elkülönített állami pénzalapok 2018. évi költségvetési támogatásának előirányzata 61,9 milliárd forintot tett ki. Az évközi intézkedések hatására az alapok összesen 92,5 milliárd forint költségvetési támogatásban részesültek, ami 30,6 milliárd forinttal haladta meg az előirányzatot.
2.8. Garancia és hozzájárulás a társadalombiztosítási ellátásokhoz
A garancia és hozzájárulás címén 2018-ban az Nyugdíjbiztosítási Alap (Ny. Alap) 60,6 milliárd forint, az Egészségbiztosítási Alap (E. Alap) pedig 530,9 milliárd forint költségvetési támogatásban részesült.
A 2018. évi költségvetési törvény az Ny. Alap részére "Kiadások támogatására pénzeszköz átadás" jogcímcsoporton 65,9 milliárd forint támogatást biztosított, melyből 60,6 milliárd forint került felhasználásra. Az Ny. Alap támogatását az év folyamán három tényező befolyásolta. A Magyarország 2017. évi központi költségvetéséről szóló 2016. évi XC. törvény végrehajtásáról szóló 2018. évi LXXXIV. törvény 15. §-a szerint az Országgyűlés elrendelte, hogy az Ny. Alap 2017. évi 5,4 milliárd forintos hiányát a XLII. A költségvetés közvetlen bevételei és kiadásai fejezet 2018. december 28-áig térítse meg a LXXI. Nyugdíjbiztosítási Alap fejezet "Költségvetési hozzájárulások" alcím javára. Ezzel a törvényi módosított előirányzat 71,3 milliárd forintot tett ki. Ezen felül az 1753/2018. (XII. 20.) Korm. határozat 0,9 milliárd forintot csoportosított át az Ny. Alap költségvetési hozzájárulásához az alap postaköltségének fedezetére. A 2018. évi költségvetési törvény 33. § (3) bekezdése szerint, amennyiben az Ny. Alap pénzforgalmi egyenlege a tárgyévi utolsó bevételének beérkezése és az utolsó ellátás kifizetése után többletet mutat, a Kincstár intézkedik a többlet összegének visszautalásáról, amely a XLII. A költségvetés közvetlen bevételei és kiadásai fejezet, Nyugdíjbiztosítási Alap támogatása, "Kiadások támogatására pénzeszköz átadás" jogcímcsoport szerinti kiadást csökkenti. A pénzforgalmi teljesítésnek megfelelően a visszautalás megtörtént.
Az E. Alapnak nyújtott támogatásokon belül előirányzati szinten teljesült a járulék címén átadott pénzeszköz (465,5 milliárd forint). A járulék címen átadott pénzeszköz a biztosítási
jogviszonyból származó jövedelemmel nem rendelkező személyek (nyugellátásban részesülők, kiskorú személyek, felsőfokú nappali tanulmányokat folytatók stb.) után fizetett fix összegű egészségügyi szolgáltatási járulék fedezetéül szolgált. A kiadások támogatására nyújtott pénzeszköz-átadás 2018. évi törvényi előirányzata 65,4 milliárd forint volt, az előirányzat teljes mértékben átutalásra került az E. Alap részére. Az év folyamán az E. Alap kis összegű támogatásokban is részesült a kezelő szervénél foglalkoztatottakkal kapcsolatos kiadásaira. Ezen kiadásokra az E. Alapot összesen 43,0 millió forint (minimálbér és garantált bérminimum emelésével, a 2018. évi kompenzációval, valamint a Prémiumévek programmal kapcsolatosan) illette meg a központi költségvetés céltartalékai terhére.
2.9. Adósságszolgálattal kapcsolatos kiadások
Az államadóssággal kapcsolatos összes kiadás 1080,8 milliárd forint volt 2018-ban, amely 51.0 milliárd forinttal (4,9%-kal) haladja meg az 1029,8 milliárd forintos előirányzatot. Ezen belül az államadóssággal kapcsolatos összes kamatkiadás 1048,4 milliárd forint volt, amely 70.1 milliárd forinttal (7,2%-kal) haladta meg a 978,3 milliárd forintos előirányzatot. Mivel a költségvetés kamatbevételei 47,1 milliárd forinttal meghaladták az előirányzatot, így a nettó pénzforgalmi kamatkiadások 23,0 milliárd forinttal magasabb összegben teljesültek, mint a tervezett.
Az államadósság utáni bruttó kamatkiadások előirányzathoz képesti 70,1 milliárd forintos túllépését elsősorban a csereaukciók, valamint a tervezetthez képest magasabb összegű és hosszabb futamidejű hiányt finanszírozó államkötvény és hosszú futamidejű lakossági értékesítés okozta.
A forint hitelek kamatkiadása 8,9 milliárd forinttal lett alacsonyabb az előirányzat összegénél. A csökkenés a tervhez képest kissé alacsonyabb állománynak és a korábban lehívott hitelek átárazódásának, illetve az újonnan lehívott hitelek tervezettől elmaradó kamatának volt köszönhető.
A piaci értékesítésű államkötvények kamatkiadásai 14,8%-kal, azaz 96,0 milliárd forinttal haladták meg a tervezettet, és 746,5 milliárd forintot tettek ki. A terveket meghaladó csereaukciók, kibocsátások és visszavásárlások növelték a kiadásokat, a hozamok csökkenése ugyanakkor kamatmegtakarítást eredményezett az év során.
A nem piaci értékesítésű államkötvények jelentős része változó kamatozású. Ezeknél az állampapíroknál a csökkenő hozamoknak köszönhetően 0,1 milliárd forint kiadáscsökkenés következett be.
A kincstárjegyek kamatkiadása 9,2 milliárd forinttal kisebb az előirányzat összegénél. Ezen belül a diszkontkincstárjegyek kamatkiadása 4,7 milliárd forinttal maradt el a tervezettől, ami a tervet meghaladó állomány ellenére a hozamok jelentős csökkenésének köszönhető. A lakossági kincstárjegyek kiadása 4,5 milliárd forinttal kisebb a tervezett szintnél, amely a tavalyi évi sikeres futamidő növelés következménye. Emiatt a lakossági kincstárjegyek értékesítése elmaradt a tervektől.
A devizában jelentkező kamatkiadások az előirányzathoz képest 6,3 milliárd forinttal lettek alacsonyabbak, és 200,5 milliárd forintot tettek ki. A tervekhez képesti eltéréseket elsősorban a tervekben nem szereplő 2017. és 2018. évi év közbeni devizakötvény-visszavásárlás és nem tervezett devizakötvény kibocsátás együttes hatása okozta. Az év során visszavásárolt devizakötvények esetében előrehozott kamatfizetések növelték a kiadásokat.
Összességében az államadósság tényleges költségét jobban mutató nettó kamatteher az 1048,4 milliárd forint összegű bruttó kamatkiadás és a 120,5 milliárd forint összegű bruttó kamatbevétel különbözeteként 927,8 milliárd forint volt 2018-ban, amely 23,0 milliárd forinttal, 2,5%-kal lett magasabb az előirányzathoz képest. A nettó eredményszemléletű kamatkiadások csökkentek mintegy 35,2 milliárd forinttal a tervhez képest.
2.10. Társadalmi önszerveződések támogatása
A társadalmi önszerveződések támogatása kiadási tétel 2018-ban magában foglalta a pártok és a pártalapítványok működésének támogatására átcsoportosítandó összegeket, továbbá a 2018. évi választásokhoz kapcsolódó kampányköltségek finanszírozását szolgáló kiadásokat. A 2018. évi eredeti, valamint módosított előirányzat összesen 9809,8 millió forint volt, mely 9779,8 millió forint összegben (99,7%-ban) teljesült az alábbiak szerint.
A pártok támogatása 2548,9 millió forint összegű 2018. évi eredeti előirányzata 2255,9 millió forint összegben, az eredeti előirányzat 88,5%-ában teljesült. A teljesítés elmaradásának oka, hogy az ÁSZ a pártok gazdálkodásának törvényességére vonatkozó ellenőrzései alapján, valamint a párttörvényben foglaltak értelmében a pártoknak a központi költségvetésből juttatott támogatása, az elfogadott vagyoni hozzájárulás értékét kitevő összeggel, összesen 293,0 millió forinttal csökkentésre került. Az ÁSZ ellenőrzései alapján továbbá egyes pártok részéről összesen 20,5 millió forint visszafizetésére került sor.
A pártalapítványok támogatására előirányzott 1260,9 millió forint 1246,4 millió forint összegben, 98,9%-ban teljesült. A teljesítés elmaradás egyik oka, hogy az ÁSZ ellenőrzései alapján összesen 7,22 millió forinttal csökkentett összegű központi költségvetési támogatás folyósítására került sor, másfelől, a Momentum Mozgalom által alapított Indítsuk Be Magyarországot Alapítványnak a bíróság általi jogerős nyilvántartásba vétele 2018. szeptember 30-ig nem történt meg, emiatt az alapítvány a 2018. III. negyedévi támogatásától (7,24 millió forinttól) elesett. Az ÁSZ ellenőrzései alapján a pártalapítványok részéről összesen 4,7 millió forint visszafizetés történt a központi költségvetésbe.
A kampányköltségek 6000,0 millió forint összegű - a Magyarország 2018. évi központi költségvetéséről szóló 2017. évi C. törvény 4. melléklete alapján "felülről nyitott" -előirányzatán 6277,5 millió forint összegű (104,6%-os) pénzügyi teljesítésre került sor.
2.11. Kormányzati rendkívüli kiadások
A Kormányzati rendkívüli kiadások mérlegsoron 2018-ban 2,8 milliárd forint kiadás teljesült, míg a 2018. évi törvényi előirányzat 2,9 milliárd forint volt.
A mérlegsor kiadásain belül az életüktől és szabadságuktól politikai okból jogtalanul megfosztottak kárpótlásáról szóló 1992. évi XXXII. törvény alapján járó kárpótlási életjáradékra 0,8 milliárd forintot, az 1947-es párizsi békeszerződésből eredő, az 1997. évi X. törvény alapján járó kárpótlási életjáradékra 1,9 milliárd forintot fizettek ki, mindezek folyósítási költségei pedig 48,5 millió forintot tettek ki.
2.12. Kezességérvényesítés
A 2018. évi költségvetési törvény 46-53. paragrafusai határozták meg az állami kezesség és viszontgarancia vállalás lehetőségeit. Az alábbiak a törvényi rendelkezések sorrendjében mutatják be a kezesség-állományokat, a törvényben jóváhagyott kezesi, illetve viszontgarancia keretek kihasználását, és az egyes kezesség- és viszontgarancia típusok kapcsán a beváltásokat.
Az állam által vállalt kezesség és viszontgarancia érvényesítésére a 2018. évi költségvetés 22,1 milliárd forint összegű előirányzatot tartalmazott tizenegy alcímre bontva. A tényleges kifizetés 12,5 milliárd forint volt. A teljesítés az eredetileg tervezett összeghez képest több mint 10 milliárd forinttal lett alacsonyabb. Az eredeti tervhez viszonyított elmaradás alapvető oka, hogy a kis-és középvállalkozások (kkv-szektor) finanszírozásához kapcsolódó állami viszontgaranciák, valamint az exporthitel biztosításhoz kapcsolódó kezességek beváltásai jóval kedvezőbben alakultak a vártnál.
1) A költségvetési törvény 46. § (1) bekezdésének felhatalmazása alapján 100,0 milliárd forint keret mértékéig adhatott felhatalmazást a kormány egyedi állami kezesség vállalására 2018-ban. E keret terhére a 2018. év során egy kezességvállalási felhatalmazást adott a kormány. A Debrecen Megyei Jogú Város beruházási célú hitelfelvételéhez kapcsolódó egyedi állami kezesség vállalásáról szóló 1330/2018. (VII. 19.) Korm. határozat alapján az államháztartásért felelős miniszter az önkormányzat 44 milliárd forint összegű hitelfelvételéhez vállalt készfizető állami kezességet a hitelszerződésből eredő fizetési kötelezettségek teljes körének 80%-a erejéig.
A korábbi vállalások alapján fennálló egyedi állami kezességek beváltására nem került sor 2018-ban.
2) A 2018. évi költségvetési törvény 46. § (3) bekezdése lehetővé tette, hogy a nemzetközi fejlesztési intézmények által nyújtott hitelekhez összegszerű korlátozás nélkül adhasson a kormány felhatalmazást egyedi állami garancia vállalására. Ilyen típusú kezességvállalási felhatalmazás sem született 2018-ban.
Garancia érvényesítésére 2018-ban nem került sor.
3) A költségvetési törvény 47. § (1) bekezdésének felhatalmazása alapján 900,0 milliárd forint összegű állomány mértékéig vállalhatott az államháztartásért felelős miniszter - a kultúráért felelős miniszter javaslatára - 2018-ban kiállítási garanciát. E felhatalmazás alapján nyolc kiállításhoz kapcsolódva történt garanciavállalás, melyeket az általános indokolás mellékletei között szereplő, "Kiállítási garanciavállalások 2018. évben" című táblázat mutat be részletesen. (A vállaláskori érték a kiállítási garancia vállalásáról szóló, az államháztartásért felelős miniszter által kibocsátott kötelezvény aláírásának napján érvényes árfolyamon számított összeg. A garancia-állományok 2018. év végi adatai az eltérő árfolyam miatt nem egyeznek meg a vállaláskori értékkel.) A költségvetési törvényben 2018. évre meghatározott keret a korábbi években vállalt és még élő állomány, valamint az újonnan vállalandó kötelezettségek együttes összegére értendő. A 2018. évi keret kihasználtsága - a 2017. évről áthúzódó állomány figyelembe vételével -egyszer sem lépte túl az állományi mértéket. A kiállítások csak néhány hónapig láthatóak, így a keretet megszűnésük után nem terhelik tovább.
A 2018. évben kiállítási garancia érvényesítésére nem került sor.
4) A 2018. évi költségvetési törvény 47. § (2) bekezdése lehetőséget adott arra, hogy a kormány 2018. év során 50 milliárd forint összeghatárig engedélyezze közvetlen, vagy közvetett állami tulajdonban lévő vasúttársaságok számára állami kezesség melletti hitel felvételét gördülőállomány beszerzésére az EUROFIMA Európai Vasúti Gördülőállomány Finanszírozási Társaságtól. Ilyen hitelfelvétel iránti igény 2018-ban nem merült fel.
5) A Magyar Fejlesztési Bank Zrt. (MFB) pénzügyi műveletei kapcsán három típusú állami kötelezettségvállalási keretet határozott meg a költségvetési törvény (48. §). Az MFB forrásbevonásához (hitelfelvétel, kötvénykibocsátás) és a bank által harmadik fél javára, a kormány döntése alapján nyújtott készfizető kezességekhez, bankgaranciákhoz, illetve hitelekhez a bankról szóló törvény szerinti un. jogszabályi állami kezesség társul. Az MFB által finanszírozott ügyletekhez kapcsolódó hosszú lejáratú deviza-hitelek árfolyamkockázatát - a kormány döntése esetén - az állammal kötött árfolyam-fedezeti megállapodások kezelik.
E költségvetési keretek és azok kihasználtsága a következők szerint alakultak a 2018. év során:
keret és tény adatok millió forintban

*A keret terhelésénél figyelembe veendő összeg nem egyezik meg az év végi állományi adatokkal, mivel 2018. évi adatként nem a tényleges állomány, hanem a vállalás összege számítódik.
2018-ban az MFB Zrt. a forrásszerzéshez kapcsolódó keretének terhelése 147,2 milliárd forinttal nőtt, amely alapvetően a 158,7 milliárd forint értékű új forrás bevonás következménye. 2018. évben az új forrásbevonások között a forint források domináltak, a bank 74,6 milliárd forint összegben bocsátott ki forint kötvényt. A devizában bevont források részben kötvénykibocsátásból (105,3 millió EUR), részben bilateriális és intézményi hitel (50 millió EUR) felvételéből származnak.
A bank forrásbevonásait biztosító állami kezesség érvényesítésére 2018-ban sem került sor.
2018-ban egy új jogszabályi kezességvállalásra került sor, a kormány 1625/2018. (XI. 29.) számú határozata alapján az MFB 55 milliárd forintos összeghatárig vállalhatott garanciát a Garantiqa Hitelgarancia Zrt. - állami viszontgaranciával nem rendelkező -kezességvállalásaihoz. E garanciavállalás mögött az állam100%-os mértékű készfizető kezessége áll fenn. Ezen ügylet miatt 2018. évben a keretterhelés 21,1 milliárd forinttal nőtt.
2018-ban új árfolyam-fedezeti megállapodás megkötésére nem került sor.
Az árfolyamfedezeti-megállapodások pénzügyi elszámolása a programok lejáratakor történik. Az árfolyam-fedezeti megállapodások hatálya alá tartozó devizaforrások forintra történő átváltásából keletkező árfolyamkockázatot az állam viseli (ideértve az árfolyamnyereséget, és az árfolyamveszteséget is). Az elszámolás alapja a programok nyitó és záró árfolyama közötti különbség.
2018. évben hét program kapcsán összesen 9,5 milliárd forint összegű árfolyamveszteséget utalt át az állam az MFB Zrt-nek.
Az Áht. 6.§ (7) bekezdés bb) pontja alapján ez az elszámolás finanszírozó tételnek minősül, ezért a költségvetés pénzforgalmi egyenlegét nem érinti.
6) Az Eximbank Zrt. tevékenységéhez kötődő alábbi pénzügyi műveleteket a bankról szóló törvény készfizető állami kezességgel biztosítja:
- a forrásszerzés céljából a kül- és belföldi hitelintézetektől elfogadott betétek és felvett hitelek, valamint kibocsátott kötvények visszafizetését;
- a deviza- és kamatcsere ügyletek pótlási költségéből eredő fizetési kötelezettségek teljesítését;
- a központi költségvetés terhére vállalt export-hitel garanciaügyleteket és egyéb export célú garanciaügyleteket.
A fenti ügyletekre megállapított költségvetési keretek (49. § (1)-(2) bekezdések) és azok kihasználtsága a következők szerint alakultak az elmúlt időszak során:
keret és tény adatok millió forintban

A bank érintett adósságállománya, hitel-, illetve garanciaállománya a 2018. év egyetlen napján sem haladta meg a költségvetési törvényben meghatározott mértéket.
2018. évben az Eximbank mintegy 340,7 milliárd forint összértékű hitel és hitel jellegű terméket folyósított, melyből közel 328,8 milliárd forintnyi a hitel nyújtása valósult meg. A folyósított hitelek közül közel 163,1 milliárd forint értékű volt az exportcélú, és 165,7 milliárd forint a belföldi, nem export célú folyósítás, ezen belül beruházási célra mintegy 130,3 milliárd forint hitel kihelyezése valósult meg. A folyósított hitelek nagyságrendileg 118 milliárd forint többlet export és közel 87milliárd forintnyi belföldi többlettermelés megvalósulását támogatta a becslések szerint.
2018-ban 5 milliárd forint garancia nyújtása valósult meg, amely magában foglalt hitelfedezeti garanciákat és kereskedelmi garanciákat egyaránt.
2018 végére az Eximbank hitelportfóliójának 67%-át a hazai pénzügyi intézményekkel megkötött megállapodásokon alapuló refinanszírozási hitelkonstrukciók keretében folyósított hitelek adták. A refinanszírozási állomány nominális növekedése a kereskedelmi bankok piaci alapú hitelezési lehetőségének bővülésével párhuzamosan 2018. évben a korábbi évekhez viszonyítva lassuló tendenciájú, 4%-os növekedést mutatott. Ebben az évben a gazdaságpolitikai célokkal összhangban a bank a finanszírozandó ügyletek minőségét helyezte előtérbe és elsősorban a KKV szegmens finanszírozási igényeinek kielégítésre fókuszált.
Az Eximbank ügyfeleinek száma az utóbbi években jelentősen emelkedett, a 2016 végi 1094 ügyfél-darabszám 2018 végére 1557-re növekedett, amely a KKV-ügyfélkör bővülésének az eredménye.
A 2018. évben az Eximbank tevékenységét támogató állami kezesség lehívására egy esetben került sor 1,4 milliárd forint összegben egy energetikai projekt kapcsán.
7) A 2018. évi költségvetési törvény 49. § (3) bekezdése a MEHIB Zrt. esetében a nempiacképes, állami készfizető kezesség melletti biztosítási állomány felső határát állapította meg. A keret kihasználtságának meghatározása során a MEHIB Zrt. figyelembe veszi az ígérvénnyel érintett, a szerződött, a fedezetbevett állományt, valamint a rövid lejáratú ügyletekre vonatkozó maximális kötelezettséget is.
E költségvetési keret és annak kihasználtsága a következők szerint alakult az elmúlt időszak során:
keret és tény adatok millió forintban

A biztosítási portfólió relációs összetétele nem változott jelentősen, 38 viszonylatban nyújtott biztosítási fedezetet a társaság. A teljes biztosítási állomány 98,5%-ban (273,2 milliárd forint) olyan relációkban merül fel, amelyek Magyarország 2012-2020 közötti időszakra vonatkozó külgazdasági, és déli nyitás stratégiájában megjelölt, kiemelt viszonylatok.
A biztosítási állomány nagyobb részét a biztosító egyedi üzletága adta, itt jelennek meg a kötött segélyhitelekhez társuló biztosítások is, amelyek miatt a relációk közül az indonéz és a laoszi a meghatározó. A forgalmi üzletág ügyleteinél az orosz reláció a döntő.
Az állami kezesség melletti, nem-piacképes kockázatú biztosítási tevékenységgel kapcsolatos - 5,0 milliárd forintra tervezett - kárfizetések összege a 2018. évben 1,9 milliárd forint volt. A kárfizetésre hat forgalmi és egy egyedi típusú kárügy kapcsán került sor. Ezek közül a legjelentősebb egy indonéz exportügylethez kapcsolódik, itt 1,3 milliárd forint kifizetése történt meg.
A kárigények érvényesítésének kockázata több esetben felmerült, azonban a következő kedvező körülmények miatt nem került sor több kezességbeváltásra:
- a tervezés időszakában kárveszélyesnek minősített ügyletekből eredő tartozások teljesítése megtörtént;
- a bank és a biztosító közös kármegelőzési intézkedéseinek folytán a kárfizetési türelmi idő alatt a fizetési késedelmek rendeződtek;
- a MEHIB Zrt. kárenyhítési intézkedéseinek következtében a kárfizetést sikerült elkerülni.
8) A kis- és középvállalkozások forráshoz jutásának elősegítése érdekében a Garantiqa Hitelgarancia Zrt. (Garantiqa) kezességvállalásaihoz a 2018. évi költségvetési törvény állami viszontgaranciát biztosított (50. §). Az állami viszontgarancia mértéke a 2011. év júliusától vállalt ügyletek esetében 85% (a korábbi ügyleteknél az állami helytállás mértéke 70%).
Az állami viszontgarancia melletti állományi keret és annak kihasználtsága a következők szerint alakult az elmúlt időszak során:
keret és tény adatok millió forintban

A Garantiqa 2018-ban is tovább bővítette készfizető kezességvállalási tevékenységét, a KKV-k finanszírozási forrásokhoz történő hozzáférésének megkönnyítése érdekében. A Garantiqa kezességvállalási tevékenysége a KKV hitelezés növekedését meghaladóan bővült: a 2018-ban kötött kezességvállalási szerződések volumene 21%-kal, míg az év végén fennálló a kezességvállalási portfolió 24%-kal bővült az előző évhez képest. A növekedést az is támogatta, hogy a Garantiqa szolgáltatásainak gyorsabb, egyszerűbb és olcsóbb elérését lehetővé tevő fejlesztéseket hajtott végre.
A portfolió növekedésével az állami viszontgarancia melletti limit kihasználtsága közelítette a 100%-ot, így a II. félévtől az állomány emelkedését lassító intézkedésekre került sor, illetve a nem állami viszontgaranciás ügyletek állománya emelkedését eredményezte. A KKV-hitelezés bővülési folyamatának támogatása érdekében került sor az MFB 5. alpontban jelzett, a Garantiqa kezességeit biztosító garanciavállalására.
A Garantiqa 2018-ban több mint 32 ezer darab kezességvállalási szerződést kötött, a szerződések 80%-a mikrovállalkozások hiteleihez kapcsolódott. A 2018-ban kötött kezességvállalási szerződések meghatározó része mikrovállalkozások rövid lejáratú ügyleteihez kapcsolódott, ugyanakkor a kezességvállalás feltételeiben is támogatott hosszabb lejáratú, jellemzőben beruházási hitelekhez vállalt kezességek volumene jelentősen növekedett (2018-ban 17%-kal nőtt az éven belüli kezességvállalások, míg 33%-kal bővült a 4 éven túli kezességvállalások volumene). Az új ügyletek között továbbra is meghatározóak a kisebb összegű, egyszerűsített feltételrendszerű termékek aránya. A Garantiqa kezességvállalási portfoliójának növekedése - a kockázatvállalási hajlandóság növelésére tett intézkedések mellett is - egészséges szerkezetben valósult meg.
A Garantiqa által vállalt kezességek beváltására 2018-ban 583 darab ügyletben, 8,7 milliárd forint összegben került sor. A 2018. évi beváltások meghatározó része költségvetési viszontgarancia kezességekhez kapcsolódott (8,5 milliárd forint), a kezességek beváltására jellemzően kisebb összegű ügyletek esetében került sor, ezt az ebben az ügyletkörben kimutatott átlagosan 14,7 millió forint összegű kezességbeváltás is jelzi. A kezességek beváltásának ágazat szerinti megoszlása is a portfolió összetételét követi, a kereskedelem adja a beváltások volumenének 42%-át, meghatározó továbbá az építőipari, illetve a szállítási és szolgáltatási ágazathoz köthető ügyletek részesedése.
A 2018. évi költségvetési törvény a Garantiqa garanciaügyleteiből eredő fizetési kötelezettség előirányzatát 12 milliárd forintban rögzítette, a beváltott ügyletekhez kapcsolódó viszontgarancia kifizetésre 2018. évben 7,1 milliárd forint összegben került sor. A beváltott kezességekből származó követelések behajtási eljárásában 2018-ban változás nem volt, a 2018. évben lezárt követeléseken elért átlagos megtérülés 24,2% volt.
9) Az agrár-ágazat forráshoz jutásának elősegítése érdekében az Agrárvállalkozási Hitelgarancia Alapítvány kezességvállalásaihoz a 2018. évi költségvetési törvény állami viszontgaranciát biztosított (51. §). Az állami viszontgarancia mértéke 85%. E költségvetési keret és annak kihasználtsága a következők szerint alakult az elmúlt időszak során:

Az Alapítvány a 2018. évben 306,5 milliárd forint hitelállomány mögé 205,4 milliárd forint összegben vállalt állami viszontgaranciával biztosított kezességet, az e mögött álló viszontgarancia összege pedig 174,4 milliárd forint volt. Az Alapítvány aktivitása a korábbi évek növekedő tendenciáját folytatva továbbra is dinamikusan bővült, 2018-ban a megelőző évhez képest 25,5%-kal, a két évvel korábbinál 33,7%-kal több kezességet vállalt. Az új ügyletek között egyre nagyobb a kisebb összegű, egyszerűsített feltételrendszerű, célzott piaci igényekhez igazodóan kialakított kezességi termékek aránya. Továbbra is meghatározó a mikrovállalkozások és a különböző egyéni vállalkozási formák (őstermelők, családi gazdálkodók, egyéni vállalkozások) súlya az Alapítvány portfoliójában.
Az Alapítvány kezességvállalásaihoz kapcsolódó állami viszontgarancia érvényesítése 1,8 milliárd forint volt, ami az eredetileg tervezett 2,4 milliárd forint a tervezett összegnek mindössze 75%-át tette ki. 2018-ban a beváltások száma és összege minimálisan csökkent, a beváltási arány mind az ügyletek darabszáma, mind a kifizetett összeg alapján szintén csökkent. Az átlagos beváltás összege a 2017. évi 11,9 millió forintról 2018-ban 12,8 millió forintra nőtt.
10) A költségvetési törvény 52. § -a szerint állami kezesség áll fenn a Diákhitel Központ Zrt-nek (továbbiakban: DHK) a diákhitel rendszer finanszírozására felvett hiteleiből, illetve kibocsátott kötvényeiből eredő fizetési kötelezettségei mögött.
A felsőoktatás finanszírozási formáinak átalakításához kapcsolódóan a DHK 2012 októberétől a korábbi szabad felhasználású diákhitel 1 termék mellett bevezette a kötött felhasználású diákhitelt (diákhitel 2). A diákhitel 2 kizárólag a felsőoktatási képzés önköltségének finanszírozására vehető igénybe állami kamattámogatás mellett.
A diákhitelt igénybe vevő hallgatók kumulált száma 2018 végére meghaladta a 398 ezer főt. 2018. december 31-én a diákhitel állomány összege meghaladta a 248 milliárd forintot. 2018-ban 13,7 milliárd forint hitelt folyósított a DHK a hallgatóknak.
A DHK 2018. évre vonatkozó finanszírozási tervét az államháztartásért felelős miniszter hagyta jóvá. A DHK adósságállománya 2018 végén összesen 203,2 milliárd forint volt. Az igénybe vett források:
- MFB Magyar Fejlesztési Bank Zrt.: 111,3 milliárd forint,
- Európai Beruházási Bank: 80,6 milliárd forint,
- Takarékbank stand-by hitel: 0,2 milliárd forint,
- Kötvények: 11,0 milliárd forint.
Kezesség beváltására a DHK forrásbevonásai kapcsán 2018 végéig nem került sor.
11) Az állami támogatással felvett agrárhitelek nagy része hosszú lejáratú - nem ritkán 15-20 éves futamidővel, az állam által vállalt kötelezettségek 2017-2025-ig (kamattámogatás esetén 2027-2028-ig) fennállhatnak. 2018. év végére az agrárhitelekhez kapcsolódó kezességállomány 5 millió forintról 1 millió forintra csökkent.
Az agrárgazdasági kezességérvényesítés miatt tervezett 10 millió forint összegű beváltási előirányzat terhére kifizetés nem történt, figyelemmel a kezességgel érintett állomány kifutására.
12) Az állam a közszférában foglalkoztatottak számára - hét ágazati törvény alapján -, valamint a fiatalok otthonteremtésében a lakáscélú hitelekhez jutást kezességvállalással könnyítette meg. A bajba jutott lakáshitelesek számára két típusú állami kezesség nyújtott segítséget, ezek az ún. áthidaló és a gyűjtőszámla hitelekhez kapcsolódtak. (Mindezek együttesen lakáskezességek).
2018. év végén a lakáshitelek állománya együttesen 42 milliárd forintot tett ki, az állomány folyamatos csökkenése mellett. A lakáshitelek meghatározó részét mind az állomány (23,4 milliárd forint), mind a hitelek száma tekintetében a fiatalok lakáskölcsönei (ún. fészekrakó hitelek) teszik ki.
Az összes állami kezességgel biztosított lakáscélú hitelállomány nagy része az OTP Jelzálogbanknál (57,3%) és a CIB Banknál (23,0%) áll fenn, a maradék 19,7%-on 15 hitelintézet osztozott.
A tavalyi év során a lakáshitelezéssel (közszféra, fészekrakó, áthidaló, gyűjtőszámla) kapcsolatban eredetileg előirányzott 1,6 milliárd kezességbeváltásból végül 0,3 milliárd forint került kifizetésre. E kezesség érvényesítési kiadások meghatározó része - az állományi arányokhoz hasonlóan - az un. "fészekrakó" programhoz kapcsolódott.
13) A takarékbetétről szóló 1989. évi 2. törvényerejű rendelet 1993. június 30-áig hatályban volt 4. § (1) bekezdése szerint a takarékbetét összegének visszafizetéséért az állam helytáll. A rendelkezést hatályon kívül helyező törvény előírta, hogy az állam az 1993. június 30. előtt kötött betétszerződések alapján elhelyezett pénzeszközök tekintetében továbbra is helytáll, amely az Áht. alapján állami kezességvállalásnak minősült.
A Nemzetgazdasági Minisztérium és az Országos Betétbiztosítási Alap (OBA) között 2014. szeptember 18-án - az Orgovány és Vidéke Takarékszövetkezet "f.a."-nál állami kezességvállalás mellett elhelyezett betétek kártalanítása céljából - megkötött megbízási szerződés alapján 0,7 millió forint, az április 14-én - a BRB Buda Regionális Bank Zrt. "f.a."-nál állami kezességvállalás mellett elhelyezett betétek kártalanítása céljából -megkötött megbízási szerződés alapján 0,6 millió forint átutalására került sor az elszámolások alapján az OBA számlájára 2018-ban.
14) 2013. II. félévben indult a KAVOSZ Zrt. által, a fuvarozóknak nyújtott ún. E-útdíj hitelkonstrukció az állam forrásoldali és eszközoldali készfizető kezessége mellett, a megtett úttal arányos útdíj fizetési kötelezettség finanszírozásának könnyítése érdekében. A konstrukció - a korábbi időszakban már jellemző alacsony kihasználtság után -2018-ban lényegében kifutott. A viszonylag kis összegű állomány mellett a tervet meghaladó, de összegében nem jelentős (21,6 millió forint) beváltás történt.
2.13. Egyéb kiadások
Az egyéb kiadások tényleges teljesítése 95,6 milliárd forintot tett ki, amely meghaladta a törvényi előirányzatot (az előirányzat 111,0%-a). A mérlegsort képező tételek közül az alábbiak emelendőek ki:
A peres ügyekkel kapcsolatosan összesen 2,3 milliárd forint kifizetésére került sor. Ezen belül kiemelendő az ICSID /Beruházási Viták Rendezésének Nemzetközi Központja/ által hozott ítéletek alapján átutalt 1,7 milliárd forint.
Az adóbevallások feldolgozása és a kedvezményezettek igazolása alapján a személyi jövedelemadó 1%-ának közcélú felhasználására történő felajánlásokból 8,3 milliárd forintot utaltak át a civil kedvezményezettek javára, amely kevesebb lett az eredetileg tervezetthez képest (az előirányzat 87,7%-a).
A Magyar Államkincstár által lebonyolított pénzforgalommal kapcsolatosan 5,6 milliárd forint kiadás teljesült, amely meghaladta a tervezettet (az előirányzat 118,6%-a). Itt kerültek elszámolásra a kincstári átutalásokhoz kapcsolódó GIRO díjak, VIBER forgalmi jutalékok, bankközvetítői díjak, MNB jutalékok, postai szolgáltatás díjai, SWIFT szolgáltatási díjak, KELER értékpapír számlavezetési díjak, valamint egyéb más díjak is.
A filmszakmai támogatások közvetett finanszírozása címén kifizetett 30,3 milliárd forint több mint tízszerese volt az előirányzatnak. A jelentős túlteljesülés fő oka a finanszírozási rendszer 2016. év végén történt változása.
A kormány a 32/2018. (III. 5.) számú rendeletében döntött a SZEVIÉP Zrt. károsultjainak rendkívüli állami kárrendezéséről. Ezen célra a 2018. évben a kormány új előirányzatot hozott létre, és átcsoportosítással 5,0 milliárd forint forrást biztosított ezen kiadásra. A célra a 2018. év folyamán végül 2,7 milliárd forint, az előirányzott összeg 53,3%-a került kiutalásra.
A nemzetközi pénzügyi kapcsolatokból eredő kiadások - az egyes nemzetközi pénzügyi intézmények részére fizetett alaptőke-hozzájárulások és tagdíjak - 2,8 milliárd forintot tettek ki 2018-ban, mely megegyezett a tervezettel (az előirányzat 99,7%-a).
Az adósságszolgálat teljesítésével kapcsolatos járulékos kiadások 32,4 milliárd forintot tettek ki, mely jelentősen elmaradt a tervezettől (az előirányzat 62,9%-a). Ennek döntő oka az értékesítési jutalékok 2018-ban több lépésben végrehajtott jelentős csökkentése volt.
2.14. Hozzájárulás az EU költségvetéséhez
Az EU költségvetését illető hozzájárulási kötelezettség 2018. évi összege 316,5 milliárd forintot tett ki, amely összeg 6,5 milliárd forinttal (2,1%-kal) magasabb a tervezett előirányzathoz (309,9 milliárd forint) képest. A tervezett és a teljesült kiadás közötti eltérést az uniós költségvetés év során végzett módosításai, valamint az uniós költségvetés tervezéséhez használt, illetve tényleges főösszegének és a befizetés forint/euró árfolyamának eltérése magyarázza.
2.15. Állami vagyonnal kapcsolatos kiadások
Az állami vagyonnal kapcsolatos kiadások alapvetően az állami vagyonról szóló és a Nemzeti Földalapról szóló törvények hatálya alá tartozó vagyonnal való gazdálkodással összefüggő kiadásokat foglalták magukban. Az állami vagyongazdálkodás kifizetései azonban nemcsak a két, nevesített költségvetési vagyonfejezet teljesítéseit, hanem a törvény útján, vagy miniszteri rendeletben kijelölt tulajdonosi joggyakorlói feladatot ellátó egyes fejezetek elkülönítetten megjelenő tulajdonosi ügyleteinek tételeit is tartalmazták.
Az Áht. szerint az állami vagyonnal összefüggő kiadások többsége megjelenik a központi költségvetés mérlegében, egy részük (pl. a kölcsönnyújtások, kötvény visszafizetés) azonban finanszírozási kiadásnak minősül, amely nem érinti a központi költségvetés egyenlegét.
Az állami vagyonnal kapcsolatos költségvetési kiadások 305,6 milliárd forintot tettek ki a 2018. évben. Az év során megvalósult törvényi módosítások, kormány-, illetve miniszteri hatáskörben jóváhagyott átcsoportosítások a vagyonkiadások eredetileg 322,2 milliárd forint összegű előirányzatát összességében 282,0 milliárd forintra csökkentették. Az állami vagyon kiadásainál mind az ingatlan-beruházások és vásárlások, mind a társasági portfolió tételeit átrendezték az évközi módosítások, az előirányzat-csökkenés alapvetően a Paks II. Atomerőmű Zrt. tőkeemelésénél és az MNV Zrt. ingatlan-beruházási sorainál jelentkezett.
A tényleges kiadások 23,6 milliárd forinttal meghaladták a módosított előirányzatot, amely a külön módosítás nélkül túlteljesíthető előirányzatok terhére teljesített kifizetések következménye:
- a Richter részvényre átcserélhető kötvény kamatfizetési során, a kötvények visszavásárlása kapcsán elszámolt többlet;
- korábbi tulajdonosi szerepvállaláshoz kötődő helytállási kifizetés;
- az MNV Zrt. által vitt ingatlan projektekhez kapcsolódó ÁFA-kifizetések.
A vagyon kiadásokon belül jelentős a társaságokkal kapcsolatos kiadások 164,1 milliárd forintos összege, melynek jelentős része a tőkeemelési és részesedésszerzési célú kifizetések 2018. évi összege, együttesen 82,0 milliárd forintot tettek ki. A 2018. évben az alábbi jelentősebb akvizíciók, fejlesztési és likviditási célú tőkeemelések valósultak meg:
- Paks II. Atomerőmű Zrt. 14,0 milliárd forint összegű tőkeemelése részben az erőmű beruházás, részben a társaság működésének és tevékenységének finanszírozását szolgálta;
- a paksi projekthez közvetve és közvetlenül kapcsolódó Közép-Duna menti térségfejlesztési feladatok finanszírozására a PIP Közép-Duna Menti Térségfejlesztési Nonprofit Kft. együttesen 37 milliárd forint összegű tőkeemelésben részesült;
- Récsei Holdings Ingatlanhasznosító Kft. 3,3 milliárd forint per-, teher- és igénymentes társasági részesedésének állam javára szóló megszerzése;
- Grand Tokaj Zrt. Társaság részére tőkeemelésre, továbbá korábban megkezdett beruházási projektjének befejezéséhez kapcsolódóan 2,6 milliárd forint;
- NFP Nonprofit Kft. 2,9 milliárd forint tőkeemelésben részesült működésének és a közreműködésével megvalósuló projektek finanszírozása érdekében.
A társaságokkal kapcsolatos kiadásokon belül, támogatásként 82,1 milliárd forintot nyújtott az állam tulajdonosként társaságainak. Ezen belül a Nemzeti Hulladékgazdálkodási Koordináló és Vagyonkezelő Zrt. működésének finanszírozására és a hulladékgazdálkodási rendszerben betöltött szerepének teljesítése érdekében 2018. év során együttesen 35,8 milliárd forint támogatásban részesült.
A regionális víziközmű társaságok (TRV Zrt., ÉRV Zrt., ÉDV Zrt., DMRV Zrt.) együttesen 7,7 milliárd forint támogatást kaptak 2018. évben feladataik ellátására.
A Magyar Nemzeti Filmalap Közhasznú Nonprofit Zrt. filmszakmai tevékenységének, a Magyar Nemzeti Filmarchívum épületének felújítása, illetve működésének finanszírozását 10,8 milliárd forint szolgálta.
Az állami vagyongazdálkodási közfeladatot ellátó MNV Zrt. működését 7,6 milliárd forint összegben finanszírozta az állam.
A fennmaradó 17,2 milliárd forint támogatásból 12 milliárd forint nagyságrend adta a minimálbér-emelésből és a garantált bérminimum-emelésből eredő közvetlen és közvetetett bérfejlesztések kormány által jóváhagyott megvalósításának forrását.
Ingatlanokkal és ingóságokkal kapcsolatos kiadások esetében a módosított előirányzat kismértékben alulteljesült, összesen 75,7 milliárd forint került felhasználásra.
Az állami vagyon kiadásai között megjelenő ingatlan-beruházási és vásárlási kiadások döntő része 60,8 milliárd forint az MNV Zrt. tevékenységéhez kötődik.
Az MNV Zrt. ingatlanvásárlásokra, költségvetési szervek elhelyezésére 6,7 milliárd forintot fordított. Modern Városok Program végrehajtását szolgáló projektek kiadásai együttesen 8,9 milliárd forintot tettek ki. Sportcélú ingatlanok vásárlására és beruházásaira együttesen 7,8 milliárd forintot fordított a költségvetés. A Hungexpo fejlesztése - az oda tervezett kiemelt eseményekre figyelemmel - 3,8 milliárd forinttal növelte az állami vagyon kiadásait.
A Nemzeti Eszközkezelő Zrt. 2018. évben mintegy 5,4 milliárd forintot használt fel az ingatlanvásárolások finanszírozására, összesen 1503 db ingatlant vásároltak meg.
Az MNV Zrt. tulajdonosi joggyakorlása alá tartozó ingatlanok fenntartására a költségvetési törvény eredetileg 8,6 milliárd forintot biztosított, ez az összeg év közben 10,3 milliárd forintra módosult. Az üzemeltetési és őrzési költségek kapcsán a tényleges kifizetés ezen a jogcímcsoporton együttesen 10,0 milliárd forint volt a Nemzeti Eszközkezelő Zrt. által kezelt ingatlanok fenntartásával, karbantartásával együtt.
A Nemzeti Földalap 5,4 milliárd forintot fordított termőföldek vásárlásra, így az év közben 4,5 milliárd forinttal megnövelt kiadási előirányzat felhasználása 93,3%-os teljesítést jelentett. A módosítás oka és a kiadások döntő része a mező- és erdőgazdasági földek forgalmáról szóló törvény szerinti sikertelen végrehajtás- és felszámolási eljárások nyomán keletkezett állami termőföld vásárlási kényszerhez kapcsolódott. A termőföldvételi kiadások kiterjedtek továbbá mind az 1/1 arányú ingatlanok megszerzésére, mind az osztatlan közös tulajdoni hányadok csökkentését szolgáló tulajdonosi közösségek megszüntetésére.
Az ingatlanokhoz kapcsolódó kiadások jelentős részét képezte a termőföldek után fizetett életjáradék 9,1 milliárd forintos összege. A járadékosok száma 2018-ban - az előző évekhez hasonlóan csökkenő tendenciát mutatva - mintegy14 500 fő volt. Az életjáradék ellenében az államhoz került, többségében nehezen hasznosítható, míg kisebb részben hasznosíthatatlan (számos esetben osztatlan közös tulajdonban lévő), elszórtan elhelyezkedő, kisebb térmértékű termőföldek hozadéka nem fedezi az éves életjáradék fizetési kötelezettségeket.
A fenti két kategória egyikébe sem tartozó egyéb kiadásokra 65,8 milliárd forintot fordított az állam, mely a módosított előirányzatot 32,4 milliárd forinttal haladta meg. Az eltérés jellemzően az automatikusan túlteljesülő előirányzatoknál jelentkezett. Ezek legjelentősebb tétele a korábban az MNV Zrt. által a magyar állam nevében kibocsátott, Richter részvényre átcserélhető kötvény kamatfizetései és a kötvénycsomag visszavásárlása kapcsán kamatjellegű kiadásként elszámolt összeg volt, ez utóbbi 18,5 milliárd forint előirányzat túllépést eredményezett. A visszavásárlással e sajátos államkötvény csomag megszűnt, az államadósság kezelés költségei egységesen a központi költségvetés XLI. fejezetében jelennek meg.
2018-ban az állami vagyon kapcsán felmerülő finanszírozási jellegű kiadásokat az ún. Richter kötvény visszavásárlására fordított 280,4 milliárd forint adta.
B.
Az államháztartás központi alrendszere hiánya, finanszírozása, az államadósság kezelése
1. A központi költségvetés finanszírozása
Makrogazdasági és finanszírozási környezet 2018-ban
2018 egészét tekintve az állampapír-piacon minden lejáraton emelkedtek a hozamok. A rövid állampapír-piaci hozamok 2018 első négy hónapja során nulla közelében ingadoztak. A kötvényhozamok 2018 első harmadában emelkedtek, főleg a szigorodó fejlett piaci monetáris politika (amerikai kamatemelések, Európában a mennyiségi lazítás kivezetése) következtében. Májusban a rövid és a hosszú hozamszintek - elsősorban külső tényezők (nyugat-európai politikai helyzet, kereskedelmi háború, argentin és török válság) következtében - egyaránt emelkedtek. A nyár folyamán korrekció következett be. Július végétől október közepéig jellemzően emelkedtek a hosszú hozamok, amiben szerepet játszott az argentin és török árfolyamválság is. Szeptemberben az MNB bejelentette, hogy felkészült a monetáris politika óvatos, fokozatos normalizációjára, a rövid hozamokra ható eszköztár egyszerűsítésére, a hosszú hozamokra ható eszköztár finomhangolására. A jegybank a forintlikviditást nyújtó swapállomány és a kamatfolyosó révén alakítja a monetáris kondíciókat. A három hónapos betétállományt az év végére kivezették. A hosszú hozamokra ható nem konvencionális eszköztár esetében a monetáris célú kamatcsere ügyletek (MIRS) és jelzáloglevél-vásárlási program 2018 év végéig kivezetésre került.
A referenciahozamok 2018 decemberének végén az egy évvel korábbinál magasabb szinten álltak. A legrövidebb, 3 hónapos lejáraton egyetlen bázisponttal, a 6 és 12 hónapos lejáratokon 0,1-0,4 százalékponttal emelkedtek a forinthozamok. A legnagyobb mértékben az 5 éves referenciahozam emelkedett, 1,4 százalékponttal, a 3, valamint a 10 és 20 éves lejáratokon ennél kisebb mértékben, 0,7-1,1 százalékponttal emelkedtek a forinthozamok.
Az aukciós hozamok alakulása lényegében a referenciahozamok mozgását követte. Az éven belüli aukciós hozamok (a likviditási kincstárjegy aukció nélkül) 0,0-0,3 százalékponttal emelkedtek az év végéig. A 3, 10 és 20 éves lejáratokon 0,7-1,3 százalékponttal, az 5 éves lejáraton 1,6 százalékponttal nőtt az aukciós átlaghozam. Az 5 éves referenciahozam és aukciós-hozam átlagfeletti emelkedését elsősorban az okozta, hogy az ÁKK 2018 nyarán új 5 éves referenciakötvényt bocsátott ki, aminek hátralévő futamideje közel 2 évvel hosszabb volt a régi referenciakötvénynél. Az átlagos fedezettség a kincstárjegy-aukciókon 2,0-t, míg a kötvényaukciókon 2,4-et ért el.
2018 folyamán az euró árfolyama a 308,33-330,04 forint/euró közötti sávban mozgott. Az euró átlagos árfolyama 2018-ban 318,87 forint/euró, év végi árfolyama 321,51 forint/euró volt, ami jelentősen gyengébb volt az előirányzatkor tervezett 309,30 forint/euróval szemben.
A külföldiek forint állampapír-befektetései 2018-ban 575,5 milliárd forinttal, 3960,9 milliárd forintra emelkedtek.
A finanszírozási igény alakulása
A kincstári kör hiánya 1445,4 milliárd forint volt. A nettó finanszírozási igényt mérsékelte az EU transzferekkel és egyéb forrásokkal kapcsolatos 582,2 milliárd forintos pozitív egyenleg.
A kincstári elszámolási rendszerből látható hiány nem egyezik meg a normaszövegben megjelenített, helyi önkormányzatok nélküli államháztartási hiánnyal. Ennek oka az éves költségvetési beszámolók és a kincstári nyilvántartás szerinti teljesítési adatok közötti eltérések, amelyek elsősorban a következőkből adódnak:
- a kereskedelmi banknál vezetett fizetési számlák és a házipénztárak kincstárba be nem jelentett forgalma;
- a költségvetésen kívül kezelt tételek kincstárba be nem jelentett rendezése.
A bruttó finanszírozási igény a nettó finanszírozási igény, valamint az adósságtörlesztések összegeként adódik. Az eredeti futamidejét tekintve éven túli futamidejű államadósság törlesztések és bevonások az alábbiak szerint valósultak meg:

*A tervezett forintkötvény törlesztés 1628,3 milliárd forint volt. Az ezt jóval meghaladó törlesztés a következő években lejáró kötvények visszavásárlásával és hosszabb kötvényre történő cseréjével függ össze.
A finanszírozás alakulása a 2018. év során
A 2018. évi előirányzat tervezése során a finanszírozási terv a hatályos államadósság-kezelési stratégia alapján került meghatározásra. Az államadósság-kezelés kiemelt célja a csökkenő államadósság ráta, az államadósság devizaarányának mérséklése és a közvetlen lakossági tulajdonú állampapír állomány további növelése volt. További stratégiai célkitűzések voltak a forintpiac továbbfejlesztése, a piaci likviditás erősítése és a lakossági állampapír állomány futamidejének növelése. A 2018. év során folyamatosan teljesültek az adósságkezelési stratégia részét képező, az adósság szerkezetére vonatkozó teljesítménymutatók.
A 2018. évi költségvetési hiány finanszírozása döntően forintkibocsátásokkal, 1301,7 milliárd forint összegű piaci és lakossági államkötvény értékesítésével történt. Ezen felül a hiány finanszírozását szolgálta a szintén forintban folyósított kedvező kamatozású célhoz kötött projektfinanszírozó hitel 143,7 milliárd forint értékben.
A 3325,3 milliárd forint értékű adósság-visszafizetés finanszírozása érdekében 2953,5 milliárd forint értékű forint-államkötvény kibocsátására, 39,0 milliárd forint belföldi és 174,1 milliárd forint külföldi devizakötvény, valamint 158,8 milliárd forint összegű kincstárjegy állománynövekedésre került sor.
A likviditáskezeléssel kapcsolatos műveletek során 28,6 milliárd forinttal növekedett a kincstárjegyek állománya, valamint 303,4 milliárd forint külföldi devizakötvény kibocsátására került sor. A KESZ záró állománya 2018-ban 755,8 milliárd forinttal növekedett az előző év végéhez képest, amely főként abból adódott, hogy az év során a várthoz képest, összefüggésben az EU-tól érkezett pénzek terven felüli teljesülésével és a kormányzati intézkedésekkel, a pénzforgalmi hiány kedvezőbben alakult.
Az alábbi táblázat az egyes adósságinstrumentumok nettó kibocsátásának eredeti előirányzatban szereplő és ténylegesen megvalósult értékeit tartalmazza.
Nettó kibocsátás 2018-ban
milliárd forintban

A 2018. évi nettó kibocsátás az előirányzathoz képest nagyobb összegben és eltérő szerkezetben valósult meg. A kedvező piaci és lakossági kereslet következtében az elmúlt években lehetőség volt a devizaadósság nagymértékű csökkentésére és a nettó forintkibocsátás növelésére. A finanszírozásban folytatódott a lakossági állampapírok előző években elkezdődött értékesítésének növekedése. A nettó kibocsátás 2018-ban 1777,4 milliárd forint volt, amelyen belül a nettó forint kibocsátás lényegesen nagyobb volt, mint ami az év eleji tervekben szerepelt. A jelentős mértékű negatív nettó deviza-kibocsátás azt jelenti, hogy a devizaadósság összege is nagymértékben csökkent 2018-ban, ami a devizaadósság arányának 20%-ra csökkenését eredményezte.
A forint államkötvénypiacon a kedvező piaci helyzetre reagálva a bruttó forint államkötvény kibocsátás jelentősen meghaladta a tervezettet, részben a tervben nem szereplő csereaukciókkal is összefüggésben. A csereaukciók által a törlesztés is jóval magasabb lett, mint ami a tervekben szerepelt, illetve a kedvező likviditási helyzetben nagyobb összegben vásárolt vissza későbbi években lejáró államkötvényt az ÁKK.
A diszkontkincstárjegyek nettó kibocsátása csökkent a többlet likviditás mérséklése érdekében, ami egyúttal kedvezően hatott az államadósság hátralevő futamideje szempontjából, csökkentve a megújítási kockázatot. A lakossági állampapírok állománya a versenyképes hozamok következtében 2018-ban is nagymértékben, 712,9 milliárd forinttal nőtt. Bár a növekedés némileg elmaradt a korábbi évek 1000 milliárdot meghaladó növekedésétől, szerkezetében sokkal inkább összhangban állt az adósságkezelési célokkal, mivel a növekedés teljes egészében a háztartási szektor vásárlásából adódott. A növekedéshez elsősorban a Prémium Magyar Állampapír és a Kétéves Magyar Állampapír járult hozzá.
Állampapírok értékesítése
Forintfinanszírozás
Az adósságkezelés 2018-ban is törekedett arra, hogy az állam forrásbevonása során a hosszabb futamidejű, 3, 5 és 10 éves futamidejű, piaci finanszírozást biztosító államkötvények játsszanak meghatározó szerepet. Az irántuk mutatkozó kereslet következtében a terveket folyamatosan meghaladták a kibocsátások.
2018-ban a változó kamatozású 3 éves és 5 éves kötvényen kívül minden további kötvényt fix kamatozással értékesített az ÁKK Zrt. Az egyes futamidőket tekintve a kötvénysorozatok piacra bocsátott mennyiségét a következő táblázat mutatja be:
A 2018. év során kibocsátott kötvénysorozatok

*Változó kamatozású kötvény
A kötvényaukciók során elfogadott összes mennyiségen belül a szokásos módon az 5 éves államkötvények aránya volt a legmagasabb. A bruttó kötvénykibocsátás futamidő szerinti szerkezetén belül az előző évhez képest a 3, 5 és 10 éves kötvények részesedése növekedett, a 20 éves futamidejű kötvények részesedése csökkent az előző évi 15 éves kötvény részesedéséhez képest.
A nemzetközi és a belföldi állampapír-piac tendenciáira tekintettel az ÁKK Zrt. rugalmas aukciós rendszert alkalmaz, amelynek szerves részét képezi a nem kompetitív kötvényértékesítés. A rendszer lehetőséget teremt arra, hogy amennyiben a piaci igények jelentősen meghaladják az aukción elfogadásra került összeget, akkor további befektetők tudjanak államkötvényekhez jutni. Az ily módon értékesített kötvények összege 381,7 milliárd forintot ért el 2018-ban, ami jelentős részét képezi a tervet meghaladó kötvényértékesítésnek.
A nagy lejáratok okozta likviditás-ingadozások kezelése és a lejárati kockázat csökkentése érdekében meghirdetett aukciós naptár szerinti, rendszeres államkötvény visszavásárlási aukciókra került sor 2018-ban is, összesen 314,2 milliárd forint névértékben. Ezáltal egyenletesebbé vált az államkötvények lejárati szerkezete, csökkent a forintadósság refinanszírozási kockázata.
2018-ban a finanszírozás alakulása lehetővé tette, hogy a diszkont kincstárjegyek elsősorban likviditás-kezelési szerepet töltsenek be, a nettó értékesítés 198,1 milliárd forintot tett ki.
A forint finanszírozás növelése és a belföldi lakossági állampapírok súlyának emelése érdekében az ÁKK Zrt. versenyképes árazással, termékpaletta szélesítésével, az értékesítési hálózat folyamatos bővítésével tovább növelte jelenlétét a belföldi lakossági piacon. 2018-ban az ÁKK szűkítette a lakossági állampapírok vásárlói körét, azaz 2018 április közepétől már csak magánszemélyek vásárolhatnak lakossági állampapírokat az elsődleges piacon. A lakossági állampapírok nettó kibocsátása 2018-ban újabb rekord szintet ért el, lényegesen hozzájárulva így a forintban történő finanszírozás növeléséhez. A lakossági állampapír állomány bővüléséhez elsősorban a Prémium Magyar Állampapír iránt jelentkező 599,8 milliárd forintos kereslet járult hozzá, azonban jelentős volt még a Kétéves Magyar Állampapír állománynövekedése 123,4 milliárd forint összegben. Az Egyéves Magyar Állampapír nettó értékesítése 2018-ban 60,1 milliárd forintot tett ki, míg a Féléves Magyar Állampapír 98,0 milliárd forinttal, illetve a Bónusz Magyar Állampapír állománya 16,2 milliárd forinttal csökkent, főképpen a vásárlói ügyfélkör szűkítése következtében. Az egy-, illetve kétéves Kincstári Takarékjegyek, valamint a Kincstári Takarékjegy Plusz értékesítése összesen 27,2 milliárd forinttal növekedett a postán. A Babakötvényből 16,6 milliárd forint értékben vásároltak 2018 során. 2018-ban a hosszú futamidejű lakossági állampapírok növekedése meghaladta a teljes állomány növekedését, a rövid futamidejű lakossági állampapírok állománya nominálisan csökkent.
Az egyes infrastrukturális, környezetvédelmi, oktatási és fejlesztési programok finanszírozására az állam forinthitelt vett fel nemzetközi fejlesztési intézetektől (Európai Beruházási Bank, Európa Tanács Fejlesztési Bank) 143,7 milliárd forint értékben.
A forintadósság átlagos hátralevő futamideje 2017. és 2018. év végén az alábbiak szerint alakult:

Devizafinanszírozás
2018 első negyedévében 30 milliárd japán jen, azaz 71,3 milliárd forint értékű Szamurájkötvény kibocsátására került sor. 2018 második felében 323,4 forint értékű, 1 milliárd euró összegű devizakötvény kibocsátása valósult meg.
Az euróban kibocsátott devizakötvény teljes egészében visszavásárolt devizakötvény törlesztésére lett fordítva, így az sem az adósságot, sem a devizaarányt nem növelte az adósságon belül. Emellett piacfenntartási és diverzifikációs céllal sor került a kínai Panda kötvényprogramból még fennmaradó 2 milliárd jüan, azaz 82,8 milliárd forint összegű kötvény kibocsátására 2018-ban.
A devizakötvény kibocsátások főbb jellemzőit a következő táblázat részletezi:

A belföldi finanszírozás részeként egy új Prémium Euró Magyar Állampapír kibocsátására került sor összesen 39,0 milliárd forint értékben, melynek jellemzőit a következő táblázat részletezi:
Prémium Euró Magyar Állampapír

2. A költségvetés adósságának alakulása
A központi költségvetés 2018. év végi bruttó adóssága 28 688,2 milliárd forintot tett ki. A 2018. év során a központi költségvetés adóssága nominálisan 1942,0 milliárd forinttal (7,3%-kal) növekedett a 2017. év végi 26 746,2 milliárd forintos szinthez képest. 2018-ban a központi költségvetés adóssága a GDP 68,9%-áról annak 67,2%-ára, azaz 1,7% ponttal csökkent.
Az adósság tervezettől kismértékben eltérő szintjét a tervet jelentősen meghaladó nettó kibocsátás és a forintnak az euróhoz képest a vártnál nagyobb mértékű gyengülése okozta, amelyet tompított az egyéb kötelezettségek csökkenése.
Az év végén a tényleges devizaárfolyam 321,51 forint/euró volt, ami a 2018. évre tervezett 309,30 forint/eurónál lényegesen gyengébb árfolyam. Ez az év végi deviza adósság forintban kimutatott értékének növekedését okozta, a forint euróhoz képesti leértékelődése a devizaadósságot 208,8 milliárd forinttal emelte. Az év végi deviza keresztárfolyamok 2018-as változása és egyéb műveletek következtében 106,8 milliárd forinttal csökkent az egyéb kötelezettségként kimutatott az ÁKK Zrt.-nél elhelyezett devizabetét, így az államadósság is.
A deviza államadósság kockázatainak csökkentése érdekében az ÁKK Zrt. swapműveleteket köt. A nemzetközi piaci szokványok alapján a swap műveletek miatt fennálló partnerkockázatok csökkentése érdekében a felek a swapok nettó értékének megfelelő fedezetet (betétet) helyeznek el egymásnál, amiből az adósságállomány részét képezik az ezen ügyletek után az ÁKK Zrt.-nél elhelyezésre került fedezeti összegek (az ún. mark-to-market betétek) az egyéb kötelezettségek soron. Az e jogcímen elhelyezésre kerülő betét azt mutatja, hogy a nem euróban kibocsátott devizakötvények értéke mennyivel növekedett volna az államadósságon belül az euró kötvényekhez képest, ha nem lett volna átváltva arra. A nem euró devizakötvények és az azokra kötött swapok lejáratakor a swapon elért megtakarítást az állam realizálja, mivel a törlesztés az adósság euró értékének megfelelően alakul. Ezt követően az MtM betétnek a lejárt swapra eső részét az állam visszafizeti a partnernek, annak állománya lecsökken a megtakarítás nagyságával. Az elmúlt években az egyéb devizák (főként az USD) jelentősen felértékelődtek az euróhoz képest, az emiatt keletkező többletadósságot viszont a swapkötéssel sikerült kizárni. 2018 folyamán az egyéb kötelezettségek állománya 274,2 milliárd forintról 167,4 milliárd forintra csökkent, ami a 2018-ban bekövetkezett deviza-keresztárfolyam mozgások, USD kötvény lejárat és egyéb műveletek hatását mutatja.
A központi költségvetés adósságállományának részleteit, illetve az állományváltozás tényezőit az általános indokolás mellékletei között található táblázatok mutatják be adósságelemenkénti bontásban.
C.
AZ ELKÜLÖNÍTETT ÁLLAMI PÉNZALAPOK GAZDÁLKODÁSA
1. A bevételek alakulása
Az elkülönített állami pénzalapok bevételeinek a 68,9%-a, 395,5 milliárd forint adó, illetve adójellegű bevételekből származnak. A Nemzeti Foglalkoztatási Alap (NFA) bevétele az egészségbiztosítási- és munkaerőpiaci járulék NFA-t megillető hányada, amelyből 197,7 milliárd forint, a szakképzési hozzájárulásból pedig 91,7 milliárd forint folyt be. A Nemzeti Kutatási, Fejlesztési és Innovációs Alapba az innovációs járulékból - a befizetésére kötelezett belföldi székhelyű gazdasági társaságoktól - 73,9 milliárd forint bevétel keletkezett. A nukleáris hozzájárulásból, vagyis a Paksi Atomerőmű Zrt. befizetéséből 22,8 milliárd forint bevétele keletkezett a Központi Nukleáris Pénzügyi Alapnak. A Nemzeti Kulturális Alapba az ötös lottó szerencsejáték játékadójának a 90%-ából több mint 9,4 milliárd forint folyt be.
Az elkülönített állami pénzalapok 2018-ban összesen 92,5 milliárd forint költségvetési támogatásban részesültek, ami az összes bevétel 16,1%-a.
A különféle egyéb bevételekből az alapoknál 85,9 milliárd forint keletkezett, ami az összes bevétel 15%-a. E bevételek közük a legnagyobb, 64,7 milliárd forint az előfinanszírozott uniós programok kiadásainak visszatérüléséből származott. Az NFA-ból előfinanszírozott programok - a "GINOP 5.1.1 Út a munkaerőpiacra" és a "GINOP 5.2.1 Ifjúsági Garancia" intézkedések, valamint kisebb összegben a "VEKOP 8.1.1 Út a munkaerőpiacra" és a "VEKOP 8.2.1 Ifjúsági Garancia" intézkedések - támogatásait az EU megtéríti.
2. A kiadások alakulása
Az elkülönített állami pénzalapok 2018. évi költségvetési kiadásának előirányzata 566,3 milliárd forintot tett ki, a teljesítés 566,4 milliárd forint lett.
A Nemzeti Foglalkoztatási Alap teljesített kiadása 389,2 milliárd forint. A "Startmunkaprogram" jogcímen a kifizetés 173,0 milliárd forint lett. 2018. évben célkitűzés volt továbbra is az elsődleges munkaerőpiacról kiszorultak, különösen a munkaerőpiacon hátrányban lévők, a foglalkoztatást helyettesítő támogatásban részesülők, az alacsony iskolai végzettségűek, az álláskereséssel összefüggésben egyéb ellátásra nem jogosult álláskeresők, valamint a tartósan munka nélkül lévők foglalkoztatásának elősegítése. A gazdaság és a munkaerőpiac változásait, szükségleteit figyelembe véve, a közfoglalkoztatottak elsődleges munkaerőpiacra történő kijutásának elősegítése, valamint képzésük támogatása lett a prioritás. A célok megvalósítását értékteremtő, hasznos, a helyi sajátosságokon alapuló, a település önfenntartását elősegítő programok segítették elő. A felhasználás alapvetően három területen történt: a hosszabb időtartamú közfoglalkoztatás, az országos közfoglalkoztatás, valamint a járási startmunka mintaprogramok területén. Ezen fő támogatástípusok mellett egyedi kérelmekre indításra kerültek országos, valamint egyéb mintaprogramok is.
Az előirányzatból az év során átcsoportosításra került 2,0 milliárd forint a "Foglalkoztatási és képzési támogatások" jogcím előirányzatára, mely a "Fókuszban az önkormányzati tagsággal rendelkező közfoglalkoztatás alapjain szerveződő szociális szövetkezetek támogatása" elnevezésű központi munkaerőpiaci program pénzügyi forrását egészítette ki. Az előirányzat fel nem használt részéből az év végén további 16,9 milliárd forint kerül átcsoportosításra más fejezetek kiadási előirányzataira.
Az NFA-ból az álláskeresési ellátások kiadási előirányzata 68,1 milliárd forintban teljesült. Az EU-s elő-és társfinanszírozásra teljesített 80,0 milliárd forintot kitevő összeg a "2014-2020-as időszak munkaerőpiaci programjainak" előfinanszírozását szolgálta. Az alapból a szakképzési és felnőttképzési támogatások 29,9 milliárd forintot, a foglalkoztatási és képzési támogatások pedig 33,0 milliárd forintot tettek ki
A Nemzeti Kutatási, Fejlesztési és Innovációs Alap 67,0 milliárd forint, a Bethlen Gábor Alap 86,9 milliárd forint, a Központi Nukleáris Pénzügyi Alap 12,2 milliárd forint, a Nemzeti Kulturális Alap 11,1 milliárd kiadást teljesített.
A bevételek és kiadások részletezését a "Fejezeti indokolások" kötetek LXII., LXIII., LXV., LXVI., LXVII. fejezetei tartalmazzák.
3. Az egyenleg alakulása
Az alapok költségvetési bevétele 574,0 milliárd forintot, költségvetési kiadása pedig 566,4 milliárd forintot tett ki. Így az elkülönített állami pénzalapok a 2018. évet 7,6 milliárd forint többlettel zárták. Az egyenleg a Nemzeti Kutatási, Fejlesztési és Innovációs Alap 16,7 milliárd forint, a Központi Nukleáris Pénzügyi Alap 15,4 milliárd forint, a Bethlen Gábor Alap 2,5 milliárd forint, a Nemzeti Kulturális Alap 1,2 milliárd forint többletéből, valamint a Nemzeti Foglalkoztatási Alap 28,2 milliárd forint hiányából alakult ki. Az alapoknál - a költségvetési törvényben megállapított 49,3 milliárd forint hiányhoz képest - 56,9 milliárd forintot kitevő egyenlegjavulás keletkezett.
D.
A TÁRSADALOMBIZTOSÍTÁS PÉNZÜGYI ALAPJAINAK GAZDÁLKODÁSA
1. Nyugdíjbiztosítási Alap
Az Ny. Alap 2018. évi költségvetésének teljesítése során megvalósultak a kötelező társadalombiztosítási nyugdíjrendszer alapvető célkitűzései: a nyugellátások értékállóságának, valamint a nyugdíjrendszer stabilitásának, fenntarthatóságának megőrzése.
A Magyarország 2018. évi központi költségvetéséről szóló 2017. évi C. törvény (továbbiakban: költségvetési törvény) az Ny. Alap költségvetését 3361,5 milliárd forint bevételi és kiadási főösszeggel határozta meg, amely a nyugdíjbiztosítási költségvetési szerv működési előirányzatait is tartalmazta.
Az Országos Nyugdíjbiztosítási Főigazgatóság jogutódlással, a Magyar Államkincstárba történő beolvadással 2017. október 31-én megszűnt. Az 1992. évi LXXXIV. törvény 11. § (5) bekezdése alapján az Ny. Alap 2018. évi működési bevételi és kiadási előirányzata -fejezeti hatáskörű módosítással - átvezetésre került az Ny. Alapot kezelő Magyar Államkincstár részére.
Az Ny. Alap törvényi előirányzatai - a működési célú előirányzatok átvezetésén túl - 2018. év végén az alábbiak szerint kerültek módosításra:
- a 2017. évi központi költségvetéséről szóló 2016. évi XC. törvény végrehajtásáról rendelkező 2018. évi LXXXIV. törvény 15. § szerint a bevételi oldalon a Tervezett pénzeszköz-átvétel növekedett az Ny. Alap 2017. évi hiánya megtérítésének összegével (5386, 8 millió forinttal), illetve
- a kormány 1753/2018. (XII.20.) Korm. határozata 1. a) pontja szerint egyaránt azonos összeggel - 906, 7 millió forinttal - növekedett a bevételi oldalon a Tervezett pénzeszköz-átvétel, a kiadási oldalon pedig a Postaköltség előirányzata.
Az Ny. Alap év végi egyenlegét befolyásolta, hogy a költségvetési törvény 33. § (3) bekezdésében adott felhatalmazás alapján a Kincstár intézkedett az Ny. Alap tárgyévi utolsó bevételének beérkezése és az utolsó ellátás kifizetése után többletet mutató pénzforgalmi egyenlegének visszautalásáról, melynek összege 6080,2 millió forint volt.
Az Ny. Alap költségvetése 3352,7 milliárd forint bevételi és 3352,4 milliárd forint kiadási főösszeggel zárta a 2018. évet, így az Ny. Alap egyenlege 0,3 milliárd forint többletet mutat.
Az Ny. Alap bevételeinek módosított előirányzata 3365,8 milliárd forint, a teljesítés 3352,7 milliárd forint volt.
Az Ny. Alap bevételeinek 2018. évi szabályozását az alábbiak jellemezték:
- a szociális hozzájárulási adó előző évi 22,0%-os mértéke 19,5%-ra csökkent,
- a szociális hozzájárulási adó 2018-ban megfizetett összegének Ny. Alapot megillető része az előző évi 71,61%-ról 79,5%-ra növekedett,
- a biztosított által fizetett nyugdíjjárulék mértéke 10%, a bázisévhez képest nem változott;
- az egyéni nyugdíjjárulék - a bázisévhez hasonlóan - továbbra is a teljes járulékalap után fizetendő.
A bevételek döntő hányadát (97,3%-át) a szociális hozzájárulási adó és a biztosítotti nyugdíjjárulék bevételek együttes 3263,4 milliárd forint összege tette ki, amely a 3263,5 milliárd forint előirányzatnál 0,1 milliárd forinttal alacsonyabb. A szociális hozzájárulási adó 1938,3 milliárd forintban, 25,1 milliárd forinttal az előirányzat alatt, a biztosítotti nyugdíjjárulék teljesítése pedig 1325,0 milliárd forint, amely 25,0 milliárd forinttal az előirányzat felett teljesült.
A tervezett pénzeszköz-átvételre 60,6 milliárd forint összegben került sor, melyet befolyásolt az év végi előirányzat-módosításokhoz kapcsolódó teljesítések, illetve a többletet mutató pénzforgalmi egyenleg visszautalása.
A nyugdíjbiztosítási ellátások fedezetéhez az előbbieken túl az alábbi bevételek járultak még hozzá:
- a megállapodás alapján fizetők járulékainak összege 0,8 milliárd forint, amely minimális összegben maradt el az előirányzattól;
- az egyszerűsített foglalkoztatás utáni közteher jogcím bevétele 17,8 milliárd forint, amely 2,1 milliárd forinttal meghaladta az előirányzatot;
- a késedelmi pótlék és bírság teljesítése 4,5 milliárd forint, amely 4,0 milliárd forinttal az előirányzat alatt maradt;
- a nyugdíjbiztosítási tevékenységgel kapcsolatos egyéb bevételek jogcímen 5,6 milliárd forinthoz jutott az Ny. Alap, amely 0,6 milliárd forinttal magasabb az előirányzatnál.
Az Ny. Alap kiadásainak módosított előirányzata 3350,7 milliárd forint, a teljesítés 3352,4 milliárd forint volt.
Az Ny. Alap kiadásainak meghatározó részét (99,8%-át) a nyugellátások nyugdíjprémiumot is tartalmazó kiadása képezi. A nyugellátás kiadások összességükben 3346,7 milliárd forintot tettek ki, mely éves átlagban 2 millió 165 ezer fő ellátását fedezte. A teljesítés 3,4 milliárd forinttal magasabb a 3343,3 milliárd forintos előirányzatnál. Az öregségi nyugdíjakon belül a kiadás előirányzathoz viszonyított növekedése a korhatár feletti öregségi nyugdíjak esetében 1,1%. A nők korhatár alatti nyugellátási kiadása 9,5%-kal alacsonyabb a tervezettnél, mely elsődlegesen a tervezettnél alacsonyabb létszámbeáramlásból adódott. A hozzátartozói nyugellátásokra fordított kifizetések összege 1,3%-kal alacsonyabb lett az előirányzatnál.
Az előző évhez képest összességében 5,2%-kal - 163,5 milliárd forinttal - emelkedett a nyugdíjba nem beépülő nyugdíjprémium, illetőleg egyszeri juttatás kifizetése nélküli nyugdíjkiadás. A kiadások növekedésében alapvető szerepet játszó tényező az átlagos ellátás változása. Az 5,1%-os átlagnövekedést részben az éves szintű 3%-os nyugdíjemelés, részben pedig az új ellátások magasabb összege (az ún. cserélődés) eredményezi. A kiadások növekedésében a létszámváltozás szerepe csekély, a vizsgált időszakban 0,1%-os.
Az öregségi nyugdíjasok létszáma emelkedett, elsősorban az 1954-ben születettek miatt, akik a 63,5 éves nyugdíjkorhatárt 2017. II. félévében és 2018 első félévében érték el. Mindkét időszak folyamata - áthúzódó, illetve közvetlen hatás révén - emelte az ellátottak létszámát. Másfelől tovább folytatódott a hozzátartozói nyugellátások létszámának csökkenése. E két folyamat együttesen eredményezte a mintegy 1,2 ezer fős, tehát 0,1%-os létszámnövekedést.
A 2018. januári nyugdíjemelés 3%-os volt, amely 94,1 milliárd forintos éves kiadási hatással járt.
2018. november hónapban nyugdíjprémium, illetőleg egyszeri juttatás kifizetésére is sor került. Az Ny. Alapot terhelő nyugdíjprémium kiadása 2018. évre vonatkozóan 33,5 milliárd forint, az egyszeri juttatásra jogosultak részére kifizetett összeg 2,4 milliárd forint volt.
A 3,0%-os nyugdíjemelés és a nyugellátások átlagának 5,1%-os emelkedésével szemben a nyugdíjasok 2018. évi inflációja 2,7%-os volt, így a nyugdíjak vásárlóértéke mindkét szemléletben emelkedett.
A nyugdíjbiztosítás egyéb kiadásainak összege 5,7 milliárd forint, amely 1,7 milliárd forinttal elmaradt az éves módosított előirányzattól. Az e csoportba tartozó kiadások meghatározó hányadát - 84,2%-át - az ellátások folyósításának postaköltségei adták. A 4,8 milliárd forint összegű postaköltség a 2018. év végi, visszamenőleges hatályú posta-tarifa megállapodásból eredő fizetési kötelezettség teljesítését is tartalmazza. Az egyéb kiadások összege 0,9 milliárd forint volt.
2. Egészségbiztosítási Alap
A költségvetési törvény az E. Alap 2018. évi költségvetését 2319,1 milliárd forint bevételi és ugyanekkora kiadási főösszeggel határozta meg.
Az E. Alap 2350,1 milliárd forint bevételi és 2434,1 milliárd forint kiadási főösszeg mellett közel 84 milliárd forint összegű hiánnyal zárta az évet. A tervezettől való eltérést a bevételek (31,0 milliárd forint) és a kiadások (115,0 milliárd forint) túlteljesülése okozta.
Az E. Alap bevételeinek 69,1%-a járulék- és hozzájárulás, valamint késedelmi pótlék és bírság befizetésekből keletkezett, ezek együttes összege 1624,4 milliárd forintot tett ki, ami 6,0 milliárd forinttal maradt el az előirányzott összegtől.
Az E. Alapot megillető szociális hozzájárulási adó 495,4 milliárd forint összegű teljesítése 10,8 milliárd forinttal maradt el az előirányzattól (506,2 milliárd forint).
A biztosítotti egészségbiztosítási járulék bevételekből az előirányzatnál (875,3 milliárd forint) 14,6 milliárd forinttal, az egyéb járulékokból és hozzájárulásokból - mely tartalmazza többek között az egészségügyi szolgáltatási járulékot és a munkáltatói táppénz-hozzájárulást is - az előirányzatnál (61,6 milliárd forint) 0,5 milliárd forinttal több bevétel keletkezett.
Egészségügyi hozzájárulásból 174,8 milliárd forint bevétel folyt be, ami 8,5 milliárd forinttal maradt el az előirányzott összegtől (183,3 milliárd forint).
Az E. Alap bevételeivel összefüggő főbb szabályváltozások a következők voltak:
- a szociális hozzájárulási adó mértéke 22%-ról 19,5%-ra mérséklődött és ezzel összhangban az egészségügyi hozzájárulás általános mértékű kulcsa is csökkent;
- az egészségügyi szolgáltatási járulék havi összege 7110 forintról 7320 forintra emelkedett.
Az E. Alap bevételeinek 22,8%-át képező költségvetési hozzájárulások 536,3 milliárd forint összegű teljesítése megegyezik az előirányzattal. Így előirányzati szinten teljesült a járulék címén átvett pénzeszköz (465,5 milliárd forint), a tervezett pénzeszköz átvétel (65,4 milliárd forint), valamint az egészségügyi feladatok ellátásával kapcsolatos költségvetési hozzájárulás (5,4 milliárd forint).
Az egészségbiztosítási tevékenységgel kapcsolatos egyéb bevételek (működési és vagyonbevétel nélkül) teljesítése 188,1 milliárd forintot tett ki, ami 36,1 milliárd forinttal haladta meg előirányzatot. Az idetartozó bevételek legnagyobb részét a gyógyszergyártók- és forgalmazók befizetései adták, a 88,2 milliárd forint összegű teljesítés 15,8 milliárd forinttal több, mint a törvényi előirányzat. Az itt megjelenő baleseti adóból 43,3 milliárd forint, a népegészségügyi termékadóból 40,6 milliárd forint bevétel keletkezett. Az előbbi 6,7 milliárd forinttal, az utóbbi 10,1 milliárd forinttal haladta meg az előirányzott összeget.
Az E. Alap 2018. évi kiadásainak összege 2434,1 milliárd forintot tett ki, ami az előirányzatot 115,0 milliárd forinttal haladta meg. Ez alapvetően a természetbeni ellátásoknál felmerült kiadási többlet és a pénzbeli ellátások körében keletkezett elmaradás együttes eredménye.
A pénzbeli ellátások adták az összes kiadás 26,7%-át, ezek nagysága 650,1 milliárd forint volt, ami 11,2 milliárd forinttal kevesebb az előirányzott összegnél. A legnagyobb részt kitevő rokkantsági, rehabilitációs ellátások összege 286,6 milliárd forint volt, ami 22,4 milliárd forinttal maradt el az előirányzattól. A táppénzkiadásra 116,9 milliárd forintot, míg gyermekgondozási díjra 176,0 milliárd forintot költött az egészségbiztosítás. A teljesítés a táppénzkiadás tekintetében 1,1 milliárd forinttal, a gyermekgondozási díjnál 12,8 milliárd forinttal haladta meg előirányzott összeget. A csecsemőgondozási díj összege 61,2 milliárd forintot tett ki, ami az előirányzattól 2,8 milliárd forinttal maradt el.
A természetbeni ellátások tették ki az összes kiadás 72,4%-át, az 1762,1 milliárd forint teljesítés a tervezett összegnél 125,7 milliárd forinttal több. Az ehhez az alcímhez tartozó legnagyobb előirányzatot a gyógyító-megelőző ellátás kiadásai képezték, erre 1204,4 milliárd forintot irányzott elő a költségvetési törvény, a tényleges kiadás 1306,3 milliárd forint összegben teljesült.
A gyógyszertámogatásra 357,8 milliárd forintot használt fel az egészségbiztosítás, ami 20,4 milliárd forinttal haladta meg az előirányzott összeget.
A gyógyászati segédeszköz támogatására fordított összeg 69,0 milliárd forint volt, ami az eredeti előirányzatnál 6,0 milliárd forinttal nagyobb kiadást jelentett.
Az alapkezelő működési kiadásai 7,3 milliárd forintot tettek ki, ami mintegy 0,2 milliárd forinttal haladta meg az előirányzott összeget.
3. Létszám és személyi juttatások
A Nemzeti Egészségbiztosítási Alapkezelő 2018. év eleji engedélyezett létszámkerete 756 fő volt. Az átlagos statisztikai állományi létszám 668 fő, a személyi juttatásokra fordított kiadás összege 3,7 milliárd forint volt.
4. A KESZ-hez kapcsolódó megelőlegezési számla igénybevétele a társadalombiztosítási kiadások finanszírozásához
Az Ny. Alap napi likviditási helyzete szoros kapcsolatban áll a kiadások (elsősorban a nyugellátások), és a bevételek (szociális hozzájárulási adó, járulékok és hozzájárulások, az Ny. Alapot megillető egyéb bevételek) évközi alakulásával. Az Áht. a biztonságos finanszírozás érdekében lehetővé teszi, hogy az Ny. Alap azokon a napokon, amikor a kifizetések összege meghaladja a bevételek összegét, kamatmentes hitelhez jusson. A törvényi előírás értelmében a hitelt a bevételekből soron kívül törleszteni kell.
A 2018. évi hitel igénybevételének néhány fontosabb jellemzője:
milliárd forintban

*a meghitelezett napokra vonatkozóan
Az Ny. Alap az év utolsó munkanapján nem rendelkezett hitelállománnyal.
Az E. Alap kiadásainak finanszírozásához szükséges költségvetési kezességvállalás keretében a KESZ-ről nyújtott napi legmagasabb hitelösszeg december hónapban jelentkezett, ekkor volt olyan nap, amikor a folyó finanszírozási igény elérte a 257,1 milliárd forintot. A legalacsonyabb napi hitelösszeg január hónapban figyelhető meg, 71,4 milliárd forint.
A 2018. évi hitel igénybevételének néhány fontosabb jellemzője:
milliárd forintban

*a meghitelezett napokra vonatkozóan
Az E. Alap az év utolsó munkanapján 82,6 milliárd forint KESZ hitelállománnyal rendelkezett.
III.
HELYI ÖNKORMÁNYZATOK GAZDÁLKODÁSA
1. A helyi önkormányzatok gazdálkodásának általános értékelése
Az államháztartás önkormányzati alrendszerében a 2018. évben változatlanul 3197 volt a helyi (megyei és települési) önkormányzatok száma.
A helyi önkormányzatok központi finanszírozása a 2018. évben is a 2013-ban kialakított, a tapasztalatok alapján évről évre pontosított, az önkormányzati feladatellátáshoz igazodó, feladatalapú támogatási rendszerben történt. A 2018. év legfontosabb feladata továbbra is a kiszámíthatóság és a helyi stabilitás megtartása, a működési hiány nélküli gazdálkodás fiskális feltételeinek erősítése, ezen belül a kistelepülések további felzárkózásának elősegítése volt. Az önkormányzatok gazdasági teljesítőképessége szerinti differenciált támogatásnyújtást ezért mind a működtetés, mind pedig a pályázatalapú fejlesztések terén is indokolt volt fenntartani.
A helyi önkormányzatok (a Kincstár által pénzügyileg jóváhagyott beszámolók adatain alapuló adatszolgáltatás szerint) 2018-ban hitelforrások nélkül 2980,2 milliárd forinttal gazdálkodhattak. Ehhez a központi költségvetés 746,8 milliárd forintot, a 2017. évi támogatások 106,6%-át biztosította.
Általános működés, igazgatás területén az önkormányzatok feladatainak nagyobb részét a klasszikus értelemben vett önkormányzati feladatok (igazgatási feladatok, településüzemeltetés, közvilágítás, helyi adóztatás stb.) tették ki. E helyi közügyek ellátását -a 2017. évhez hasonlóan - az önkormányzatok jövedelemtermelő képességétől függő általános jellegű támogatás szolgálta.
A köznevelési ágazatban az önkormányzatok fő feladata továbbra is az óvodai ellátás volt, amelyhez a központi költségvetés többelemű támogatással járult hozzá. A jogszabályi előírások alkalmazásával biztosította az óvodapedagógusok és a nevelőmunkát segítők illetményét és azok járulékait, emellett a 2018. évben is kötött felhasználású működési célú támogatás járt az óvodát fenntartó önkormányzatoknak. Továbbra is megillette a társulásban működő óvodák fenntartóit a bejáró gyermekek utaztatásához nyújtott támogatás. A pedagógus-előmeneteli rendszer keretén belül lebonyolított minősítési eljárás során a Pedagógus II., Mesterpedagógus, vagy Kutatótanár fokozatot elért pedagógusok és pedagógus szakképzettséggel rendelkező nevelőmunkát segítők béréhez, a 2018. évben is biztosította a központi költségvetés a pedagógusok és a nevelőmunkát segítők minősítéséből adódó többletkiadásaihoz az úgynevezett kiegészítő támogatást a fenntartók számára.
A szociális és gyermekjóléti ellátórendszerben az önkormányzatok szerepe alapvetően az alapellátások biztosítása volt, emellett természetesen saját hatáskörben továbbra is felelősek voltak a helyi igényekhez alkalmazkodó pénzbeli, természetbeni segítségnyújtási rendszer kialakításáért. Ez utóbbihoz a központi költségvetés 2018-ban is kiegészítő támogatást biztosított. Tekintettel arra, hogy a rászoruló települések nagyobb mértékű támogatásra jogosultak, a szolidaritás elve e támogatásnál a 2017. évhez hasonlóan érvényesült.
Továbbra is kiemelt jelentőséggel bíró önkormányzati feladat volt a gyermekétkeztetés, amelyhez a költségvetés a feladatellátás költségeihez igazodó bér- és működési jellegű támogatást biztosított, figyelemmel a rászoruló gyermekek szociális helyzetére is. Ezen túlmenően az állam a szünidei étkeztetés támogatására is nagy hangsúlyt fektetett, amelyet az önkormányzatok 2016-tól látnak el kötelező feladatként.
Az önkormányzatok kulturális feladatainak - ezen belül a kulturális javak védelme, a muzeális intézmények, a közművelődés és a nyilvános könyvtári ellátás - biztosításához a központi költségvetés a 2018. évben is önálló előirányzaton biztosított támogatást, így a rendelkezésre álló források célzottan jutottak el a területhez. A Megyei hatókörű városi múzeumok feladatainak támogatása, a Megyei könyvtárak feladatainak támogatása, valamint A települési önkormányzatok által fenntartott, illetve támogatott előadó-művészeti szervezetek támogatása esetében a költségvetési törvény a keret-előirányzatokat tartalmazta, de az egyes önkormányzatokat, illetve szervezeteket megillető támogatás éves összegét már a kultúráért felelős miniszter állapította meg.
A továbbiakban a költségvetési folyamatok elemzése, a különféle bevételi és kiadási tételek értékelése a 2018. évi beszámoló és a 2017. évi tényadatok alapján történik.
A helyi önkormányzatok pénzforgalmi mérlegei az indokolás 2.1., 2.2. és 2.3. pontjait támasztják alá. Ezek az általános indokolás mellékletei között "Az önkormányzati alrendszer mérlegei" címen találhatók meg.
2. A 2018. évi önkormányzati költségvetés végrehajtása
2.1. A folyó és felhalmozási bevételek, valamint kiadások egyenlegei
A helyi önkormányzatok 2018-ban - a finanszírozási műveletekkel együtt - összesen 4274,4 milliárd forint bevétellel gazdálkodtak, ami 12,7%-kal magasabb a 2017. évi teljesítésnél.
Az emelkedésben jelentős szerepet játszott a finanszírozási bevételek 66,1%-os emelkedése, ami összegében megközelítette az 1294,3 milliárd forintot. Az önkormányzatok fejlesztéseiket, folyamatban lévő beruházásaikat részben a hosszú lejáratú és az éven belüli lejáratú értékpapírjaik értékesítéséből finanszírozták, ezzel kiegészítve a maradvány felhasználását, a korábbi évekből felhalmozott megtakarításaikból származó forrásokat. A bevétel növekedésben szerepet játszott az önkormányzatok felhalmozási célú támogatásának 43,3%-kal való emelkedése is, köszönhetően az év közben egyedi kormánydöntésekkel támogatott fejlesztési célokra biztosított forrásoknak. A támogatások jellemzően kötelező önkormányzati feladatok ellátását szolgálják (utak felújítását, hivatali épület, óvoda épületének felújítását, a szennyvíz-elvezetés megoldását, stb.). Ez tükröződik vissza az eszközök beszerzésére fordított kiadások 23,1%-os, valamint a felújításokra költött összeg 52,9%-os növekedésében is, csak úgy, mint a kamatbevételek 46,5%-os emelkedésében. Ez jelzi, hogy az önkormányzatok a fejlesztési célra korábbi években kapott, átmenetileg szabad pénzeszközeiket értékpapírba - jellemzően állampapírba - fektették.
A folyó működési bevételek és kiadások egyenlege 265,1 milliárd forint többletet mutat, ami 22,6 milliárd forinttal magasabb a 2017. évi egyenlegnél. A pozitív egyenleg oka elsősorban a körültekintő, takarékos gazdálkodásban keresendő. Mind a működési bevételek, mind a működési kiadások mérsékelt emelkedést mutatnak. Nőttek az intézményi bevételek 5,3%-kal, 290,0 milliárd forintra (kamatbevételek nélkül), szintén emelkedtek a helyi adókból, gépjárműadóból származó bevételek és a korábban már említett kamatbevételek is. Mindezen tételek pozitív hatását mérsékelte az államháztartáson kívülről származó pénzeszközök összegének - ami tartalmazza a korábban nyújtott kölcsönök visszatérülését és ideiglenesen átvett pénzeszközöket, illetve a kapott kölcsönöket is - 4,8 milliárd forint értékű, 14,2%-os csökkenése. A működési bevételek összességében 123,5 milliárd forinttal (5,7%-kal) haladták meg az előző évit.
Kiadási oldalon a személyi juttatásokra fordított összeg 752,8 milliárd forintra teljesült, ami a 2017. évi teljesítési adatokhoz képest 5,6%-os növekedést mutat. A növekedés alapvetően a minimálbér és garantált bérminimum emelés hatásának következménye. Emellett a számok tükrözik a munkaadókat terhelő járulékok, ezen belül a szociális hozzájárulási adó 22,0%-ról 19,5%-ra való csökkenését is, hiszen a munkaadókat terhelő járulékok és szociális hozzájárulási adó jogcímen 6,6 milliárd forinttal kevesebb kiadás keletkezett, mint 2017-ben.
A dologi és egyéb működési kiadásokra rendkívül visszafogottan, csupán 3,2%-kal költöttek többet az önkormányzatok az előző év tényleges teljesítési adatokhoz képest, összességében 806,3 milliárd forintot tettek ki az ilyen jellegű kiadások.
Emelkedett az államháztartáson kívülre, jellemzően önkormányzati tulajdonú gazdasági társaságba átadott működési célú támogatások, kölcsönök összege. A növekedést azonban a Fővárosi önkormányzat működéséből eredő sajátosságok okozzák, többek között a BKV működéséhez juttatott támogatások összege.
A folyó működési kiadások és támogatások egészét tekintve 5,2%-kal, 101,0 milliárd forinttal teljesültek magasabban az előző évinél.
Összegében az 2034,0 milliárd forint kiadásra a működési bevételek 2299,0 milliárd forintos összege megfelelő fedezetet biztosított.
A felhalmozási bevételeknek és kiadásoknak a 2017. évi adatokkal történt összevetése alapján a következő megállapítások tehetők. Az immateriális javak, ingatlanok, egyéb tárgyi eszközök értékesítéséből 30,7 milliárd forinttal kevesebb bevételhez jutottak az önkormányzatok, mint az előző évben. Az egyéb felhalmozási célú támogatási bevételek (államháztartáson belülről átvett pénzeszközök, valamint az EU-tól átvett pénzeszközök együttesen) összege 155,1 milliárd forinttal lett kevesebb. 2018-ban jellemzően a korábbi években előlegként lehívott EU források felhasználása történt, megindultak a kivitelezési munkák annak érdekében, hogy a részteljesítés és elszámolás után a további támogatási összegekhez is hozzájuthassanak a beruházók. 16,1%-kal emelkedett a különböző részesedések értékesítéséből befolyó bevételek összege, aminek pozitív hatását csökkenti, hogy 8,9%-kal csökkent az államháztartáson kívülről, vállalkozásoktól érkező felhalmozási jellegű bevételek mértéke.
Az összes fejlesztési, felhalmozási bevétel mindezek hatására 19,0%-kal elmaradt a 2017. évi adattól, 681,1 milliárd forintra teljesült. A csökkenés oka túlnyomóan az uniós források folyósításában és felhasználásában bekövetkező változásokban keresendő. 2017-ben az új, induló uniós költségvetési ciklusban a támogatott beruházások megkezdéséhez szükséges előlegek lehívása és folyósítása történt meg, ezért volt kiemelkedően magas a 2017. évi teljesítés. 2018. évben viszont már az előleg bevételek mellett a számlák szerinti, a munkák elvégzéséhez ütemezetten igazodó kifizetések történtek, ami feltételezi a kivitelezési munkák haladását.
A fejlesztési, felhalmozási kiadások ezzel szemben 24,2%-kal 696,7 milliárd forintra nőttek. Az önkormányzatok eszközbeszerzésekre, tárgyi eszköz felújítására az előző évi kiadásnál 23,1%-kal többet, 343,8 milliárd forintot költöttek. Egyéb felhalmozási célú kiadásokra -mind államháztartáson belülre, mind kívülre - összességében 17,6 milliárd forinttal kevesebbet költöttek. Ezzel szemben 52,9%-kal, 84,2 milliárd forinttal többet költöttek felújításokra, köszönhetően a központi költségvetési támogatások emelkedésének és az EU források felhasználásának. Ehhez kapcsolódva az önkormányzatok által a beruházások után befizetett áfa összege is emelkedett: 37,6 milliárd forintra teljesült az előző évi 33,2 milliárd forinttal szemben.
A fejlesztési, felhalmozási bevételek és kiadások egyenlege -15,6 milliárd forint volt, szemben a 2017. évi 276,4 milliárd forintos teljesítéssel. A kiadások finanszírozásához egyrészt a megtakarításokat vették igénybe: a maradványok felhasználása jelentősen, 78,5%-kal nőtt, meghaladta az 1176,0 milliárd forintot. Másrészt a korábbi években kihelyezett hitelekből befolyó bevételek is 75,4%-kal emelkedtek és sokszorosára nőttek a hosszúlejáratú és az éven belüli lejáratú értékpapírok kibocsátásából, értékesítéséből származó bevételek is. Ez utóbbi három finanszírozási elemből összesen 117,3 milliárd forint bevételre tettek szert az önkormányzatok, szemben a tavalyi 45,1 milliárd forinttal. E mögött elsősorban a 3-as metrószerelvények felújítási munkái állnak.
A beruházások és a tényleges kivitelezési munkák 2018. évi fellendülését tükrözi az is, hogy a finanszírozási bevételekből értékpapír vásárlásra az előző évinél 44,4%-kal kevesebbet költöttek az önkormányzatok. Ebben szerepet játszott az az új jogszabályi rendelkezés is, amely az önkormányzatok európai uniós forrásból folyósított támogatásai és a Modern Városok Program keretében biztosított forrásai esetében a Magyar Államkincstárnál vezetett pénzügyi számla használatát írta elő. Az ezen számlán elhelyezett pénzeszközökből pedig csak szigorúan a cél szerinti kifizetés kezdeményezhető, értékpapír vásárlás nem. Természetesen az önkormányzatok saját bevételeik terhére továbbra is vásárolhatnak befektetési céllal értékpapírokat.
Megállapítható, hogy az önkormányzatok a gazdálkodásuk során a megtakarításaikat főként különböző fejlesztéseik megvalósítására fordították.
2.2. A bevételek alakulása
A helyi önkormányzatok 2017. évi és 2018. évi bevételi forrásainak megoszlása
%-ban

A bevételek főbb csoportonként a következők szerint alakultak:
2.2.1. A saját folyó és átengedett bevételek összege 1298,7 milliárd forintot tett ki, így az előző évi teljesítésnél 97,4 milliárd forinttal magasabbra teljesült.
Ezen belül:
- Az intézményi működési bevételek 302,9 milliárd forintra teljesültek, ez a 2017. évi teljesítésnél 18,7 milliárd forinttal (6,6%-kal) magasabb. Ezen belül az intézményi bevételek, amelyek az alaptevékenység körében végzett szolgáltatások és ellátások térítési díjaiból tevődtek össze, 6,0 milliárd forinttal (3,0%-kal) növekedtek az előző évi tényadathoz képest.
- A kamatbevételek - e sor magában foglalja az egyéb pénzügyi műveletek bevételeit is -12,9 milliárd forintot tettek ki, és együttesen a 2017. évi tényadathoz képest 4,1 milliárd forinttal emelkedtek. Ezen belül az egyéb pénzügyi műveletek bevételei 1,3 milliárd forintra teljesültek, míg a kamatbevételek 3,7 milliárd forinttal 11,6 milliárd forintra nőttek a 2017. évi tényadathoz viszonyítva. Az emelkedés oka, hogy egyes önkormányzatok a központi forrásból fejlesztési célra kapott - átmenetileg szabad, kereskedelmi bankoknál tartott pénzeszközeiket - ideiglenesen állampapírokba fektették.
- Az áfa-bevételek (visszatérítés) soron az önkormányzatok összesen 84,8 milliárd forintot értek el, ami 2017. évinél 8,7 milliárd forinttal magasabb összegű bevételt jelentett számukra.
Saját adóbevételek:
Helyi és települési adókból származó bevételek alakulása
millió forintban

- A helyi és települési adó bevételből a költségvetés 2018-ra 847 319,0 millió forintot irányzott elő. A ténylegesen befolyt bevétel 891 016,5 millió forint volt, vagyis 43 697,5 millió forinttal (5,2%-kal) haladta meg az előirányzat összegét, a 2017. évben befolyt bevételeknél pedig 75 666,2 millió forinttal (9,3%-kal) volt magasabb.
= A helyi iparűzési adóból 2018-ban 711 275,9 millió forint bevétel származott, amely az összes helyi adó 79,9%-át teszi ki. A 2018. évi bevétel az előirányzatot (665 809,0 millió forint) 45 466,9 millió forinttal (6,8%-kal) haladta meg, a 2017. évi bevételeknél pedig 72544,7 millió forinttal (11,4%-kal) lett magasabb. Az egyéb helyi adókból (építményadó, telekadó, magánszemélyek kommunális adója, idegenforgalmi adó) összesen 178 926,3 millió forint bevétel származott, amelyek az előirányzattól 1 083,7 millió forinttal (0,6%-kal) maradtak el. Az elmaradás oka az építményadó előirányzat 2,1%-os alulteljesülése volt.
= 2015-től az önkormányzatok egy új adónem, a települési adó kivetésére kaptak felhatalmazást. Az ebből származó bevétel 2018-ban 814,3 millió forint volt, mely az előző évhez képest 25,7%-os visszaesést jelent.
Az átengedett bevételek teljesítése 31 949,5 millió forint volt, amely az előző évi bevételeket 4,6%-kal haladja meg.
Átengedett, központilag szabályozott adójellegű bevételek:
- A gépjárműadóból az önkormányzatokat megillető rész 2018. évi előirányzata 29 333,0 millió forint volt, ténylegesen pedig 31 916,4 millió forint folyt be, vagyis az előirányzat 2 583,4 millió forinttal (8,8%-kal) felülteljesült, a bázisévi bevételt pedig 1 399,7 millió forinttal (4,6%-kal) haladta meg.
- A termőföld bérbeadásából származó jövedelemadóból 33,1 millió forint bevétel keletkezett, ami az előirányzatnál 16,9 millió forinttal (33,8%-kal) alacsonyabb, a 2017. évi bevételtől pedig 2,4 millió forinttal (6,8%-kal) maradt el.
Átengedett, központilag szabályozott bevételek
millió forintban

2.2.3. A felhalmozási és tőkejellegű bevételek 585,6 milliárd forintot tettek ki, ami 185,4 milliárd forinttal, 24,0%-kal alacsonyabb a 2017. évi tényadatoknál.
- Ezen belül az immateriális javak, ingatlanok, egyéb tárgyi eszközök értékesítéséből származó bevételek 30,7 milliárd forinttal, 36,0%-kal csökkentek az előző évhez képest az egyéb tárgyi eszközök kisebb arányú értékesítése következtében.
- A részesedések értékesítéséből származó bevételek - melyek magába foglalják a részesedések megszűnéséhez kapcsolódó bevételeket is - 3,4 milliárd forintra teljesültek, így 0,5 milliárd forinttal (16,1%-kal) emelkedtek a 2017. évi teljesítéshez képest.
- Az egyéb felhalmozási célú támogatások bevételei (államháztartáson belülről átvett pénzeszközök, valamint az EU-tól átvett pénzeszközök együttesen) 514,9 milliárd forintra teljesültek, ez a 2017. évi bevételhez képest mintegy 23,0%-os csökkenést jelent. Ezen belül az EU-tól származó forrásokból a 2017. évinél 182,0 milliárd forinttal kevesebb bevételre tettek szert az önkormányzatok, míg az államháztartáson belülről átvett pénzeszközök esetében 28,1 milliárd forintos emelkedés tapasztalható. E növekedés fő oka, hogy a Modern Városok Program keretében a megyei jogú városoknak juttatott támogatások tovább emelkedtek a 2017. évihez képest. A kapott források célhoz kötöttek, az önkormányzatok azokat főként környezetvédelmi, idegenforgalom- és városfejlesztési, köznevelési és egészségügyi infrastruktúrafejlesztési célokra használhatják fel.
- Az államháztartáson kívülről felhalmozási célra átvett pénzeszközök 12,7 milliárd forintra teljesültek, ami 8,9%-kos csökkenést jelent az előző évhez képest. E bevétel alapvetően az előbbiekben említett EU-s fejlesztésekhez kapcsolódik.
2.2.4. Az állami támogatások
A központi költségvetés a helyi önkormányzatok részére az év során 746,8 milliárd forint állami támogatást folyósított, ami 46,4 milliárd forinttal, 6,6%-kal magasabb az előző évi tényadathoz viszonyítva. Az állami támogatásokon belül a legjelentősebb tételek:
- a legnagyobb csoportot a helyi önkormányzatok általános működésének és ágazati feladatainak támogatása képezte, mely cím teljesítési adata 595,7 milliárd forint volt, ami 39,9 milliárd forinttal magasabb az előző évinél;
- a helyi önkormányzatok kiegészítő támogatása cím teljesítése 67,4 milliárd forint volt, ami 0,9 milliárd forinttal magasabb az előző évi tényadatnál. Az év közben létrehozott új jogcímeken 83,7 milliárd forint kifizetés történt. Az állami támogatások előirányzatainak és teljesülésének részletes alakulását a IX. Helyi önkormányzatok támogatásai fejezet indokolása mutatja be.
2.2.5. Az átvett működési pénzeszközök
- Az államháztartáson belüli átutalások bevételek összege 319,8 milliárd forintot tett ki, ami a 2017. évi tényadatoknál 13,5 milliárd forinttal (4,4%-kal) lett magasabb.
= A társadalombiztosítás pénzügyi alapjaitól átvett pénzeszközök 2018-ban 59,4 milliárd forintra teljesültek, így a 2017. évi tényadathoz képest 4,9 milliárd forinttal, 8,9%-kal emelkedtek. A növekedés hátterében a háziorvosok béremelésének hatása látható.
= Az elkülönített állami pénzalapoktól származó pénzeszközök bevétele a 2017. évi teljesítéshez képest 35,1 milliárd forinttal lett alacsonyabb, 119,4 milliárd forintra teljesült. Ez a sor döntően a Nemzeti Foglalkoztatási Alapból származó, a közfoglalkoztatáshoz kapcsolódó pénzeszközöket tartalmazza. A bevételek 22,7%-os csökkenése jól példázza, hogy a közmunkások munka világába való visszavezetésének folyamata elkezdődött és megfelelő ütemben halad.
= A központi költségvetési szervektől, fejezetektől származó bevételekből (amelyek tartalmazzák az EU-tól átvett működési célú pénzeszközöket is) 135,7 milliárd forint került átutalásra a helyi önkormányzatok részére, ami a 2017. évi teljesítéshez képest 42,6 milliárd forinttal növekedett az EU-s bevételek emelkedése következtében.
= Az Elvonások és befizetések bevételeiből az önkormányzatokhoz a központi költségvetéssel történő - főleg az előző évekkel összefüggő - pénzügyi elszámolásokkal kapcsolatosan 5,3 milliárd forint bevétel folyt be, ami 1,1 milliárd forinttal magasabb a 2017. évinél.
- Az államháztartáson kívülről származó bevételek 2018. évi teljesítése a 2017. évinél 0,9 milliárd forinttal lett magasabb, így 9,1 milliárd forintra teljesült.
- A korábban nyújtott kölcsönök visszatérítéséből és az ideiglenesen átvett pénzeszközökből származó bevétel 20,2 milliárd forintra teljesült, ami a 2017. évi tényadatnál 5,7 milliárd forinttal (22%-kal) alacsonyabb.
2.2.6. Finanszírozási bevételek alakulása
A hitelfelvételből és kötvénykibocsátásból származó bevételek együttesen 100,4 milliárd forintra teljesültek, ami a 2017. évi teljesítéshez képest 124,7%-os emelkedést jelent. Ezen belül a hitelbevételek 75,4 milliárd forintra, míg a kötvénykibocsátások 25,0 milliárd forintra teljesültek.
- A helyi önkormányzatok 2018-ban 75,4 milliárd forint hitelt hívtak le, ez 32,4 milliárd forinttal magasabb volt az előző évi ténynél. A hitelbevételek emelkedésén belül 30,0 milliárd forint növekmény a fővárosi önkormányzat 3-as metró felújításával kapcsolatos hitelfelvételéhez, 8,5 milliárd forint pedig a BMW letelepítéséhez szükséges debreceni ipari park fejlesztéshez köthető.
- A hosszú lejáratú értékpapírok értékesítéséből, kibocsátásából származó bevételek egyenlege 2018-ban 25,0 milliárd forintra teljesült a 2017. évi 1,7 milliárd forintos bevételi egyenleggel szemben. A többletbevétel túlnyomórészt az értékesítésből származó bevételeket jelentette, míg értékpapír kibocsátásból mindössze 1,5 milliárd forint bevétele keletkezett az önkormányzatoknak 2018-ban.
Az éven belüli lejáratú értékpapírok beváltásából, eladásából és kibocsátásából származó bevételek és kiadások eredményeként a 2017. évi 0,4 milliárd forint teljesítéssel szemben 2018-ban 16,9 milliárd forint bevétele származott az alrendszernek, a belföldi értékpapírok beváltása és értékesítése következtében. Ez jól példázza, hogy az önkormányzatok igyekeznek átmenetileg szabad pénzeszközeiket rövidtávon állampapírba fektetni, anyagi erőforrásaik maximális kihasználása érdekében.
A pénzmaradvány, vállalkozási maradvány igénybevétele a 2017. évit 517,2 milliárd forinttal haladta meg, így 2018-ban 1176,4 milliárd forintra teljesült. Ez 78,5%-kal több maradvány-felhasználást jelentett az önkormányzatok számára az előző évhez viszonyítva. A növekedésből látszik, hogy a beruházások beindulása miatt a maradványok 2018. évi felhasználása jelentős volt
Az egyéb finanszírozási bevételek magában foglalja a központi irányító szervi támogatást és folyósítást, a pénzeszközök betétként való elhelyezését, illetve a betétek megszüntetését, az államháztartáson belüli megelőlegezések egyenlegadatait, a váltóbevételek, valamint az adóssághoz nem kapcsolódó származékos ügyletek bevételeit. A 2018. évi teljesítési adat 0,6 milliárd forint volt az államháztartási megelőlegezések bevételi egyenlege következtében. E teljesítés adat jelentősen, 74,4 milliárd forinttal elmarad a 2017. évi tényadattól. Az elmaradás oka, hogy - 2017. évvel ellentétben - 2018-ban több bankbetétet kötöttek le, mint amennyit megszüntettek, így annak egyenlegadata a kiadási oldalon szerepel az egyéb finanszírozási kiadások tételei között.
2.3. Kiadások alakulása
A helyi önkormányzatok 2018. évi teljesített kiadása - a finanszírozási kiadásokkal együtt -2813,5 milliárd forint volt, ami a 2017. évben teljesített kiadásoknál 7,5%-kal (195,9 milliárd forinttal) magasabban alakult.
A helyi önkormányzatok tárgyévi kiadási előirányzatainak és teljesítésének megoszlása 2017. és 2018. években
%-ban

2.3.1. A saját folyó kiadások teljesítése a 2017. évhez képest 3,5%-kal magasabban (az előző évhez képest 58,4 milliárd forint a növekedés) alakult. Ez a növekedés az egyes ágazati béremeléseknek tulajdonítható, (melyek nagy részét az állam átvállalta) így a személyi juttatások növekedése erőteljesebbnek mutatkozott (39,9 milliárd forint, 5,6%). A kiadási elemek közül a központi járulékcsökkentés eredményeként a járulékok kiadásainak jelentős (6,7 milliárd forint), 4,3%-os arányú csökkenése figyelhető meg. A 2017. évhez képest kevéssel csökkent e két kiadásnem kiadásokon belüli aránya is (0,5 százalékponttal a személyi juttatások, 0,7 százalékponttal a járulékok). Az összes dologi kiadás előző évhez képest 2,3%-os növekedését, 17,2 milliárd forintot, a magasabban teljesült dologi kiadások és azok áfá-ja, valamint a 2017. évhez képest harmadára csökkentett egyéb dologi kiadások, továbbá 18,8%-kal magasabbra teljesült egyéb működési kiadások eredményezték.
2.3.2. A felhalmozási és tőkejellegű kiadásoknál az előző év folyamán tapasztalt növekedési folyamat 2018. évben is folytatódott (135,5 milliárd forint, 24,2%-os növekedés), amit az összkiadásokon belüli 3,2 százalékpontos aránynövekedés is jelez. Ugyanakkor e kiadások aránya (24,7%) elmaradt a 2018-as évre eredetileg tervezett előirányzottól (28,2%).
E kiadásokat összetevő elemek változásának mértékét tekintve a tárgyi eszközök beszerzése, létesítése kiadáselem növekedése (75,3 milliárd forintos, 29,1%-os) és az ehhez kapcsolódó beruházási áfa növekedése (4,4 milliárd forintos, 13,4%-os) tették ki a kiadásemelkedés több mint felét, míg a maradék részt a felújítások (84,3 milliárd forintos, 52,9%-os) növekedése, továbbá a részesedések beszerzése, egyéb felhalmozási célú támogatások államháztartáson kívülre és belülre kiadáselemek összességében 28,4 milliárdos csökkenése adja.
2.3.3. A támogatások, és egyéb folyó átutalások kiadási összegét tekintve a 2017. évi csökkenéssel ellentétben 2018. évben komoly, 15,7%-os (42,9 milliárd forintos) növekedés tapasztalható az előző 2017. évhez képest. Ennek köszönhetően e kiadásoknak az összkiadásokon belüli tavalyi 10,5 százalékpontos aránya 2018. évre 11,2 százalékpontra kúszott.
2.3.4 A finanszírozási kiadásoknál megállapítható, hogy a 2017. évhez képest 4,7 milliárd forinttal nőtt a hitel-visszafizetés, ugyanakkor a hosszú lejáratú befektetési értékpapírok vásárlása az előző évihez képest csaknem felére (55,6%-ra) esett vissza. Éven belüli lejáratú értékpapírok eladási/vásárlási egyenlege 2018. év végére nullszaldós lett, szemben az eredeti előirányzatként tervezett 22,0 milliárd forinttal. Az egyéb finanszírozási kiadások magában foglalja a központi irányító szervi támogatást és folyósítást, a pénzeszközök betétként való elhelyezése, illetve a betétek megszüntetése, az államháztartáson belüli megelőlegezések egyenlegadatait, a váltókiadásokat, valamint az adóssághoz nem kapcsolódó származékos ügyletek kiadásait. Az e célokra fordított bevételek és kiadások egyenlege (a 2017. évben 0,1 milliárd forint volt) 2018. év végére 8,1 milliárd forint lett.
2.4. Létszám és személyi juttatások
2018-ban az önkormányzati közszférában - a központosított illetmény-számfejtési rendszer adatai alapján - közfoglalkoztatottak nélkül összesen átlagosan 177 255 fő dolgozott. Az alkalmazásban állók átlagos száma 4212 fővel több a 2017. évi átlagos létszámnál. A helyi önkormányzatok és intézményeik átlagosan 31 442 fő köztisztviselőt, 125 320 fő közalkalmazottat, valamint 20 513 fő egyéb jogviszonyba tartozó dolgozót foglalkoztattak (közfoglalkoztatottak nélkül).
Szintén a központosított illetmény-számfejtési rendszer adatai alapján a 2018. évben kifizetett kereset összege - közfoglalkoztatás nélkül - összesen 598,0 milliárd forint volt, 11,6%-kal magasabb az előző évinél. Ami a keresetekre vonatkozó szabályozást illeti:
- A kötelező legkisebb munkabér (minimálbér) és a garantált bérminimum megállapításáról a 430/2016. (XII. 15.) Korm. rendelet rendelkezett. E szerint 2018. január 1-jétől a kötelező legkisebb munkabér (minimálbér) összege havi 138 000 forintra, a legalább középfokú iskolai végzettséget, illetve középfokú szakképesítést igénylő munkakörben foglalkoztatott munkavállalók garantált bérminimuma havi 180 500 forintra emelkedett.
- A kormány a 2011-2017. évekhez hasonlóan 2018-ban is döntött az adó- és járulékváltozások hátrányos hatásainak ellentételezése érdekében a kompenzáció kifizetéséről a közszférában és az egyházak közcélú tevékenységet folytató intézményeinél dolgozók részére. A kompenzáció családi adókedvezményhez kötött mértékét, az érintettek körét, kifizetésének módját kormányrendelet rögzítette. E rendelet meghatározta a kompenzáció kifizetéséhez szükséges támogatás biztosításának feltételeit, továbbá tartalmazta a foglalkoztatott családi adókedvezményre vonatkozó nyilatkozatának részletes szabályait is.
Az intézmények költségvetését a kompenzáció nem terhelte, mivel a kifizetéshez szükséges forrást a központi költségvetés elkülönítetten biztosította a IX. Helyi önkormányzatok támogatásai fejezetben.
3. Pénzgazdálkodás, adósságállomány, értékpapír-műveletek
A helyi önkormányzatok hó végi betétállománya - a Magyar Nemzeti Bank havi jelentései alapján - a 2018. évben 726,1 milliárd forint és 1035,7 milliárd forint között mozgott. November hónapban állt a legalacsonyabb (726,1 milliárd forintos) értéken, míg márciusban 1035,7 milliárd forinttal, áprilisban 972,2 milliárd forinttal, majd szeptemberben 981,7 milliárd forinttal, a legmagasabb állománnyal rendelkeztek.
E hónapok magasabb pénzállománya főként a helyiadó-számlákra és kisebb részben a gépjárműadó-számlára - márciusi, illetve szeptemberi (előleg) fizetési határidő miatt - befolyt nagyobb pénzösszegnek volt köszönhető. Április hónap ugyancsak magasabb betétállománya vélhetően egyrészt a helyiadó-bevallások kapcsán megfizetett összegből, másrészt pedig a fejlesztési célokra kapott, átmenetileg szabad pénzeszközökből származott.
Az önkormányzatok pénzkészlet állománya - ami a forint és devizaszámlákon kívül a pénztárakban, csekkekben és betétkönyvekben elhelyezett összegeket tartalmazza - a 2018. év végén 1422,4 milliárd forint volt, döntően kötelezettségvállalással terhelt. Több önkormányzatnál - elsősorban a jobb pénzügyi helyzetben lévő városoknál, ahol 2018-ban nagyobb összegű többletbevétel realizálódott - a pénzmaradványok tartalékolási célt szolgálnak, annak érdekében, hogy a következő évek fejlesztéseit finanszírozzák.
A helyi önkormányzatok adósságállományának tekintetében az alábbiak állapíthatók meg.
Az önkormányzati alrendszer 2018. december 31-én 145,6 milliárd forint adóssággal rendelkezett, ami 66,8 milliárd forinttal (84,8%-kal) magasabb a 2017. év végi adósságállománynál (78,8 milliárd forint). A növekedés a hitel- és kölcsönállomány jelentős 88,1%-os növekedésének köszönhető, a kötvényállomány (13,8%) és az egyéb kötelezettségállomány (13,7%) csökkenése mellett.
A hitel- és kölcsönállomány a 2017. évi 76,2 milliárd forintról 143,4 milliárd forintra ugrott, ami a teljes adósságállomány 98,5%-át teszi ki. Ennek döntő részét a Fővárosi Önkormányzat 80,0 milliárd forint értékű adóssága jelenti, melyet a megyei jogú városok (29,8 milliárd forint) és az egyéb városok (20,9 milliárd forint), majd a fővárosi kerületek (8,5 milliárd forint) hitel- és kölcsönállománya követ.
A legjelentősebb mértékű adósságállomány-emelkedést a Fővárosi Önkormányzat produkálta (228,6%), hiszen folytatódott a korábbi években megkötött nagy összegű EIB-s hitelek lehívása. Ezen kívül a megyei jogú városok adósságállománya 73,2%-kal, a fővárosi kerületeké 41,7%-kal, a községeké 41,8%-kal, a nagyközségeké 39,6%-kal, míg az egyéb városoké 36,5%-kal emelkedett a 2017. évihez képest. A megyei jogú városok adósságállománya növekedésének egyik oka, hogy a Debrecen Megyei Jogú város által a BMW gyár helyszínének kialakítása céljából felvett összesen 44,0 milliárd forint hitelből lehívásra került a 2018. évi ütem (8,5 milliárd forint).
Csökkenés a nemzetiségi önkormányzatok és az önkormányzati társulások esetében tapasztalható, esetükben az adósság a 2017. évi állománynak a 77,5%-ára, illetve 74,5%-ára esett vissza. A megyei önkormányzatok csekély adósságállománya megszűnt, továbbá a térségi fejlesztési tanácsok továbbra sem rendelkeztek adósságállománnyal 2018-ban.
Eltekintve a Fővárosi Önkormányzat 80 milliárd forint értékű adósságállományától, valamint Debrecen Megyei Jogú Város 8,5 milliárd forint összegű hitellehívásától, az önkormányzati adósságállomány tartósan alacsony szinten mozog, ami alapvetően a 2011-2014. évek között lezajlott adósságkonszolidációnak köszönhető. (Ennek során az állam csaknem 1370 milliárd forint adósságot vállalt át az önkormányzatoktól, illetve törlesztett elő.) Ezen kívül az önkormányzati adósság keletkeztetés előzetes kormányzati engedélyhez való kötése is elősegíti az önkormányzati alrendszer adósságának kordában tartását.

4. A vagyon alakulása
4.1. Az önkormányzatok 2018. évi vagyoni eszközei az alábbiak szerint alakultak:
A helyi önkormányzatok eszközértéke a 2018. évben 720,2 milliárd forinttal (5,3%-kal) növekedett, ezzel az év végén az eszközök állománya 14 230,0 milliárd forintot tett ki. Ezen belül a nemzeti vagyonba tartozó befektetett eszközök aránya 84,7%, a nemzeti vagyonba tartozó forgóeszközök aránya 1,2%, a pénzeszközök aránya 10,1%, a követelések aránya 3,8%, az egyéb sajátos elszámolások aránya 0,1%, az aktív időbeli elhatárolások aránya pedig szintén 0,1%.
- A nemzeti vagyonba befektetett eszközökön belül
= az immateriális javak, a tárgyi eszközök és a koncesszióba, vagyonkezelésbe adott eszközök 2018. december 31-ei nettó értéke 11 370,8 milliárd forintot tett ki (a nemzeti vagyonba tartozó befektetett eszközök 94,4%-a),
= a tárgyi eszközök tárgyévi nettó értékének növekedése 249,1 milliárd forint (2,4%) volt. A beruházások, felújítások állománya a 2017. évi 357,7 milliárd forintról 516,5 milliárd forintra növekedett.
= a befektetett pénzügyi eszközök (tartós részesedések, tartós hitelviszonyt megtestesítő értékpapírok, befektetett pénzügyi eszközök értékhelyesbítése) 19,1 milliárd forinttal (2,9%-kal) növekedtek. A 677,2 milliárd forint pénzügyi befektetésből 675,5 milliárd forintot, vagyis döntő részt tettek ki a tartós részesedések, értékpapírok együttesen.
- Az év végi, nemzeti vagyonba tartozó forgóeszköz-állomány 164,2 milliárd forint volt, ami 9,4 milliárd forinttal magasabb a 2017. évi nemzeti vagyonba tartozó forgóeszközállománynál.
= A készletek december 31-ei állománya 8,3 milliárd forintot tett ki, ami 1,6 milliárd forinttal magasabb a 2017. évi készletállomány értékénél.
= Az értékpapírok állománya 148,1 milliárd forintról 155,9 milliárd forintra emelkedett. Ezen belül a nem tartós részesedések 3,2 millió forinttal csökkentek, míg a forgatási célú értékpapírok állománya 7,8 milliárd forinttal emelkedett. A növekedést az érintett önkormányzatok átmenetileg szabad pénzeszközei, illetve a még fel nem használt európai uniós támogatási előlegei, valamint a megyei jogú városok - még kereskedelmi banki számlán lévő - Modern Városok Programhoz köthető bevételei magyarázzák, amelyeket az önkormányzatok átmeneti jelleggel a bevételük növelése érdekében befektettek.
= A pénzeszközök állománya 1178,2 milliárd forintról 1443,5 milliárd forintra változott. Ez 22,5%-os növekedést jelent. A növekedés oka, hogy egyes jobb pénzügyi helyzetben lévő városoknál 2018-ban nagyobb összegű többletbevétel realizálódott. A pénzmaradványok tartalékolási célt szolgálnak, annak érdekében, hogy a következő évek fejlesztéseit finanszírozzák.
- A követelések állománya a 2017. évi adathoz képest 51,0%-kal növekedett (360,5 milliárd forintról 544,2 milliárd forintra).
- Az aktív időbeli elhatárolódások egyenlege december 31-én 10,4 milliárd forint volt. Az önkormányzati vagyonmérleg eszközoldalának alakulása
millió forintban


4.2. Az önkormányzatok 2018. évi vagyoni forrásai az alábbiak szerint alakultak:
A 11 865,1 milliárd forint saját tőke 166,4 milliárd forint emelkedés eredménye, ezzel 98,5%-ban fedezetet nyújtott a nemzeti vagyonba tartozó befektetett eszközökre.
A kötelezettségek - az alábbiak szerint - 292,3 milliárd forintról 376,1 milliárd forintra növekedtek (28,7%-kal).
- A költségvetési évben esedékes kötelezettségek 52,9 milliárd forintról 62,1 milliárd forintra növekedtek, ami 17,4%-os növekedést jelentett.
- A költségvetési évet követően esedékes kötelezettségek 164,6 milliárd forintról 237,0 milliárd forintra emelkedtek, ez 44,0%-os növekedést tett ki.
- A kötelezettség jellegű sajátos elszámolások 74,8 milliárd forintról 77,0 milliárd forintra növekedtek, ami 2,9%-os emelkedést jelentett.
A passzív időbeli elhatárolások 1518,8 milliárd forintról, 1988,8 milliárd forintra növekedtek.
A fentiek alapján elmondható, hogy az önkormányzatok vagyoni forrásai a 2018. évben 720,2 milliárd forinttal (5,3%-kal), 14 230,0 milliárd forintra emelkedtek.
Az önkormányzati vagyonmérleg forrásoldalának alakulása
millió forintban

5. A kiadások funkcionális alakulása
A helyi önkormányzatok közfeladatainak ellátását az államháztartás funkcionális rendszerében a következő táblázat mutatja be:
Az önkormányzatok költségvetési kiadásainak funkcionális alakulása

A helyi önkormányzatok kiadásainak döntő részét, 53,2%-át a fenti táblázatban részletezett jóléti funkciók fedik le, ami jól mutatja a helyi önkormányzatok közfeladat-ellátó szerepének fontosságát. Az önkormányzati szféra működésében szintén kulcsfontosságú, az állami működési funkción belül az igazgatási, védelmi, rendészeti közszolgáltatások stb. 23,3%, a gazdasági és egyéb funkciókban ellátott feladatok pedig 21,0% részarányt képviselnek.
5.1. Az önkormányzati alrendszerben a köznevelés területén a 2018. évben nem volt olyan szakmai döntésből eredő változás, amely szükségessé tette volna az óvodák finanszírozásának részben vagy egészben történő átalakítását. A 2017/2018-as nevelési év adatai alapján az óvodai ellátásban részesülők 87,5%-a önkormányzati óvodában állt jogviszonyban. A pedagógusok és a nevelőmunkát segítők 86,1%-át (több mint 46 000 főt) szintén önkormányzati óvodában foglalkoztatják.
A gyermekétkeztetés biztosítása - mint kötelező önkormányzati feladat - 2018. évi kiadásainak és állami támogatásainak alakulása a szociális ágazat keretében, a jóléti tevékenységek között kerül bemutatásra.
A 2018. évben a finanszírozási műveletek nélküli összes kiadásokon belül az önkormányzatok 271,4 milliárd forintot fordítottak óvodai és egyéb oktatási (a továbbiakban együtt: oktatási) feladatokra, az előző évhez képest 6,5%-kal, 16,5 milliárd forinttal magasabb összeget. Ennek magyarázata többek között az ellátott óvodások számának emelkedése, és az ezzel járó magasabb bértámogatás, illetve a felhalmozási költségek növekedése. A bérkiadásokra (munkaadói járulékok nélkül) 172,4 milliárd forintot - az előző évinél 9,9 milliárd forinttal nagyobb összeget - fordítottak az önkormányzatok, a jogszabályban előírt béremelések eredményeként. Ez a működési kiadások 72,3%-ának felel meg. A költségvetési kiadáson belül a járulékokkal növelt bérteher és dologi kiadás 76,9-10,5% arányban oszlott meg.
A felhalmozási célokra 32,8 milliárd forintot fordítottak az önkormányzatok, amely 10,6 milliárd forinttal magasabb az előző évi teljesítésnél.
Az önkormányzati alrendszerben a finanszírozási műveletek nélküli összes kiadásokon belül 246,8 milliárd forint összeget fordítottak az óvodai feladatok ellátására, 12,6 milliárd forinttal többet, mint 2017-ben. A járulékok nélküli bérkiadásokra 163,4 milliárd forintot - az előző évnél 9,0 milliárd forinttal nagyobb összeget - költöttek az önkormányzatok. A költségvetési kiadáson belül a járulékokkal növelt bérteher és dologi kiadás 80,2-9,5% arányban oszlott meg. A felhalmozási célokra 22,8 milliárd forint összeget fordítottak.
A feladatalapú, köznevelési célú költségvetési támogatások települési önkormányzati óvodai nevelés esetében 181,5 milliárd forintot kitevő 2018. évi előirányzata a kapcsolódó működési célú költségvetési kiadásokra átlagosan 82,0%-ban nyújtottak fedezetet. A feladatalapú finanszírozási rendszer bevezetése előtt ez az arány még 50% körül alakult. Az arányok változása ez esetben is egyértelműen alátámasztja az új támogatási szisztéma létjogosultságát.
5.2. A szociális és gyermekjóléti, gyermekvédelmi szolgáltatások, intézmények, valamint a gyermekétkeztetés területén az érdemi változások az állam és az önkormányzatok közötti munkamegosztás újragondolásával 2013-ban, illetve 2015-ben megtörténtek.
2015. március 1-jétől a települések kizárólag saját hatáskörben hozott döntésük alapján támogathatják az arra rászoruló lakosaikat, települési támogatás formájában. Az állam a korábbi évekhez hasonlóan tavaly is hozzájárulást biztosított a szociális jellegű feladatokhoz - ezen belül kiemelten a települési támogatások finanszírozásához - az alacsonyabb adóerőképességű önkormányzatok számára. A települési önkormányzatok szociális feladatainak egyéb támogatása jogcím - figyelembe véve a települések jövedelemtermelő képességét - egyértelműen meghatározza a támogatás számításának módját és annak mértékét. Ennek megfelelően e jogcím az eredetileg biztosított 35,0 milliárd forint összegben teljesült, amely támogatás továbbra is felhasználható valamennyi szociális jellegű feladat ellátásához, így többek között a települési támogatás vagy a szociális- és gyermekjóléti alapszolgáltatások kiegészítő finanszírozásához.
Az önkormányzati intézményrendszer átalakítása alapvetően a 2013. évben lezajlott. 2018-ban érdemi változtatásokra e tekintetben nem került sor, a feladatok ellátása a 2017. évi állapothoz hasonlóan történt. A szociális és gyermekvédelmi, gyermekjóléti intézményrendszer fenntartásával és működtetésével kapcsolatos önkormányzati feladatellátás az alábbiak szerint alakult az önkormányzati beszámolók alapján.
A szolgáltatások és intézmények 2018. évi működési célú kiadása összesen 215,3 milliárd forint volt, amely mintegy 15 milliárd forinttal magasabb, mint a 2017. évi összeg. Az eltérés alapvetően a kiadásokon belül a személyi kiadások és munkáltatói járulékok sorain mutatkozik, amely tételek összesen 153,8 milliárd forintot tettek ki, és a működési kiadások 71,4%-át lefedik. A bővülés főként az általános - valamennyi szektort és ágazatot érintő - minimálbér és garantált bérminimum 2018. évi emeléséből adódik. Megállapítható, hogy a bérek növekedése miatt az önkormányzati fenntartók személyi juttatásokkal összefüggő kifizetései 12,5 milliárd forinttal növekedtek 2018-ben. Ezen túlmenően a szociális és gyermekvédelmi intézmények dologi kiadásai 4%-kal nőttek, összesen mintegy 57 milliárd forint kiadást eredményezve.
Ugyanakkor a települések szemmel láthatóan nagyobb gondot fordítanak az utóbbi években a felújításokra és beruházásokra, amely főként a fejlesztési források körének és mértékének folyamatos bővülésével magyarázható. A felhalmozási kiadások összege 2018-ban mindösszesen 17,8 milliárd forint volt, ami közel 75%-os növekedést jelent 2017-hez viszonyítva. Ezen belül a klasszikus beruházásokra 10,3 milliárd forintot, a felújításokra 7,5 milliárd forintot költöttek a fenntartók.
A tárgyévi költségvetési bevételek 55,4 milliárd forintra teljesültek, amely 4,2 milliárd forinttal elmarad a 2017. évi összegtől.
A kiadásokon és bevételeken belül - az állami támogatásokkal való összevethetőség érdekében -külön kell értékelni azon szolgáltatások és intézmények adatait, amelyek támogatása a központi költségvetés IX. Helyi önkormányzatok támogatásai fejezetéből történik (tehát a kötelező önkormányzati feladatok adatait). Ezek összes működési kiadása 211,7 milliárd forint, felhalmozási kiadása pedig 17,7 milliárd forint volt, amelyből a beruházások 10,2 milliárd forintot jelentettek. Az e feladatokhoz kapcsolódó tárgyévi költségvetési bevételeik összesen 53,6 milliárd forintra teljesültek. E szolgáltatások és intézmények költségvetési támogatása 2018-ban 109,8 milliárd forint volt. Az intézmények fenntartásához - a költségvetési támogatásokon és az intézményi bevételeken túl - az önkormányzatoknál mintegy 25%-os -mértékben vált szükségessé saját forrás biztosítása. (Ezen "önerőnek" egy részét volt mód elszámolni A települési önkormányzatok szociális feladatainak egyéb támogatása jogcímen.)
A gyermekétkeztetés finanszírozása 2014-ben átalakult, feladatalapú támogatási rendszer került bevezetésre, amelynek előirányzata évről évre emelkedett. 2016-ban további szakmai szabályozási változás történt, amelynek eredményeképpen az önkormányzatok feladatai kibővültek a szünidei étkeztetés kötelező ellátásával. Ahhoz, hogy a fenntartók valamennyi -tavaszi, nyári, őszi és téli - tanítási szünetben biztosítani tudják a rászoruló gyermekek részére az egyszeri főétkezést, az állami források is biztosítottak voltak. A központi költségvetés a gyermekétkeztetés támogatására - ideértve az intézményi étkeztetésen túlmenően a szünidei étkeztetést is - 2018-ban mindösszesen 77,4 milliárd forint támogatást nyújtott. Az intézményi működési bevételekből további 35,4 milliárd forint bevétel származott. Így az összesen 141,8 milliárd forint működési kiadás közel 80%-át az intézményi saját bevételek és az állami támogatások fedezték.
5.3. Az egészségügyi tevékenységhez kapcsolódó egészségügyi kiadások összege a 2018. évben közel 99 milliárd forintra teljesült, amely a 2017. évhez képest csaknem 23%-os növekményt jelent. A kiadások emelkedését az ágazatot érintő, valamint az általános bérintézkedések 2018. évi hatása eredményezi, továbbá megfigyelhető a fejlesztésekre fordított kiadások nagyarányú növekedése is.
Az egészségügyben a feladatmegosztás terén a rendszerszintű változások már 2012-ben végbementek. A városi önkormányzatoknak a járóbeteg-szakellátó intézmények tekintetében intézményműködtetési kötelezettségük áll fenn, valamint továbbra is kötelező feladatként jelentkezik az egészségügyi alapellátás keretében a háziorvosi, házi gyermekorvosi, fogorvosi ellátás és a központi ügyeleti ellátás biztosítása.
A kiadási jogcímeken belül a főbb tételeket tekintve a személyi juttatások és járulékai 45,9 milliárd forintot, a dologi kiadások 31,6 milliárd forintot tettek ki, a tőkejellegű (felhalmozásra, beruházásokra, felújításra fordított) kiadások pedig 17,7 milliárd forintra teljesültek.
Az ágazat az E. Alap beszámolójában kerül részletezésre.
5.4. A közművelődési és kulturális feladatokra - azon belül a kulturális javak védelmére, a muzeális intézményekre, a közművelődési és a nyilvános könyvtári ellátásra - szolgáló támogatás 2018-ban is önállóan és kötött felhasználásúan jelent meg a helyi önkormányzatok általános működésének és ágazati feladatainak támogatásai keretei között.
Kulturális célokra a 2018. évben összességében 153,1 milliárd forintot fordítottak az önkormányzatok, 11,2%-kal többet, mint az előző évben. A főbb tételeket tekintve a teljes ágazati kiadás 33,6%-át - 51,5 milliárd forintot - a személyi juttatások és járulékai tették ki. Dologi kiadásokra 51,5 milliárd forintot költöttek a települések, szinte ugyanannyit, mint személyi juttatásra. Kismértékben emelkedett az államháztartáson kívüli kulturális szervezetek számára - nonprofit vagy civil szerveződéseknek - nyújtott működési jellegű támogatás, amely 27,8 milliárd forintot tett ki, szemben a tavalyi 24,8 milliárd forinttal. A teljes ágazat kiadásán belül a felhalmozási kiadások - melyek tartalmazzák a beruházásokat, felújításokat, nagy értékű eszközbeszerzéseket - aránya 14,4%-ot képviselt, összegében 22,1 milliárd forintot tett ki. A 2017. évi adatokhoz képest a kulturális kiadások növekedését a kulturális célú beruházások emelkedése, a bérintézkedések hatása és a szigorú könyvelési szabályok betartása, a megfelelő kormányzati funkciók helyes használata együttesen okozta.
5.5. A helyi önkormányzatok működésének általános támogatása
A helyi önkormányzatok központi finanszírozása a 2018. évben is az önkormányzati feladatellátáshoz igazodó, 2013-tól kialakított feladatalapú támogatási rendszerben történt. Azóta a cél a struktúra megszilárdítása volt. A 2018. év fő feladata továbbra is a helyi önkormányzatok számára a működési hiány nélküli gazdálkodás fiskális feltételeinek erősítése, a kistelepülések további felzárkózásának, az esélyegyenlőség megteremtésének elősegítése volt. Annak érdekében, hogy a gazdasági folyamatok és jogszabály-változásokból adódó módosulások, illetve ellátotti létszám-mozgások kezelése is megtörténhessen, továbbra is volt lehetőség volt - a tényszámokhoz igazodó - kiegészítő források biztosítására a települések számára.
A beszámítás mellett az alacsony gazdasági potenciállal rendelkező települések továbbra is számíthattak a 2015-től bevezetett pozitív "kiegyenlítésre". Az alacsony helyi adóbevétellel rendelkező települések (10 000 forint/fő alatt) a beszámításban érintett támogatások összegére vetített, meghatározott százalékú kiegészítő támogatásban részesültek az alapfeladataik ellátása érdekében.
A 2017. évtől a helyi önkormányzatok kiegészítő támogatása egyrészt működési és felhalmozási célú költségvetési támogatások nyújtására adott lehetőséget, ezzel is segítve az önkormányzatok feladatellátását és a kapcsolódó fejlesztési beruházások megvalósítását, másrészt az egyedi problémák kezelése érdekében is tartalmazott forrásokat. Mindez tükröződik az ágazat kiadásainak adataiban is.
Az önkormányzatok általános közszolgáltatások funkciócsoporton kimutatott kiadásai 618,1 milliárd forintra teljesültek, 16,4%-kal magasabban, mint az előző évben. A főbb tételeket tekintve 39,4%-ot, 243,7 milliárd forintot a személyi juttatások és járulékai jelentettek, amely arányában tekintve 3,1 százalékponttal kevesebb, mint 2017-ben volt. A 2018. évben a teljes kiadás 30,5%-át fordították az önkormányzatok dologi kiadásokra, a korábbi évnél 28,1 milliárd forinttal többet, összességében 188,6 milliárd forintot. Egyéb működési célú kiadásokra - elsősorban államháztartáson kívüli szervezetek működésének támogatására - 23,5 milliárd forintot fordítottak a települések. A funkciócsoport teljes kiadásából 82,9 milliárd forintot költöttek beruházásra (14,8 milliárd forinttal többet, mint az előző évben) és 69,3 milliárd forintot (28,8 milliárd forinttal többet a tavalyinál) tárgyi eszköz felújítására.
IV.
TÖRVÉNYEKBEN ELŐÍRT BESZÁMOLÁSI ÉS TÁJÉKOZTATÁSI KÖTELEZETTSÉGEK
1. Költségvetési előirányzatok módosítása, átcsoportosítása
A központi alrendszer 2018. évi költségvetési törvényben meghatározott előirányzatai módosításáról, átcsoportosításáról 2018-ban - az Országgyűlés, a kormány, a fejezetek és az intézmények jogkörében - a következő döntések születtek:
1.1. Országgyűlés hatáskörében
Az év folyamán a költségvetési törvény módosítására nem került sor.
A Magyarország 2017. évi központi költségvetéséről szóló 2016. évi XC. törvény végrehajtásáról szóló 2018. évi LXXXIV. törvény 15. §-ában azonban az Országgyűlés elrendelte, hogy az Ny. Alap 2017. évi 5,4 milliárd forintos hiányát a XLII. A költségvetés közvetlen bevételei és kiadásai fejezet térítse meg 2018. december 28-áig a LXXI. Nyugdíjbiztosítási Alap fejezet 1. cím, 6. Költségvetési hozzájárulások alcím javára, mely törvényi szintű módosítást jelent (bevételi és kiadási oldalon egyaránt).
1.2. A kormány hatáskörében
A központi alrendszerben a kormány hatáskörű (és egyes, a költségvetési törvény által az államháztartásért felelős miniszter hatáskörébe utalt) döntések eredményeként az év folyamán a kiadási oldalt érintően összességében 441,9 milliárd forintos összegű előirányzat-emelés történt, a bevételi előirányzatok 39,6 milliárd forintos növelése mellett. A főbb intézkedések a következők voltak:
A 2018. évi költségvetés rendkívüli kormányzati intézkedésekre szolgáló tartalékának (XI. Miniszterelnökség fejezet) eredeti költségvetési előirányzata 110,0 milliárd forintot tett ki. A Kormány 1806/2018. (XII. 23.) számú határozatával a visszafolyó összegekből 1,3 milliárd forinttal megemelte az RKI előirányzatát. Az Áht. 21. § (1) bekezdése szerint a rendkívüli kormányzati intézkedésekre szolgáló tartalék felhasználásáról a kormány egyedi határozatban rendelkezik, ezek szerint a tartalék az év folyamán teljes mértékben átcsoportosításra került.
A 2018. évi költségvetési törvény XI. Miniszterelnökség fejezetében Országvédelmi Alap került beállításra a költségvetési kockázatok kivédése érdekében, melynek törvényi előirányzata 60,0 milliárd forint volt. E tartalék felhasználását a költségvetési törvény 19. § (2)-(4) bekezdése szabályozta. E szerint a tartalékot két ütemben, az EDP jelentés 2018. március 31-ig (az előirányzatból legfeljebb 30,0 milliárd forint), illetve szeptember 30-ig történő benyújtását követően (a fennmaradó rész) volt lehetséges felhasználni, amennyiben a benyújtott EDP jelentésben szereplő EDP-hiány - a felhasználni kívánt tartalékösszeg figyelembevételével - nem haladja meg a GDP 2,4%-át. E tartalék felhasználásáról a kormány határozataival döntött, teljes egészében átcsoportosítva azt.
A 2018. évi költségvetési törvényben céltartalék szolgált a közszférában foglalkoztatottak bérkompenzációjára a XI. Miniszterelnökség fejezetben. A céltartalék törvényi előirányzata 20,0 milliárd forint volt, ebből 12,2 milliárd forint átcsoportosítására került sor az év folyamán. A felhasználásról a kormány határozataival döntött.
A 2018. évben a költségvetési törvényben a Különféle kifizetések céltartalékra 1,3 milliárd forintos előirányzat került beállításra a XI. Miniszterelnökség fejezetben. A Különféle kifizetések céltartalék felhasználási céljait, az ebből részesíthetők körét, az ebből fakadó feladatokat, jogosítványokat a költségvetési törvény 4. § (2) bekezdése, valamint 20. § (1) bekezdése szabályozta. Ez utóbbi paragrafus szerint az államháztartásért felelős miniszter ezen előirányzatból - felmérés alapján - más fejezetre, címre, alcímre, jogcímcsoportra, jogcímre, előirányzat-csoportra, kiemelt előirányzatra átcsoportosíthat (például a Prémiumévek program kifizetéseinek támogatása és a számvevői illetményalap változásából következően). Az év folyamán e tartalék terhére összesen 0,6 milliárd forint összegben történtek átcsoportosítások.
A 2018. évi költségvetési törvényben, a XI. Miniszterelnökség fejezetben céltartalékot képeztek az ágazati életpályákkal és bérintézkedésekkel kapcsolatos kifizetésekre is, melynek törvényi előirányzata 65,8 milliárd forint volt. A költségvetési törvény 20. § (1) bekezdése szerint az államháztartásért felelős miniszter ezen előirányzatból - felmérés alapján - más fejezetre, címre, alcímre, jogcímcsoportra, jogcímre, előirányzat-csoportra, kiemelt előirányzatra átcsoportosíthat. Az átcsoportosítások összesen 95,2 milliárd forintot tettek ki, tekintettel arra, hogy a költségvetési törvény 4. melléklete szerint e céltartaléknál a teljesülés módosítás nélkül eltérhet az előirányzattól.
A 2018. évi költségvetési törvény 4. § (5) bekezdése szerint céltartalék szolgál a XI. Miniszterelnökség fejezetben a "Hazai bölcsődefejlesztési program" jogcímcsoporton a bölcsődei ellátást biztosító intézmények, szolgáltatások létrehozására, fejlesztésére, melynek előirányzata 3,5 milliárd forint volt. A kormány 1164/2018. (III. 27.) határozatában a céltartalékból 3,0 milliárd forintot a IX. Helyi önkormányzatok támogatása fejezetbe ("Bölcsődei fejlesztési program"), illetve 0,5 milliárd forintot a XX. Emberi Erőforrások Minisztériuma fejezetbe ("Családpolitikai célú pályázatok") csoportosított át.
A 2018. évben az Áht. (21. § (4a) bekezdés) és ennek végrehajtási rendelete (23/A. §) szabályozta a fejezeti stabilitási tartalékok képzését és felhasználását. Ezek szerint a költségvetési törvényben fejezeti stabilitási tartalékot kell képezni a költségvetési törvényben nem szerepeltetett új feladatok, valamint az abban szerepeltetett feladatok bővítése előirányzati fedezetének biztosítására. A kormány irányítása alá tartozó fejezetekben lévő fejezeti stabilitási tartalék előirányzatait tárgyév október 1-jét megelőzően nem lehet felhasználni, továbbá a kormány az államháztartásért felelős miniszter javaslatára határozatban dönt - a fejezetek költségvetési folyamatainak értékelése alapján - az előzőekben említett fejezeti stabilitási tartalék előirányzatok felhasználásának engedélyezéséről, fejezeten belüli és fejezetek közötti átcsoportosításáról. E tartalékok kapcsán 2018-ban három Korm. határozat született.
Az egyes tartalékok felhasználását részleteiben az általános indokolás ezzel kapcsolatos fejezete, valamint a fejezeti indokolások tartalmazzák.
Az Áht. 33. § (2) bekezdése szerint a központi költségvetésről szóló törvény és e törvény eltérő rendelkezése hiányában, a kormány irányítása alá tartozó fejezetek terhére történő előirányzat-átcsoportosítás esetén a központi költségvetésről szóló törvény által megállapított kiadási előirányzatok közötti átcsoportosításra a kormány egyedi határozatban jogosult. Ez alapján is jelentős számú döntés született.
Maga a 2018. évi költségvetési törvény is számos átcsoportosításra, illetve előirányzatmódosításra adott felhatalmazást a kormány és az államháztartásért felelős miniszter részére.
A költségvetési törvény 12. § (2) bekezdésében például a kormány kapott felhatalmazást arra, hogy az E. Alap meghatározott előirányzatait (Gyógyító-megelőző ellátás jogcímcsoport 1-18. jogcímei, Gyógyszertámogatás jogcímcsoport 1. jogcíme, Gyógyászati segédeszköz támogatás jogcímcsoport 1. és 3. jogcíme) megemelje. Ennek révén, a kormány kilenc határozata alapján 128,7 milliárd forint összegű forrás került biztosításra az E. Alap részére. A határozatok közül kiemelhető az 1673/2018. (XII. 13.) Korm. határozat, melyben az egészségügyi szakellátást nyújtó közfinanszírozott szolgáltatók gazdálkodását segítő intézkedésekre 55,0 milliárd forint, az 1588/2018. (XI. 22.) Korm. határozat, melyben a gyógyító-megelőző ellátás, a gyógyszertámogatás és a gyógyászati segédeszköz támogatás finanszírozására 37,0 milliárd forint, valamint az 1005/2018. (II. 1.) Korm. határozat, melyben az egészségügyi szakdolgozók 2018 november 1-jei 8%-os béremelésének 2018. január 1-jére történő előrehozására 19,1 milliárd forint került biztosításra.
A költségvetési törvény 20. § (2) bekezdése - az államháztartásért felelős miniszter hatáskörében - a Nemzeti Adó- és Vámhivatal részére előirányzat-emelést (személyi juttatások, valamint munkaadókat terhelő járulékok és szociális hozzájárulási adó kiemelt előirányzatokon) tett lehetővé meghatározott adónemek negyedéves bevételi terveinek teljesítése esetén. Ez összesen 17,9 milliárd forint pótlólagos támogatást jelentett.
A költségvetési törvény 35. § (1) bekezdése szerint "a IX. Helyi önkormányzatok támogatásai fejezetben 2017. évben év közben létrehozott új címek, illetve alcímek 2017. december 31-ei pozitív egyenlege esetén az államháztartásért felelős miniszter gondoskodhat e címek és alcímek 2018. évi címrendbe történő felvételéről és a 2017. december 31-én fennálló pozitív egyenlegnek megfelelő összeg biztosításáról". E bekezdés alapján 40,1 milliárd forint összegű előirányzat-emelésre került sor a fenti fejezetben.
Az Áht. 31. § (2d) bekezdése szerint az államháztartás központi alrendszerébe tartozó költségvetési szerv és a fejezeti kezelésű előirányzat által a maradvány megállapítása, elszámolása során befizetett összeggel az államháztartásért felelős miniszter megnövelheti a bevétel felhasználására szolgáló kiadási előirányzatot (a KMA kiadási előirányzatát). Erre az év folyamán 199,4 milliárd forintos összegben került sor. Az Áht. végrehajtási rendeletének 153. §-a szerint a KMA kiadási előirányzatának előirányzat-átcsoportosítással történő felhasználásáról az államháztartásért felelős miniszter előterjesztése alapján a kormány egyedi határozatban rendelkezik. Az előbbiekben említett 199,4 milliárd forintos kiadási előirányzat majdnem teljes egészében átcsoportosításra került a kormány határozataival, minimális összegű, mindössze 60,7 millió forint előirányzat átcsoportosítására nem került sor.
A bevételi előirányzatokat érintő módosítások (összességében emelése) az elkülönített állami pénzalapok és a társadalombiztosítás pénzügyi alapjai költségvetési támogatásához kapcsolódtak.
A fentiekhez tartozó különféle intézkedésekről az általános indokolás egyes fejezetei, valamint a fejezeti indokolások adnak további tájékoztatást.
1.3. A fejezet és az intézmény hatáskörében
A központi alrendszerben a fejezeti, intézményi hatáskörben elvégzett módosítások, átcsoportosítások 2018-ban kiadási oldalon összességében 4010,0 milliárd forintos előirányzat-emelést eredményeztek. A bevételeket érintő módosítások, átcsoportosítások e két jogkörben 1238,7 milliárd forintos előirányzat-növeléssel jártak. Ezekről a fejezeti indokolás kötetekben található részletes felvilágosítás.
2. Tartalék-előirányzatok
2.1. A központi költségvetés rendkívüli kormányzati intézkedésekre szolgáló tartalékának felhasználása
A Magyarország 2018. évi költségvetési törvényében az Országgyűlés 110,0 milliárd forintban állapította meg az RKI előirányzatát. Az Áht. 21. § (3) bekezdése értelmében, az első félévben csak a tartalék előirányzat 40%-áig vállalható kötelezettség. Ez az összeg 44,0 milliárd forint volt, melyből 43,7 milliárd forint átcsoportosításáról hozott döntést a kormány.
Az Ávr. 23. § (4) bekezdése lehetőséget ad arra, hogy a fejezetek részére visszatérítési kötelezettség mellett lehessen a tartalékból átcsoportosítani, mely összeggel - a Különleges bevételek számlára történő befizetést követően - a kormány az adott évi rendkívüli kormányzati intézkedésekre szolgáló tartalék előirányzatát megnövelheti.
A fejezetek közötti és fejezeten belüli előirányzat-átcsoportosításokról, a 2017. évi költségvetési maradványok egy részének felhasználásáról, valamint egyes kormányhatározatok módosításáról szóló 1806/2018. (XII. 23.) Korm. határozat 1,3 milliárd forinttal 111,3 milliárd forintra módosította az RKI 2018. évi felhasználható összegét.
Az átcsoportosítások összegének 14,4%-a (16,0 milliárd forint) a hazai építőipari vállalkozások hatékonyságnövelésének támogatását; 14,1%-a (15,7 milliárd forint) a büntetőeljárásról szóló 2017. évi XC. törvény elfogadásához kapcsolódó költségvetési forrásokat; 7,8%-a (8,7 milliárd forint) a nyugdíjasok részére juttatott 10 ezer forint értékű Erzsébet utalvány részbeni forrását; 7,4%-a (8,2 milliárd forint) egyes önkormányzatok (Pécs, Eger, Harkány, Kiskunhalas, Várpalota) fejlesztési és működési feladatainak megvalósítását; 6,3%-a (7,0 milliárd forint) a Felvidéki és Vajdasági gazdaságfejlesztési stratégia támogatását és gazdaságfejlesztési program megvalósítását; 5,4%-a (6,0 milliárd forint) a Családpolitikai nemzeti konzultáció lebonyolítása kapcsán felmerülő nyomdai, megszemélyesítési és kézbesítési költségeket; 4,5%-a (5,0 milliárd forint) óvodafejlesztési program támogatását; 2,5%-a (2,8 milliárd forint) az Európai Unió Afrikából kiinduló migráció kiváltó tényezőinek kezelésére létrehozott Szükséghelyzeti Vagyonkezelő Alapjához való magyar hozzájárulást biztosította.
A Rendkívüli kormányzati intézkedésekre szolgáló tartalék terhére történő előirányzat átcsoportosításokról szóló kormányhatározatokban elszámolási és a fel nem használt rész tekintetében visszatérítési kötelezettség került előírásra.
A 2018. évi átcsoportosításokat részletező táblázat az általános indokolás mellékletei között szerepel.
2.2. Az Országvédelmi Alap felhasználása
A Magyarország 2018. évi költségvetési törvényében az Országgyűlés 60,0 milliárd forintban állapította meg az OVA előirányzatát.
A Kvtv. 19. § (2) bekezdése alapján az előirányzatából legfeljebb 30,0 milliárd forint az EDP-Jelentés 2018. március 31-ig történő benyújtását követően használható fel az (4) bekezdés figyelembevételével, amennyiben a benyújtott EDP-Jelentésben szereplő EDP-hiány - a felhasználni kívánt tartalékösszeg figyelembevételével - nem haladja meg a GDP 2,4%-át. A Kvtv. 19. § (3) bekezdése szerint a (2) bekezdésen felüli része az EDP-Jelentés 2018. szeptember 30-ig történő benyújtását követően használható fel az (4) bekezdés figyelembevételével, amennyiben a benyújtott EDP jelentésben szereplő EDP-hiány - a felhasználni kívánt tartalékösszeg figyelembevételével - nem haladja meg a GDP 2,4%-át. Az OVA felhasználásáról a kormány határozatban dönt.
2018. szeptember 30-ig az előirányzatból 28,2 milliárd forint került felhasználásra, év végéig pedig a teljes 60,0 milliárd forint felhasználásra került.
Az átcsoportosítások összegének 21,5%-a (12,9 milliárd forint) a Békéscsaba, Hódmezővásárhely, Szeged és Szabadka térsége elővárosi közlekedése fejlesztésének támogatását; 16,7%-a (10,0 milliárd forint) az autóbusszal végzett személyszállítási közszolgáltatások finanszírozását; 16,4%-a (9,8 milliárd forint) a távhő téli rezsicsökkentés finanszírozását, 12,5%-a (7,5 milliárd forint) egyes egyházi fejlesztési, működési és program célú támogatások forrásszükségletének biztosítását és 10%-a (6,0 milliárd forint) a Kárpátmedencei óvodafejlesztési program második ütemének a finanszírozását szolgálta.
A 2018. évi átcsoportosításokat részletező táblázat az általános indokolás mellékletei között szerepel.
2.3. A céltartalék felhasználása
A költségvetési törvény céltartalékként a XI. Miniszterelnökség fejezet, 32. Központi kezelési előirányzatok címnek a 3. Céltartalékok alcímén az 1. Közszférában foglalkoztatottak bérkompenzációja jogcímcsoportján 20,0 milliárd forintot, a 2. Különféle kifizetések jogcímcsoportján 1,3 milliárd forintot, a 3. Ágazati életpályák és bérintézkedések jogcímcsoportján 65,8 milliárd forintot, míg a 4. Hazai bölcsődefejlesztési program jogcímcsoportján 3,5 milliárd forintot, összesen 90,6 milliárd forintot tartalmazott.
A Közszférában foglalkoztatottak bérkompenzációja jogcímcsoporton betervezett összeg szolgált a költségvetési szerveknél és az egyházak közcélú tevékenységet folytató intézményeinél foglalkoztatottak részére a 2018. évben - jogszabály alapján - járó többlet személyi juttatások és az azokhoz kapcsolódó munkaadókat terhelő járulékok és szociális hozzájárulási adó kifizetésére.
Ennek felhasználása az alábbiak szerint alakult:
millió forintban

Az előirányzat teljesülése 61%, az alacsony felhasználás oka, egyrészről a költségvetési törvény elfogadását követően született bérrendezési döntések kompenzációs igényt csökkentő hatása, másrészt, hogy a kompenzációs rendszer összetettségéből (a kompenzáció összege számos változó tényező függvénye) adódóan az éves szinten szükséges összeg csak nagyságrendben határozható meg.
A Különféle kifizetések jogcímcsoporton szereplő összeg nyújtott fedezetet
- a prémiumévek programról és a különleges foglalkoztatási állományról szóló törvény szerinti munkáltatói kifizetésekre,
- az Állami Számvevőszékről szóló 2011. évi LXVI. törvény 21. § (1) bekezdésében meghatározott számvevői illetményalap változása miatti személyi juttatás és az azokhoz kapcsolódó munkaadókat terhelő járulékok és szociális hozzájárulási adó növekményének kifizetésére,
- a központi költségvetési szerveknél a feladatok változásával, a szervezetek, szervezetrendszerek korszerűsítésével, a feladatellátás ésszerűsítésével megvalósuló, kiadás- és költségvetési támogatás-megtakarítást eredményező létszámcsökkentések személyi juttatások és munkaadókat terhelő járulékok és szociális hozzájárulási adó kifizetéseire.
A fentiek közül az alábbi jogcímeken és összegekkel történt az év folyamán felhasználás:
millió forintban

Az előirányzat tervezettől elmaradó (44%-os) felhasználása annak következménye, hogy nem került sor olyan volumenű létszámcsökkentésre a központi költségvetési szervek körében, amelynek egyszeri többletkifizetéseihez az előirányzat terhére kellett volna támogatást nyújtani.
Az Ágazati életpályák és bérintézkedések jogcímcsoporton betervezett 65,8 milliárd forintos összeg a jogszabály vagy kormányhatározat alapján járó többlet személyi juttatások és az azokhoz kapcsolódó, munkaadókat terhelő járulékok és szociális hozzájárulási adó kifizetésére szolgált.
A betervezett összeg felhasználása az alábbiak szerint alakult:
millió forintban

Az előirányzat 45%-os mértékű túllépése meghatározóan a 2018. évi költségvetés elfogadását követően született illetményfejlesztési döntések többlettámogatásának következménye (döntően: az Országgyűlésről szóló törvény módosításából, a vízügyi igazgatási szerveknél foglalkoztatottak bérfejlesztéséből, az igazságügyi alkalmazottak. illetményemeléséből és egyes állami tulajdonú gazdasági társaságok minimálbér-emeléséből adódó illetményemelkedés támogatása).
A Hazai bölcsődefejlesztési program jogcímcsoport előirányzatából 3,0 milliárd forint a IX. Helyi önkormányzatok támogatásai fejezetbe (bölcsődefejlesztési programok végrehajtása céljára), míg a fennmaradó 0,5 milliárd forint a XX. Emberi Erőforrások Minisztériuma fejezetbe (családpolitikai célú pályázatok céljára) került átcsoportosításra, a hazai bölcsődefejlesztési programról szóló 1164/2018. (III. 27.) Korm. határozat alapján.
3. Állami kezességvállalások
Az állami kezesség, garancia és kiállítási garancia vállalásokra vonatkozó felhatalmazások végrehajtásáról a 2.12. Kezességérvényesítés c. pont tartalmaz részletes beszámolót.
V.
FELHATALMAZÁSOK
A költségvetési törvényben meghatározott felhatalmazások végrehajtásáról
Az 5. § (6) bekezdése arra adott felhatalmazást a kormánynak, hogy engedélyezze - a NET Zrt. által vagyonkezelt, állami tulajdonú ingatlanok értékesítéséből és hasznosításából származó bevételek összegének erejéig - a NET Zrt. jogszabályban meghatározott feladatait finanszírozó kiadási előirányzatok növelését. 2018-ban e kiadási előirányzatok megemelésére nem került sor.
Az 5. § (9) bekezdése arra adott felhatalmazást az államháztartásért felelős miniszternek, hogy a hatoslottó szerencsejáték játékadója 2018-ban pénzforgalmilag teljesült összege 100%-ának mértékéig engedélyezze a XLIII. Az állami vagyonnal kapcsolatos bevételek és kiadások fejezet, 2/2/2/3. A Magyar Nemzeti Filmalap Közhasznú Nonprofit Zrt. támogatása jogcím előirányzatának túllépését. 2018-ban e túllépés engedélyezésére nem került sor.
A 6. § (1) bekezdése a XLIII. Az állami vagyonnal kapcsolatos bevételek és kiadások fejezet, 2/5. Fejezeti tartalék alcím kiadási előirányzatának fejezeten belüli felhasználására adott felhatalmazást az állami vagyon felügyeletéért és az államháztartásért felelős miniszterek együttes jóváhagyásával. A felhasználás 2018-ban a következő célokat szolgálta:
- tulajdonosi kölcsönök elszámolása: 3861,2 millió forint,
- tanácsadók, értékbecslők, jogi képviselők díja: 996 millió forint,
- az MNV Zrt. által kezelt ingatlanok üzemeltetése, fenntartása: 362,2 millió forint,
- az MNV Zrt. által végrehajtott tőkeemelés: 170,6 millió forint,
- eljárási költségek: 70 millió forint.
A 6. § (2) bekezdésében szereplő, a kormány jóváhagyásával történő a XLIII. Az állami vagyonnal kapcsolatos bevételek és kiadások fejezet kiadásait érintő előirányzat-túllépésre 2018-ban nem került sor.
A 7. § (1) bekezdése a XLIV. A Nemzeti Földalappal kapcsolatos bevételek és kiadások fejezet, 2/5. Fejezeti tartalék alcím előirányzatának fejezeten belüli felhasználására adott felhatalmazást az agrárpolitikáért felelős és az államháztartásért felelős miniszterek együttes jóváhagyásával. A felhasználás 2018-ban a következő célokat szolgálta:
- termőföld vásárlás: 400 millió forint,
- életjáradék termőföldért: 100 millió forint.
A 7. § (2) bekezdésében szereplő, a kormány jóváhagyásával történő a XLIV. A Nemzeti Földalappal kapcsolatos bevételek és kiadások fejezet kiadásait érintő előirányzat-túllépésre 2018-ban nem került sor.
A 8. § (4) bekezdésében szereplő, az államháztartásért felelős minisztert megillető - a kiotói egységek átruházásából befolyó bevételek elszámolását célzó bevételi jogcím létrehozására irányuló - felhatalmazás alkalmazására az érintett bevétel hiányában 2018-ban nem került sor.
A 12. § (1) bekezdés b) pontjában kapott felhatalmazás alapján a kormány a Gyógyítómegelőző ellátás céltartalék jogcímről átcsoportosítást hajtott végre az E. Alap Gyógyítómegelőző ellátás jogcímcsoport jogcímeire (1788/2017. (XI. 8.) Korm. határozat, 1131/2018. (III. 19.) Korm. határozat, 1228/2018. (IV. 24.) Korm. határozat, 1510/2018. (X. 17.) Korm. határozat, 1588/2018. (XI. 22.) Korm. határozat).
A 12. § (2) bekezdése szerinti felhatalmazás alapján a kormány megemelte az E. Alap Gyógyító-megelőző ellátás, Gyógyszertámogatás és Gyógyászati segédeszköz támogatás jogcímcsoport előirányzatait (1714/2017. (X. 3.) Korm. határozat a) pont, 1788/2017. (XI. 8.) Korm. határozat 2. pont, 1005/2018. (II. 1.) Korm. határozat 1. pont, 1131/2018. (III. 19.) Korm. határozat 2. pont, 1228/2018. (IV. 24.) Korm. határozat 2. pont, 1483/2018. (X. 8.) Korm. határozat, 1588/2018. (XI. 22.) Korm. határozat 2. pont, 1673/2018. (XII. 13.) Korm. határozat 1. pont, 1807/2018. (XI. 22.) Korm. határozat 2. pont).
A 12. § (3) bekezdésben kapott felhatalmazás alapján a kormány módosította a 15. § (2) bekezdésben - az egészségügyi ellátórendszer fejlesztéséről szóló törvény és végrehajtási rendelete szerinti többletkapacitás-befogadások várható éves teljesítményének finanszírozására - meghatározott keretösszeget (1714/2017. (X. 3.) Korm. határozat b) pont).
A 13. § (1) bekezdésben kapott felhatalmazás alapján az egészségbiztosításért felelős miniszter az államháztartásért felelős miniszter egyetértésével átcsoportosítást hajtott végre a Gyógyító-megelőző ellátás és a Gyógyászati segédeszköz támogatás jogcímcsoporton belül.
A 13. § (2) bekezdésben kapott felhatalmazás alapján az egészségbiztosításért felelős miniszter az államháztartásért felelős miniszter egyetértésével átcsoportosíthat a Természetbeni ellátások céltartaléka előirányzatról a Gyógyító-megelőző ellátás, a Gyógyszertámogatás, a Gyógyászati segédeszköz támogatás jogcímcsoport és a Külföldön tervezett egészségügyi ellátások megtérítése jogcímre. Az átcsoportosítás teljes összegben a Gyógyító-megelőző ellátás jogcímcsoport, Összevont szakellátás jogcímre megtörtént.
A 13. § (3) bekezdésben kapott felhatalmazás alapján az egészségbiztosításért felelős miniszter átcsoportosítást hajtott végre - a Szerződések szerinti gyógyszergyártói és forgalmazói befizetések jogcímen, valamint a Folyamatos gyógyszerellátást biztosító gyógyszergyártói és forgalmazói befizetések és egyéb gyógyszerforgalmazással kapcsolatos bevételek jogcímen elszámolt bevételek mértékéig - a Gyógyszertámogatás céltartalék jogcímről a Gyógyszertámogatás kiadásai jogcímre.
A 15. § (2) bekezdése alapján a többletkapacitás befogadásoktól eltérő, a Gyógyító-megelőző ellátás jogcímcsoporton belüli jogcímek szerinti célra történő felhasználást az egészségbiztosításért felelős miniszter az államháztartásért felelős miniszter egyetértésével engedélyezheti, melyre év végén sor került.
A 19. § (1) § bekezdésében kapott felhatalmazás értelmében a következő kormányhatározatok alapján került sor a IX. Helyi önkormányzatok támogatásai fejezet és más fejezetek közötti átcsoportosításra.
- A Kormány az 1045/2018. (II. 14.) határozatában döntött a szociális ágazatban dolgozókkal kapcsolatos 2018. évi bérintézkedések, valamint a IX. Helyi önkormányzatok támogatásai fejezet és a XX. Emberi Erőforrások Minisztériuma fejezet közötti, feladat és intézmény átadás-átvétel miatti előirányzat-átcsoportosításról.
- A Kormány az 1294/2018. (VII. 2.) határozatában döntött a IX. Helyi önkormányzatok támogatásai fejezet és a XX. Emberi Erőforrások Minisztériuma fejezet közötti feladat átadás-átvétel miatti előirányzat-átcsoportosításról.
- A Kormány az 1697/2018. (XII. 17.) határozatában döntött a települési önkormányzat támogatásáról, egyes települési önkormányzatok támogatását érintő kormányhatározatok módosításáról és intézmény átadás-átvételhez kapcsolódó fejezetek közötti előirányzatátcsoportosításról.
A Nemzetgazdasági Minisztérium Szervezeti és Működési Szabályzatáról szóló 1/2015. (I. 21.) NGM utasítás 1. mellékletéhez tartozó 4. számú függelék VI./54. pontja alapján a miniszter a Kvtv. 35.§ (1) bekezdés szerinti hatáskörének gyakorlását az államháztartásért felelős államtitkárra delegálta, aki döntött az 5-46. címek és a hozzájuk tartozó alcímek létrehozásáról.
- Önkormányzatok feladatainak 2016. évi döntés szerinti támogatása I. cím.
- Abádszalók Város feladatainak támogatása alcím.
- Balatonkenese Város feladatainak támogatása alcím.
- Balmazújváros Város feladatainak támogatása II. alcím.
- Berekfürdő Község feladatainak támogatása alcím.
- Berettyóújfalu Város feladatainak támogatása alcím.
- Bocska Község feladatainak támogatása alcím.
- Bodmér Község feladatainak támogatása alcím.
- Budapest II. kerület feladatainak támogatása alcím.
- Budapest V. kerület feladatainak támogatása alcím.
- Budapest XX. kerület feladatainak támogatása alcím.
- Budapest XXI. kerület feladatainak támogatása alcím.
- Cegléd Város feladatainak támogatása II. alcím.
- Csákvár Város feladatainak támogatása II. alcím.
- Döge Község feladatainak támogatása alcím.
- Érsekvadkert Község feladatainak támogatása alcím.
- Felsőpetény Község feladatainak támogatása alcím.
- Füzesgyarmat Város feladatainak támogatása alcím.
- Önkormányzatok feladatainak 2016. évi döntés szerinti támogatása II. cím.
- Harkány Város feladatainak támogatása II. alcím.
- Hódmezővásárhely Megyei Jogú Város feladatainak támogatása II. alcím.
- Hosszúpereszteg Község feladatainak támogatása alcím.
- Kemecse Város feladatainak támogatása alcím.
- Kiskunmajsa Város feladatainak támogatása II. alcím.
- Kunszentmiklós Város feladatainak támogatása II. alcím.
- Mád község feladatainak támogatása alcím.
- Mélykút Város feladatainak támogatása alcím.
- Mencshely Község feladatainak támogatása alcím.
- Mikosszéplak Község feladatainak támogatása alcím.
- Monor Város feladatainak támogatása III. alcím.
- Monostorpályi Község feladatainak támogatása alcím.
- Önkormányzatok feladatainak 2016. évi döntés szerinti támogatása III. cím.
- Nyírbogát Nagyközség feladatainak támogatása alcím.
- Óbudavár Község feladatainak támogatása alcím.
- Pécel Város feladatainak támogatása alcím.
- Péteri Község feladatainak támogatása alcím.
- Ráckeve Város feladatainak támogatása alcím.
- Sárbogárd Város feladatainak támogatása alcím.
- Szikszó Város feladatainak támogatása alcím.
- Önkormányzatok feladatainak 2016. évi döntés szerinti támogatása IV. cím.
- Tarpa Nagyközség feladatainak támogatása alcím.
- Tiborszállás Község feladatainak támogatása alcím.
- Túrkeve Város feladatainak támogatása alcím.
- Vajta Község feladatainak támogatása alcím.
- Velence Város feladatainak támogatása alcím.
- Gerjen Község Önkormányzatának támogatása cím.
- Abasár település vízrendezési feladatainak megvalósítása cím.
- Tata Város támogatása a karsztvízszint emelkedés okozta azonnali intézkedést igénylő feladatok végrehajtásához cím.
- Hermina Garázs előkészítésével kapcsolatos feladatok támogatása cím.
- Helyi érdekű települési fejlesztések I. cím.
- Abaújvár Község fejlesztési feladatainak támogatása alcím.
- Albertirsa Város fejlesztési feladatainak támogatása alcím.
- Atkár Község fejlesztési feladatainak támogatása alcím.
- Baja Város fejlesztési feladatainak támogatása alcím.
- Bajna Község fejlesztési feladatainak támogatása alcím.
- Bakonybánk Község fejlesztési feladatainak támogatása alcím.
- Bánhorváti Község fejlesztési feladatainak támogatása alcím.
- Bekölce Község fejlesztési feladatainak támogatása alcím.
- Bihartorda Község fejlesztési feladatainak támogatása alcím.
- Bodrogkeresztúr Község fejlesztési feladatainak támogatása alcím.
- Bokod Község fejlesztési feladatainak támogatása alcím.
- Borzavár Község fejlesztési feladatainak támogatása alcím.
- Bököny Község fejlesztési feladatainak támogatása alcím.
- Bősárkány Nagyközség fejlesztési feladatainak támogatása alcím.
- Budapest II. kerület fejlesztési feladatainak támogatása alcím.
- Budapest III. kerület fejlesztési feladatainak támogatása alcím.
- Budapest IV. kerület fejlesztési feladatainak támogatása alcím.
- Budapest IX. kerület fejlesztési feladatainak támogatása alcím.
- Budapest X. kerület fejlesztési feladatainak támogatása alcím.
- Budapest XI. kerület fejlesztési feladatainak támogatása alcím.
- Budapest XV. kerület fejlesztési feladatainak támogatása alcím.
- Budapest XVI. kerület fejlesztési feladatainak támogatása alcím.
- Budapest XVII. kerület fejlesztési feladatainak támogatása alcím.
- Budapest XVIII. kerület fejlesztési feladatainak támogatása alcím.
- Budapest XXII. kerület fejlesztési feladatainak támogatása alcím.
- Csákvár Város fejlesztési feladatainak támogatása alcím.
- Csanytelek Község fejlesztési feladatainak támogatása alcím.
- Cserkeszőlő Község fejlesztési feladatainak támogatása alcím.
- Csévharaszt Község fejlesztési feladatainak támogatása alcím.
- Csorna Város fejlesztési feladatainak támogatása alcím.
- Csökmő Nagyközség fejlesztési feladatainak támogatása alcím.
- Dánszentmiklós Község fejlesztési feladatainak támogatása alcím.
- Dóc Község fejlesztési feladatainak támogatása alcím.
- Egyed Község fejlesztési feladatainak támogatása alcím.
- Egyek Nagyközség fejlesztési feladatainak támogatása alcím.
- Értény Község fejlesztési feladatainak támogatása alcím.
- Fedémes Község fejlesztési feladatainak támogatása alcím.
- Felsőörs Község fejlesztési feladatainak támogatása alcím.
- Felsőszenterzsébet Község fejlesztési feladatainak támogatása alcím.
- Gomba Község fejlesztési feladatainak támogatása alcím.
- Gödöllő Város fejlesztési feladatainak támogatása alcím.
- Gyömrő Város fejlesztési feladatainak támogatása alcím.
- Gyöngyösfalu Község fejlesztési feladatainak támogatása alcím.
- Győrság Község fejlesztési feladatainak támogatása alcím.
- Hajdúszovát Község fejlesztési feladatainak támogatása alcím.
- Hernád Nagyközség fejlesztési feladatainak támogatása alcím.
- Hunyadfalva Község fejlesztési feladatainak támogatása alcím.
- Jásd Község fejlesztési feladatainak támogatása alcím.
- Juta Község fejlesztési feladatainak támogatása alcím.
- Kapospula Község fejlesztési feladatainak támogatása alcím.
- Kemestaródfa Község fejlesztési feladatainak támogatása alcím.
- Kisszállás Község fejlesztési feladatainak támogatása alcím.
- Kunadacs Község fejlesztési feladatainak támogatása alcím.
- Kuncsorba Község fejlesztési feladatainak támogatása alcím.
- Helyi érdekű települési fejlesztések II. cím.
- Magyarföld Község fejlesztési feladatainak támogatása alcím.
- Mátraverebély Község fejlesztési feladatainak támogatása alcím.
- Mikepércs Község fejlesztési feladatainak támogatása alcím.
- Monorierdő Község fejlesztési feladatainak támogatása alcím.
- Nagycserkesz Község fejlesztési feladatainak támogatása alcím.
- Nagykálló Város fejlesztési feladatainak támogatása alcím.
- Nagyveleg Község fejlesztési feladatainak támogatása alcím.
- Naszály Község fejlesztési feladatainak támogatása alcím.
- Nyíradony Város fejlesztési feladatainak támogatása alcím.
- Örményes Község fejlesztési feladatainak támogatása alcím.
- Ősagárd Község fejlesztési feladatainak támogatása alcím.
- Páhi Község fejlesztési feladatainak támogatása alcím.
- Páli Község fejlesztési feladatainak támogatása alcím.
- Rábapordány Község fejlesztési feladatainak támogatása alcím.
- Radostyán Község fejlesztési feladatainak támogatása alcím.
- Ragály Község fejlesztési feladatainak támogatása alcím.
- Rajka Község fejlesztési feladatainak támogatása alcím.
- Ramocsa Község fejlesztési feladatainak támogatása alcím.
- Sajóivánka Község fejlesztési feladatainak támogatása alcím.
- Sajókaza Község fejlesztési feladatainak támogatása alcím.
- Sajókeresztúr Község fejlesztési feladatainak támogatása alcím.
- Sajóvelezd Község fejlesztési feladatainak támogatása alcím.
- Sóskút Község fejlesztési feladatainak támogatása alcím.
- Szamoskér Község fejlesztési feladatainak támogatása alcím.
- Szászberek Község fejlesztési feladatainak támogatása alcím.
- Szászfa Község fejlesztési feladatainak támogatása alcím.
- Szentdomonkos Község fejlesztési feladatainak támogatása alcím.
- Szijártóháza Község fejlesztési feladatainak támogatása alcím.
- Szob Város fejlesztési feladatainak támogatása alcím.
- Szulok Község fejlesztési feladatainak támogatása alcím.
- Tab Város fejlesztési feladatainak támogatása alcím.
- Tarhos Község fejlesztési feladatainak támogatása alcím.
- Tárkány Község fejlesztési feladatainak támogatása alcím.
- Tárnok Nagyközség fejlesztési feladatainak támogatása alcím.
- Tatárszentgyörgy Község fejlesztési feladatainak támogatása alcím.
- Téglás Város fejlesztési feladatainak támogatása alcím.
- Tetétlen Község fejlesztési feladatainak támogatása alcím.
- Tiszainoka Község fejlesztési feladatainak támogatása alcím.
- Tiszavárkony Község fejlesztési feladatainak támogatása alcím.
- Tolcsva Község fejlesztési feladatainak támogatása alcím.
- Újlengyel Község fejlesztési feladatainak támogatása alcím.
- Újtikos Község fejlesztési feladatainak támogatása alcím.
- Úri Község fejlesztési feladatainak támogatása alcím.
- Vajta Község fejlesztési feladatainak támogatása alcím.
- Vásárosnamény Város fejlesztési feladatainak támogatása alcím.
- Völcsej Község fejlesztési feladatainak támogatása alcím.
- Zádorfalva Község fejlesztési feladatainak támogatása alcím.
- Zagyvarékas Község fejlesztési feladatainak támogatása alcím.
- Zirc Város fejlesztési feladatainak támogatása alcím.
- Nyíregyháza Megyei Jogú Város Önkormányzata infrastrukturális fejlesztéseinek támogatása cím.
- Kenderes Város Önkormányzata tulajdonában álló egyes ingatlanok felújításának támogatása cím.
- Helyi érdekű települési fejlesztések III. cím.
- Győr Megyei Jogú Város fejlesztési feladatainak támogatása alcím.
- Kecskemét Megyei Jogú Város feladatainak támogatása alcím.
- Miskolc Megyei Jogú Város fejlesztési feladatainak támogatása alcím.
- Pécs Megyei Jogú Város fejlesztési feladatainak támogatása alcím.
- Szeged Megyei Jogú Város fejlesztési feladatainak támogatása alcím.
- Székesfehérvár Megyei Jogú Város fejlesztési feladatainak támogatása alcím.
- Szolnok Megyei Jogú Város fejlesztési feladatainak támogatása alcím.
- Zalaegerszeg Megyei Jogú Város fejlesztési feladatainak támogatása alcím.
- Székesfehérvár Megyei Jogú Város Önkormányzata kulturális fejlesztési feladatainak támogatása cím.
- Bicske Város Önkormányzata hivatali épület beruházásának támogatása cím.
- Csólyospálos Község Önkormányzata fejlesztéseinek támogatása cím.
- Fülöpszállás Község Önkormányzata fejlesztéseinek támogatása cím.
- Gátér Község Önkormányzata fejlesztéseinek támogatása cím.
- Jakabszállás Község Önkormányzata fejlesztéseinek támogatása cím.
- Kömpöc Község Önkormányzata fejlesztéseinek támogatása cím.
- Kunszállás Község Önkormányzata fejlesztéseinek támogatása cím.
- Nyárlőrinc Község Önkormányzata fejlesztéseinek támogatása cím.
- Pálmonostora Község Önkormányzata fejlesztéseinek támogatása cím.
- Tiszaug Község Önkormányzata fejlesztéseinek támogatása cím.
- Az önkormányzati ASP rendszer működtetésének támogatása cím.
- Csokvaomány Község Önkormányzata konyha korszerűsítésének és útfelújítási feladatainak támogatása cím.
- Normafa Park beruházás 2017. évi üteméhez kapcsolódó egyes kisajátítási költségek támogatása cím.
- Budapest X. kerület, Hős utca 15/A-B szám alatti ingatlan helyzetének rendezése cím.
- Budapest VIII. kerület városkép rahabilitáció támogatása cím.
- Tomajmonostora Község fejlesztési feladatainak támogatása cím.
- Tiszaszőlős Község fejlesztési feladatainak támogatása cím.
- Tiszaörs Község fejlesztési feladatainak támogatása cím.
- Tiszaszentimre Község fejlesztési feladatainak támogatása cím.
- Tiszaigar Község fejlesztési feladatainak támogatása cím.
- Tiszaderzs Község fejlesztési feladatainak támogatása cím.
- Budapest III. kerület parkfejlesztések támogatása cím.
- Mezőcsát Város fejlesztési feladatainak támogatása cím.
- Ónod Község fejlesztési feladatainak támogatása cím.
- Tiszabábolna Község fejlesztési feladatainak támogatása cím.
- Az Önkormányzati feladatellátást szolgáló fejlesztések előirányzatból forráshiány miatt támogatásban nem részesült pályázatok támogatása cím.
- Nagykőrös Város feladatellátásának támogatása cím.
- Borsodgeszt Község feladatellátásának támogatása cím.
A 46. § (1) bekezdése szerint a kormány 2018-ban együttesen az ott meghatározott összeghatárig adhatott felhatalmazást új egyedi állami kezesség és garancia vállalására. A kormány e tárgykörben az 1330/2018. (VII. 19.) számú határozatával Debrecen Megyei Jogú Város beruházási célú hitelfelvételéhez kapcsolódóan adott ki felhatalmazást egyedi állami kezességvállalás érdekében.
A 47. § (2) bekezdése szerint a kormány az ott megjelölt vasúti társaságoknak vasúti gördülőállományuk fejlesztésére együttesen 50 000 ,0 millió forint forrásbevonásra adhatott felhatalmazást állami kezesség mellett. A kormány 2018-ban e tárgykörben nem adott ki felhatalmazást.
A 48. § (4) bekezdése szerint az MFB Zrt. által nyújtott hitelekhez kapcsolódó állami kezesség után az állam javára felszámítandó kezességvállalási díj mértékét a kormány határozatban állapítja meg. A kormány e tárgykörben az 1625/2018. (XI. 29.) számú határozatában állapított meg az MFB Zrt. által fizetendő, az állam javára felszámítandó kezességvállalási díjmértéket.
A 76. § (1) bekezdésének a) pontjában kapott felhatalmazás alapján a kormány megalkotta a költségvetési szervek és az egyházi jogi személyek foglalkoztatottjainak 2018. évi kompenzációjáról szóló 462/2017. (XII. 28.) Korm. rendeletet.
A 76. § (4) bekezdésében kapott felhatalmazás alapján kiadásra került a nemzetiségi célú támogatások igénybevételének, felhasználásának és elszámolásának részletszabályairól szóló 11/2018. (III. 14.) EMMI rendelet.
VI.
A KORMÁNYZATI SZEKTOR ADÓSSÁGA ÉS HIÁNYA AZ EURÓPAI UNIÓ MÓDSZERTANA SZERINT
1. Az EDP-jelentés
Az Európai Unió euróövezetben részt vevő tagállamai az integráció magas fokát, a Gazdasági és Monetáris Uniót és ezzel együtt a közös pénz bevezetését valósították meg. Bár a fiskális politika az Európai Unióban nemzeti hatáskörben maradt, az Unió hosszú távú fenntartható fejlődése és a Gazdasági és Monetáris Unió hatékony működése érdekében kialakításra kerültek azok a keretek és eljárási szabályok, amelyek egyértelmű határokat szabnak a decentralizált fiskális politikának az eurózónán belüli és kívüli tagállamokban egyaránt. Ezt hivatott garantálni a maastrichti szerződésbe foglalt túlzottdeficit-eljárás (Excessive Deficit Procedure, EDP), az ennek szigorítását és operacionalizálását jelentő Stabilitási és Növekedési Egyezmény, az ún. hatos jogszabálycsomag, az ún. kettős jogszabálycsomag és a Fiskális Paktum.
A csatlakozási szerződés aláírásával Magyarország vállalta, hogy amennyiben teljesíti a maastrichti szerződésben lefektetett konvergencia kritériumokat, bevezeti az Európai Unió közös pénzét, az eurót. Az ehhez vezető út meghatározott időszakra vonatkozó tervét tartalmazza az évente április végéig kiküldendő Konvergencia Program és Nemzeti Intézkedési Terv, a fiskális feltételek megvalósulását a félévente elkészített EDP-jelentés.
Fenti dokumentumok és adatszolgáltatások a hazaitól eltérő, uniós statisztikai szabványok által meghatározott elszámolási szabályok alapján készülnek, és ott lefektetett fogalmakat használnak. Az EDP-jelentés a nemzetközi összehasonlításra alkalmas egyenlegmutató értékének alakulását úgy mutatja be, hogy egyidejűleg a nemzeti költségvetési/államháztartási prezentációkban használatos egyenlegmutatótól való eltérésének okait, tételeit is részletezi.
Az EDP-jelentés az Eurostat, a Központi Statisztikai Hivatal és a Pénzügyminisztérium honlapján is hozzáférhető.
Ez a fejezet a 2018. évi adatok alapján ismerteti a módszertani különbözőségeket és a kiemelt mutatók alakulását a 2018. évi zárszámadás készítésekor rendelkezésre álló statisztikai adatszolgáltatás, a 2019. évi őszi EDP-jelentés alapján.
2. Az ESA2010 bevezetése
2014 szeptemberétől kezdődően az ESA20101 szabályai szerint kell az uniós adatszolgáltatásokat összeállítani, mely több ponton eltér a korábbi ESA'95-től. Ezek közül három olyan jelentősebb változás van az ESA'95-höz képest, mely hatással van a maastrichti hiányra és adósságra:
1. a szektorbesorolási szabályok változása;
2. a TB-be történő egyösszegű átutalások (TB-be visszalépők esete) új kezelése (Magyarország esetében ez a 2011. évi egyenlegben jelent komoly változást (-9,63 százalékpont);
3. a swapok elszámolásának változása (Magyarország esetében ez 0,0-0,3 százalékponttal rontja az egyenleget az idősorban).
Az ESA2010-re történő áttérés a maastrichti hiány és adósságon túl hatással van a GDP- és GNI-adatokra is: a számtalan változás közül a legfontosabb a K+F és a katonai beszerzések felhalmozásként való kezelése. A módszertani változás jelentősen, de tagországonként eltérő mértékben növeli a folyóáras GDP értékét, ezáltal a GDP-arányos mutatókra is kedvezően hat.
2.1 A szektorbesorolási szabályok változása
Az állami nem pénzügyi vállalatok besorolásának kvantitatív és kvalitatív szabályai vannak. A kvantitatív szabályokat kell alkalmazni annak eldöntésére, hogy az adott szervezet piaci tevékenységet végez-e vagy sem. Amennyiben a kvantitatív teszt alapján nem-piaci tevékenységet végzőnek bizonyul, be kell sorolni a kormányzati szektorba. Akkor tekinthető piaci tevékenységet végzőnek, ha árbevétele a termelési költségeinek több mint 50%-át fedezi (ún. 50%-os szabály). Maga az 50%-os szabály és az árbevétel fogalma nem változik az ESA2010-ben, ugyanakkor a termelési költség fogalma kibővül a nettó kamatköltséggel. A kvantitatív szabály fenti változásán túl, a kvalitatív szabályok közül néhányat egyértelművé tettek, illetve kiterjesztettek. A kormányzati irányítás és a kizárólag, vagy döntően a kormányzat számára végzett tevékenység kritériuma alapján újabb állami tulajdonú társaságok (pl. a NISZ Nemzeti Infokommunikációs Szolgáltató Zrt., a HM, a BM és az MNV tevékenységét szolgáló társaságok) kormányzati szektorba sorolása történt meg 2014-ben (a besorolási kritériumok teljesülése alapján visszamenőlegesen, 2010-től kezdődően).
Az ESA2010 módszertan már nem zárja ki, hogy pénzügyi intézményt a kormányzati szektorba soroljanak. Az Eurostat módszertani iránymutatásai a bankmentő szervezeteket, a szanálási és garanciaalapokat általános jelleggel, valamint egyes bankokat egyedi vizsgálat alapján a kormányzati szektorba tartozónak minősít.
2.2 A TB-be történő egyösszegű átutalások új kezelése
A második jelentős változás az ESA2010-ben, hogy a TB-be visszalépők utáni egyösszegű befizetéseket (melyekért cserébe az állam átvállalja a későbbi nyugdíjfizetést) - az SNA2008 ajánlásai alapján és a korábbiaktól eltérően - már nem lehet majd annak befizetésekor egy összegben bevételként (egyenlegjavító tételként) elszámolni a kormányzati számlákon, hanem azt pénzügyi előlegként kell könyvelni, mely így az egyenlegre nem lesz hatással. Az új elszámolás következménye, hogy míg az ESA'95 szabályai szerint a tranzakció évében jelentősen javult a kormányzati egyenleg, a későbbi években azonban az átvett nyugdíjkötelezettségek kifizetéseinek megfelelő összeggel romlott, addig az ESA2010 szerinti elszámolásban a tranzakció évében pénzügyi műveletként történik a tranzakció elszámolása, mely az egyenlegre semleges, a későbbi években viszont a megfelelő többlet-nyugdíjkiadások (mínusz az egyösszegű bevételre jutó kamat) összegével azonos összegben kerül bevételezésre ez a pénzügyi előleg, így a nyugdíjkötelezettség átvétele az évek során nem befolyásolja az egyenleget. A szabályváltozás logikája érthető, gyakorlati megvalósítása azonban komoly korlátokba ütközik. Az ESA szabályai azonban lehetőséget adnak arra, hogy a bevétel lineárisan hosszabb időszak alatt kerüljön elszámolásra. A magyar statisztikai hatóságok ez utóbbi megoldást választották: a TB-be visszalépők generálta egyszeri bevételek 2012-től kezdődően 35 év alatt kerülnek bevételként elszámolásra.
A fenti módosításnak jelentős hatása van a visszamenőleges egyenlegre néhány tagállam -köztük Magyarország (2011) - esetében a tranzakció megtörténtének évében. A maastrichti adósság az új elszámolás következtében nem változik, a nyugdíjkötelezettség továbbra sem lesz eleme annak.
2.3 A swapok elszámolásának változása
2001 decemberétől elváltak egymástól az ESA- és EDP-adatok (kamatkiadás, összes kiadás, egyenleg) egy tényező tekintetében: míg az ESA'95 szerinti elszámolásokban a swapok kamata nem számított tulajdonosi jövedelemnek, addig az EDP szerinti elszámolásokban annak kellett könyvelni. Ennek mértékében és összegével tért el a mindenkori ESA'95 és EDP szerinti kamatkiadás, összes kiadás és egyenleg, melynek nagyságrendje Magyarország esetében a GDP 0,0-0,3%-a körül alakult. Az ESA2010 szerinti adatszolgáltatásban ez az elkülönülés törlésre került, a továbbiakban az EDP-elszámolásokban sem számít tulajdonosi jövedelemnek a swapok kamata, így az EDP és az ESA egyenleg- és kiadási adatok közötti eltérés megszűnik.
3. Az uniós és az államháztartási elszámolások főbb módszertani eltérései
Az uniós statisztikai szabványok által meghatározott kormányzati szektor nagyobb szervezeti kört foglal magába, mint az államháztartás. Mindazon szervezetek beletartoznak, amelyek tevékenységük során közjavakat állítanak elő, a nemzeti jövedelem és a nemzeti vagyon elosztásában vesznek részt, irányításukat a kormányzati szervek végzik, és tevékenységük ellenértékében 50%-nál kisebb arányt képvisel az árbevétel. A kormányzati szektor statisztikai fogalma szervezeti besoroláson alapul: valamely szervezet vagy beletartozik a kormányzati szektorba, vagy nem. A korábbi, statisztikai hatóságok által követett gyakorlat az volt, hogy legalább 3-5 éves tartós tendencia alapján ítélték meg az adott szervezet gazdasági magatartását és így szektorbesorolását. Jelen szabályok szerint egy új szervezetet lehetőleg már megalakulásakor, az üzleti tervek alapján be kell sorolni a megfelelő szektorba.
A kormányzati szektorba sorolandó nem államháztartási szervezetek körét statisztikai munkabizottság állapítja meg, számuk 2018-ban meghaladta a négyszáznegyvenet. A besorolt vállalatok mellett más, jelentős támogatásban részesülő, vagy költségvetési szervi formából átalakított vállalatok megfigyelésére is sor kerül.
A központi kormányzat alszektorába a következő szervezetek tartoznak:
- Agrármarketing Centrum Nonprofit Korlátolt Felelősségű Társaság,
- Agro Rehab Nonprofit Korlátolt Felelősségű Társaság,
- Államadósság Kezelő Központ Zártkörűen Működő Részvénytársaság,
- Apertus Közszolgálati Oktatás-fejlesztési Központ Szolgáltató Nonprofit Korlátolt Felelősségű Társaság,
- ÁVNY - Állami Vagyonnyilvántartási Korlátolt Felelősségű Társaság,
- Bányavagyon-hasznosító Nonprofit Közhasznú Korlátolt Felelősségű Társaság,
- Bay Zoltán Alkalmazott Kutatási Közhasznú Nonprofit Korlátolt Felelősségű Társaság,
- Belügyminisztérium HEROS Javító, Gyártó, Szolgáltató és Kereskedelmi Zártkörűen Működő Részvénytársaság,
- Bethlen Gábor Alapkezelő Közhasznú Nonprofit Zártkörűen Működő Részvénytársaság,
- BFTK Budapesti Fesztivál- és Turisztikai Központ Nonprofit Korlátolt Felelősségű Társaság,
- Bionikai Innovációs Központ Nonprofit Korlátolt Felelősségű Társaság,
- BME VIKING Villamosmérnöki és Informatikai Kutató-Fejlesztő Nonprofit Zártkörűen Működő Részvénytársaság,
- BMSK Beruházási, Műszaki Fejlesztési, Sportüzemeltetési és Közbeszerzési Zártkörűen Működő Részvénytársaság,
- Bp2017 Világbajnokság Szervező és Lebonyolító Nonprofit Korlátolt Felelősségű Társaság,
- Budavári Ingatlanfejlesztő és Üzemeltető Nonprofit Korlátolt Felelősségű Társaság,
- CAMP Europe Felsőörs Oktatási Közhasznú Nonprofit Korlátolt Felelősségű Társaság,
- Concerto Akadémia Nonprofit Korlátolt Felelősségű Társaság,
- Corvinus Nemzetközi Befektetési Zártkörűen Működő Részvénytársaság,
- Családbarát Ország Nonprofit Közhasznú Korlátolt Felelősségű Társaság,
- Digitális Jólét Nonprofit Korlátolt Felelősségű Társaság,
- Duna Palota Kulturális Közhasznú Nonprofit Korlátolt Felelősségű Társaság,
- EGER INNOVATIONS Kutatási-Fejlesztési Nonprofit Korlátolt Felelősségű Társaság,
- Egyetemi Campus Plus Nonprofit Korlátolt Felelősségű Társaság,
- Élelmiszerlánc-biztonsági Centrum Nonprofit Korlátolt Felelősségű Társaság,
- ELI-HU Kutatási és Fejlesztési Nonprofit Közhasznú Korlátolt Felelősségű Társaság,
- ERFARET Erdő- és Fahasznosítási Tudásközpont Nonprofit Korlátolt Felelősségű Társaság,
- ERFO Rehabilitációs Foglalkoztató Közhasznú Nonprofit Korlátolt Felelősségű Társaság,
- Erzsébet Gyermek- és Ifjúsági Táborok Szolgáltató Korlátolt Felelősségű Társaság,
- Filharmónia Magyarország Koncert és Fesztiválszervező Nonprofit Korlátolt Felelősségű Társaság,
- Forum Hungaricum Közhasznú Nonprofit Korlátolt Felelősségű Társaság,
- FŐKEFE Rehabilitációs Foglalkoztató Ipari Közhasznú Nonprofit Korlátolt Felelősségű Társaság,
- Fogyatékos Személyek Esélyegyenlőségéért Közhasznú Nonprofit Korlátolt Felelősségű Társaság,
- Gálfi Béla Gyógyító és Rehabilitációs Közhasznú Nonprofit Korlátolt Felelősségű Társaság,
- Gandhi Gimnázium Közhasznú Nonprofit Korlátolt Felelősségű Társaság,
- Gödöllői Királyi Kastély Közhasznú Nonprofit Korlátolt Felelősségű Társaság,
- Gyulai Várszínház Nonprofit Kft.,
- HEPA Magyar Exportfejlesztési Ügynökség Nonprofit Zártkörűen Működő Részvénytársaság,
- HKGYK Közép- és Kelet-európai Hagyományos Kínai Gyógyászati, Oktató- és Kutatóközpont Nonprofit Korlátolt Felelősségű Társaság,
- HM CURRUS Gödöllői Harcjárműtechnikai Zártkörűen Működő Részvénytársaság,
- HM Zrínyi Térképészeti és Kommunikációs Szolgáltató Közhasznú Nonprofit Korlátolt Felelősségű Társaság,
- Honvéd Együttes Művészeti Nonprofit Korlátolt Felelősségű Társaság,
- HONVÉDELMI MINISZTÉRIUM ARMCOM Kommunikációtechnikai Zártkörűen Működő Részvénytársaság,
- Honvédelmi Minisztérium Elektronikai, Logisztikai és Vagyonkezelő Zártkörűen Működő Részvénytársaság,
- Hortobágyi Természetvédelmi és Génmegőrző Nonprofit Korlátolt Felelősségű Társaság,
- Hungarofest Nemzeti Rendezvényszervező Nonprofit Korlátolt Felelősségű Társaság,
- HUNGARORING Sport Zártkörűen Működő Részvénytársaság,
- IdomSoft Zártkörűen Működő Részvénytársaság,
- IFKA Iparfejlesztési Közhasznú Nonprofit Korlátolt Felelősségű Társaság,
- Kárpát-medencei Tehetséggondozó Nonprofit Korlátolt Felelősségű Társaság,
- Kazincbarcikai Kórház Nonprofit Korlátolt Felelősségű Társaság,
- Kézmű Fővárosi Kézműipari Közhasznú Nonprofit Korlátolt Felelősségű Társaság,
- KINCSINFO Kincstári Informatikai Nonprofit Korlátolt Felelősségű Társaság,
- KIVING Ingatlangazdálkodó és Beruházásszervező Korlátolt Felelősségű Társaság,
- KKBK Kiemelt Kormányzati Beruházások Központja Nonprofit Zártkörűen Működő Részvénytársaság,
- KOPINT-DATORG Korlátolt Felelősségű Társaság,
- Közszolgálati Kulturális Előadó-művészeti Nonprofit Korlátolt Felelősségű Társaság,
- Kreatív Európa Nonprofit Korlátolt Felelősségű Társaság,
- KTI Közlekedéstudományi Intézet Nonprofit Korlátolt Felelősségű Társaság,
- Lechner Tudásközpont Területi, Építészeti és Informatikai Nonprofit Korlátolt Felelősségű Társaság,
- Magyar Iparfejlesztési Holding Zártkörűen Működő Részvénytársaság,
- Magyar Közút Nonprofit Zártkörűen Működő Részvénytársaság,
- Magyar Légimentő Nonprofit Korlátolt Felelősségű Társaság,
- Magyar Nemzeti Filmalap Közhasznú Nonprofit Zártkörűen működő Részvénytársaság,
- Magyar Nemzeti Vagyonkezelő (MNV) Zártkörűen működő Részvénytársaság,
- Magyar Turisztikai Ügynökség Zártkörűen Működő Részvénytársaság,
- MANK Magyar Alkotóművészeti Közhasznú Nonprofit Korlátolt Felelősségű Társaság,
- MÁV-START Vasúti Személyszállító Zártkörűen Működő Részvénytársaság,
- MFK Magyar Fejlesztési Központ Nonprofit Korlátolt Felelősségű Társaság,
- Millenáris Széllkapu Beruházó, Fejlesztő és Üzemeltető Nonprofit Korlátolt Felelősségű Társaság,
- Miskolci Operafesztivál Kulturális Szolgáltató Nonprofit Korlátolt Felelősségű Társaság,
- MNF Magyar Nemzeti Filharmonikus Zenekar, Énekkar és Kottatár Nonprofit Korlátolt Felelősségű Társaság,
- MNKH Közép-európai Kereskedelemfejlesztési Hálózat Korlátolt Felelősségű Társaság,
- Monostori Erőd Hadkultúra Központ Műemlékhelyreállító, Ingatlanfenntartó és -hasznosító Nonprofit Közhasznú Korlátolt Felelősségű Társaság,
- Műcsarnok Közhasznú Nonprofit Korlátolt Felelősségű Társaság,
- Müpa Budapest - Művészetek Palotája Nonprofit Korlátolt Felelősségű Társaság,
- ND Nemzeti Dohánykereskedelmi Nonprofit Zártkörűen Működő Részvénytársaság,
- Nemzeti Eszközgazdálkodási Zártkörűen Működő Részvénytársaság,
- Nemzeti Eszközkezelő Zártkörűen Működő Részvénytársaság,
- Nemzeti Filharmónia Ingatlanfejlesztési Korlátolt Felelősségű Társaság,
- Nemzeti Filmszínház Nonprofit Korlátolt Felelősségű Társaság,
- Nemzeti Kataszteri Program Nonprofit Korlátolt Felelősségű Társaság,
- Nemzeti Mobilfizetési Zártkörűen Működő Részvénytársaság,
- Nemzeti Színház Közhasznú Nonprofit Zártkörűen Működő Részvénytársaság,
- Nemzeti Táncszínház Nonprofit Korlátolt Felelősségű Társaság,
- Nemzeti Útdíjfizetési Szolgáltató Zártkörűen működő Részvénytársaság,
- NET Életjáradék Zártkörűen Működő Részvénytársaság,
- Neumann János Nonprofit Közhasznú Korlátolt Felelősségű Társaság,
- NFP Nemzeti Fejlesztési Programiroda Nonprofit Korlátolt Felelősségű Társaság,
- NFSI Nemzeti Fejlesztési és Stratégiai Intézet Nonprofit Korlátolt Felelősségű Társaság,
- NHKV Nemzeti Hulladékgazdálkodási Koordináló és Vagyonkezelő Zártkörűen Működő Részvénytársaság,
- NIF Nemzeti Infrastruktúra Fejlesztő zártkörűen működő Részvénytársaság,
- NISZ Nemzeti Infokommunikációs Szolgáltató Zártkörűen Működő Részvénytársaság,
- Nitrokémia Környezetvédelmi Tanácsadó és Szolgáltató Zártkörűen Működő Részvénytársaság,
- NKE Szolgáltató Nonprofit Korlátolt Felelősségű Társaság,
- NKÖV Nemzeti Kulturális Örökség Védelmi Nonprofit Korlátolt Felelősségű Társaság,
- NMI Művelődési Intézet Nonprofit Közhasznú Korlátolt Felelősségű Társaság,
- NÖF Nemzeti Örökségvédelmi Fejlesztési Nonprofit Korlátolt Felelősségű Társaság,
- ÓNTE Ópusztaszeri Nemzeti Történeti Emlékpark Közhasznú Nonprofit Korlátolt Felelősségű Társaság,
- Pénzügyi Stabilitási és Felszámoló Nonprofit Korlátolt Felelősségű Társaság,
- Pesti Vigadó Nonprofit Korlátolt Felelősségű Társaság,
- PM-TÉR6 Beruházásszervező és Lebonyolító Nonprofit Korlátolt Felelősségű Társaság,
- POSZF Pécsi Országos Színházi Fesztivál Közhasznú Nonprofit Korlátolt Felelősségű Társaság,
- Pro Rekreatione Közhasznú Nonprofit Korlátolt Felelősségű Társaság,
- Pro-M Professzionális Mobilrádió Zártkörűen Működő Részvénytársaság,
- QualiCont IN Vitro Diagnosztikai Minőségellenőrzési Nonprofit Korlátolt Felelősségű Társaság,
- Radioaktív Hulladékokat Kezelő Közhasznú Nonprofit Korlátolt Felelősségű Társaság,
- Regionális Fejlesztési Holding Zártkörűen Működő Részvénytársaság,
- Robert Capa Kortárs Fotográfiai Központ Nonprofit Kft.,
- STATEK Statisztikai Elemző Központ Korlátolt Felelősségű Társaság,
- Steindl Imre Program Nonprofit Zártkörűen Működő Részvénytársaság,
- Széchenyi Programiroda Tanácsadó és Szolgáltató Nonprofit Korlátolt Felelősségű Társaság,
- Széchenyi Zsigmond Kárpát-medencei Magyar Vadászati Múzeum Beruházó Nonprofit Közhasznú Korlátolt Felelősségű Társaság,
- Szociális Esély Nonprofit Korlátolt Felelősségű Társaság,
- Társadalmi Infrastruktúra Fejlesztő Nonprofit Korlátolt Felelősségű Társaság,
- Tisza-tó Fejlesztési Korlátolt Felelősségű Társaság,
- Tokaj Kelep Zártkörűen Működő Részvénytársaság,
- Új Nemzedék Központ Nonprofit Közhasznú Korlátolt Felelősségű Társaság,
- Új Világ Nonprofit Szolgáltató Korlátolt Felelősségű Társaság,
- Várgondnokság Közhasznú Nonprofit Korlátolt Felelősségű Társaság,
- Városliget Ingatlanfejlesztő Zártkörűen Működő Részvénytársaság,
- Vasútegészségügyi Szolgáltató Nonprofit Közhasznú Korlátolt Felelősségű Társaság,
- Zsigmondy Vilmos Harkányi Gyógyfürdőkórház Nonprofit Korlátolt Felelősségű Társaság,
Autonóm Médiaszervezetek:
- Duna Médiaszolgáltató Nonprofit Zártkörűen Működő Részvénytársaság,
- Médiaszolgáltatás-támogató és Vagyonkezelő Alap,
- Nemzeti Média- és Hírközlési Hatóság,
- Nemzeti Média- és Hírközlési Hatóság Médiatanácsa,
Garancia Alapok és leányvállalataik:
- Befektető-védelmi Alap,
- Kárrendezési Alap,
- MSZVK Magyar Szanálási Vagyonkezelő Zártkörűen Működő Részvénytársaság,
- Országos Betétbiztosítási Alap,
- Pénztárak Garancia Alapja,
- RESIDEAL Ingatlanforgalmazási, Befektetési és Gazdasági Tanácsadó Zártkörűen működő Részvénytársaság,
- Szanálási Alap,
- Szanálási Követeléskezelő Zártkörűen Működő Részvénytársaság,
- Szövetkezeti Hitelintézetek Tőkefedezeti Közös Alapja,
továbbá, a központi kormányzat által irányított és többségükben finanszírozott nonprofit szervezetek (elsősorban a közalapítványok és bizonyos közhasznú társaságok).
A statisztikai helyi kormányzati alszektorba a következő szervezetek tartoznak:
- Aba-Novák Agóra Kulturális Központ Nonprofit és Közhasznú Korlátolt Felelősségű Társaság,
- Agóra Közhasznú Nonprofit Korlátolt Felelősségű Társaság,
- AGORA Sport és Szabadidő Közhasznú Nonprofit Korlátolt Felelősségű Társaság,
- Agria-Humán Közhasznú Nonprofit Korlátolt Felelősségű Társaság,
- AQUAPALACE Kereskedelmi és Szolgáltató Korlátolt Felelősségű Társaság,
- Aranytíz Kereskedelmi és Szolgáltató Korlátolt Felelősségű Társaság,
- "AZ ORMÁNSÁG EGÉSZSÉGÉÉRT" Nonprofit Korlátolt Felelősségű Társaság,
- Bács-Kiskun Megyei Területfejlesztési Nonprofit Korlátolt Felelősségű Társaság,
- Bajai Kommunális és Szolgáltató Nonprofit Korlátolt Felelősségű Társaság,
- Balatonalmádi Kistérségi Egészségügyi Központ Közhasznú Non-profit Korlátolt Felelősségű Társaság,
- Balatonfüred Kulturális Közgyűjtemény Fenntartó Nonprofit Korlátolt Felelősségű Társaság,
- Balatoni Integrációs és Fejlesztési Ügynökség Közhasznú Nonprofit Korlátolt Felelősségű Társaság,
- Balmazújváros Sport Korlátolt Felelősségű Társaság,
- Balmazújvárosi Városgazdálkodási Nonprofit Korlátolt Felelősségű Társaság,
- Balmazújvárosi VESZ Városi Egészségügyi Szolgálat Nonprofit Korlátolt Felelősségű Társaság,
- Barcika Art Korlátolt Felelősségű Társaság,
- BARCIKA PARK Városüzemeltetési Nonprofit Korlátolt Felelősségű Társaság,
- Barcika Szolgáltató Korlátolt Felelősségű Társaság,
- Bátonyterenyei Közművelődési, Városi Könyvtár és Létesítményüzemeltető Nonprofit Korlátolt Felelősségű Társaság,
- Békési Férfi Kézilabda Kereskedelmi és Szolgáltató Korlátolt Felelősségű Társaság,
- BÉKÉS-MANIFEST Közszolgáltató Nonprofit Korlátolt Felelősségű Társaság,
- Bicskei Egészségügyi Központ Szolgáltató Nonprofit Korlátolt Felelősségű Társaság,
- BLTG Településgazdálkodási Korlátolt Felelősségű Társaság,
- Bóbita Bábszínház Nonprofit Korlátolt Felelősségű Társaság,
- Bodrogközi Járóbeteg Szakrendelő Nonprofit Korlátolt Felelősségű Társaság,
- Bodrogmenti Vízgazdálkodási és Talajvédelmi Társulat,
- BORA 94 Borsod-Abaúj-Zemplén Megyei Fejlesztési Ügynökség Közhasznú Nonprofit Korlátolt Felelősségű Társaság,
- Borsodi Közszolgáltató Szolgáltató Nonprofit Kft.,
- BŐ-VÍZ Bőcsi Víziközmű Szolgáltató Nonprofit Közhasznú Korlátolt Felelősségű Társaság,
- Budafoki Dohnányi Ernő Szimfonikus Zenekar Közhasznú Nonprofit Korlátolt Felelősségű Társaság,
- Budai Polgár Nonprofit Korlátolt Felelősségű Társaság,
- Budakeszi Városfejlesztési és Városüzemeltetési Korlátolt Felelősségű Társaság,
- Budapest Bábszínház Közhasznú Nonprofit Korlátolt Felelősségű Társaság,
- "BUDAPEST ESÉLY" Nonprofit Korlátolt Felelősségű Társaság,
- BVA Budapesti Városarculati Nonprofit Korlátolt Felelősségű Társaság,
- Cervinus Teátrum Művészeti Szolgáltató Közhasznú Nonprofit Korlátolt Felelősségű Társaság,
- CINE-MIS Moziüzemi Szolgáltató Nonprofit Korlátolt Felelősségű Társaság, -"Csarnok" Veszprémi Csarnoküzemeltető, Rendezvényszervező és Kommunikációs Korlátolt Felelősségű Társaság,
- Csepeli Városgazda Közhasznú Nonprofit Zártkörűen Működő Részvénytársaság,
- Csepeli Városkép Korlátolt Felelősségű Társaság,
- Csiky Gergely Színház Közhasznú Nonprofit Korlátolt Felelősségű Társaság,
- Csömöri Sport és Szabadidő-szervező Nonprofit Korlátolt Felelősségű Társaság,
- Csurgói Egészségügyi Centrum Szolgáltató Nonprofit Korlátolt Felelősségű Társaság,
- Debreceni Sportcentrum Közhasznú Nonprofit Korlátolt Felelősségű Társaság,
- DEHUSZ Debreceni Humán Szolgáltató Közhasznú Nonprofit Korlátolt Felelősségű Társaság,
- Dél-budai Egészségügyi Szolgálat Közhasznú Nonprofit Korlátolt Felelősségű Társaság,
- DENOK Debreceni Nemzetközi Oktatási Központ Közhasznú Nonprofit Korlátolt Felelősségű Társaság,
- Diósgyőri Stadionrekonstrukciós Korlátolt Felelősségű Társaság,
- DKKA-Dunaújvárosi Kohász Kézilabda Akadémia Nonprofit Korlátolt Felelősségű Társaság,
- DKMT Duna-Körös-Maros-Tisza Eurorégiós Fejlesztési Ügynökség- Nonprofit Közhasznú Korlátolt Felelősségű Társaság,
- Dombóvári Város- és Lakásgazdálkodási Nonprofit Korlátolt Felelősségű Társaság,
- Dunakeszi-SZTK Nonprofit Korlátolt Felelősségű Társaság,
- Ecsediláp-Krasznabalparti Beruházó, Szolgáltató Vízgazdálkodási Társulat,
- Eger-Tarnavölgyi Vízgazdálkodási és Talajvédelmi Társulat,
- Egészségügyi Ellátást Szervező és Működtető Nonprofit Közhasznú Korlátolt Felelősségű Társaság,
- EH Ügyelet Egészségügyi Szolgáltató Nonprofit Korlátolt Felelősségű Társaság,
- Ercsi Járóbeteg-szakellátó Egészségügyi Központ Közhasznú Nonprofit Korlátolt Felelősségű Társaság,
- Érdi Sport Szolgáltató és Kereskedelmi Korlátolt Felelősségű Társaság,
- Érdi Városfejlesztési és Szolgáltató Korlátolt Felelősségű Társaság,
- Erkel Ferenc Kulturális Központ és Múzeum Nonprofit Kft.,
- ERŐMŰVHÁZ Erzsébetvárosi Összevont Művelődési Központ Nonprofit Korlátolt Felelősségű Társaság,
- Esély Győri Rehabilitációs és Foglalkoztatási Közhasznú Nonprofit Korlátolt Felelősségű Társaság,
- Esernyős Óbudai Kulturális, Turisztikai és Információs Pont Nonprofit Korlátolt Felelősségű Társaság,
- EURÓPA EGÉSZSÉGHÁZ - BAKTALÓRÁNTHÁZA Nonprofit Zártkörűen Működő Részvénytársaság,
- F.C. Ajka Korlátolt Felelősségű Társaság,
- FALCO KC Szombathely Sportszolgáltató Korlátolt Felelősségű Társaság,
- Fehérvár Médiacentrum Korlátolt Felelősségű Társaság,
- FELSŐSZABOLCSI VÍZGAZDÁLKODÁSI TÁRSULAT,
- Ferencvárosi Egészségügyi Szolgáltató Közhasznú Nonprofit Korlátolt Felelősségű Társaság,
- FESZOFE Ferencvárosi Szociális Foglalkoztató és Ellátó Nonprofit Korlátolt Felelősségű Társaság,
- FEV IX. Ferencvárosi Vagyonkezelő és Városfejlesztő Zártkörűen Működő Részvénytársaság,
- Flesch Károly Közművelődési, Kulturális és Városmarketing Közhasznú Nonprofit Korlátolt Felelősségű Társaság,
- Fogyatékkal Élőket és Hajléktalanokat Ellátó Közhasznú Nonprofit Korlátolt Felelősségű Társaság,
- Fonyódi Városfejlesztési és Városüzemeltetési Nonprofit Közhasznú Korlátolt Felelősségű Társaság,
- FÖKÉTÜSZ Fővárosi Kéményseprőipari Korlátolt Felelősségű Társaság,
- Főnix Rendezvényszervező Közhasznú Nonprofit Korlátolt Felelősségű Társaság,
- Fővárosi Kertészeti Zártkörűen Működő Nonprofit Részvénytársaság,
- Fővárosi Közbeszerzési Lebonyolító Korlátolt Felelősségű Társaság,
- Füzesgyarmati Városgazdálkodási és Intézmény Üzemeltetési Korlátolt Felelősségű Társaság,
- GYEVIÉP Algyői Településüzemeltetési és -fejlesztési Nonprofit Korlátolt Felelősségű Társaság,
- Gyöngyösi Sportfólió Nonprofit Korlátolt Felelősségű Társaság,
- Gyulai Turisztikai Nonprofit Kft.,
- Gyulasport Sportlétesítményeket Működtető, Utánpótlás Nevelő Sportiskola,
- Sportszervező és Szolgáltató Nonprofit Korlátolt Felelősségű Társaság,
- "Hajdúböszörmény ESZ-V" Egészségügyi Szolgáltató és Vagyonkezelő Nonprofit Korlátolt Felelősségű Társaság,
- Hajdúnánási Gyermek- és Közétkeztetési Nonprofit Korlátolt Felelősségű Társaság,
- HALASI VÁROSGAZDA Beruházó, Szolgáltató és Vagyonkezelő Zártkörűen Működő Részvénytársaság,
- Hévíz-Balaton Airport Korlátolt Felelősségű Társaság,
- Hírös Agóra Kulturális és Ifjúsági Központ Nonprofit Korlátolt Felelősségű Társaság,
- Hírös Sport Szabadidő Létesítményeket Működtető és Szolgáltató Nonprofit Korlátolt felelősségű társaság,
- Hódfó Hódmezővásárhelyi Foglalkoztató Közhasznú Nonprofit Korlátolt Felelősségű Társaság,
- Hód-Fürdő Szolgáltató és Üzemeltető Korlátolt Felelősségű Társaság,
- II. Kerületi Kulturális Közhasznú Nonprofit Korlátolt Felelősségű Társaság,
- II. Kerületi Sport és Szabadidősport Nonprofit Korlátolt Felelősségű Társaság,
- JÁNOSHALMI KISTÉRSÉGI EGÉSZSÉGÜGYI KÖZPONT Nonprofit Közhasznú Korlátolt Felelősségű Társaság,
- JÁSZKERÜLET Kulturális és Művészeti Közhasznú Nonprofit Korlátolt Felelősségű Társaság,
- József Attila Színház Nonprofit Korlátolt Felelősségű Társaság,
- Józsefváros Közösségeiért Nonprofit Zártkörűen Működő Részvénytársaság,
- Józsefvárosi Gazdálkodási Központ Zártkörűen Működő Részvénytársaság,
- Kalocsai Parkgondozó és Közszolgáltató Nonprofit Korlátolt Felelősségű Társaság,
- KALOCSAI VAGYONHASZNOSÍTÁSI és KÖNYVVEZETŐ Korlátolt Felelősségű Társaság,
- Kanizsa Rehab Nonprofit Korlátolt Felelősségű Társaság,
- Kaposvári Nagypiac Korlátolt Felelősségű Társaság,
- Katona József Színház Közhasznú Nonprofit Korlátolt Felelősségű Társaság,
- Kecskeméti Foglalkoztatási Nonprofit Korlátolt Felelősségű Társaság,
- Kecskeméti Kortárs Művészeti Műhelyek Nonprofit Korlátolt Felelősségű Társaság,
- Kecskeméti Televízió Nonprofit Korlátolt Felelősségű Társaság,
- Kecskeméti TISZK Térségi Integrált Szakképző Központ Nonprofit Közhasznú Korlátolt Felelősségű Társaság,
- Kiskunmajsai Kistérségi Közszolgáltató Nonprofit Korlátolt Felelősségű Társaság,
- Kisteleki Térségi Egészségügyi Központ Nonprofit Korlátolt Felelősségű Társaság,
- Kisvárdai Intézményműködtető Nonprofit Korlátolt Felelősségű Társaság,
- Kisvárdai Várfürdő Nonprofit Korlátolt Felelősségű Társaság,
- KISVÁROS Városüzemeltetési Közhasznú Nonprofit Korlátolt Felelősségű Társaság,
- Kolibri Gyermek- és Ifjúsági Színház Közhasznú Nonprofit Korlátolt Felelősségű Társaság,
- Komáromi Városgazda Közhasznú Nonprofit Korlátolt Felelősségű Társaság,
- Kontakt Humán Szolgáltató Nonprofit Korlátolt Felelősségű Társaság,
- "Koppány-Völgye KEK" Egészségügyi és Szolgáltató Nonprofit Korlátolt Felelősségű Társaság,
- Kőbányai Vagyonkezelő Zártkörűen Működő Részvénytársaság,
- KŐKERT Kőbányai Kerületgondnoksági és Településüzemeltetési Non-profit Közhasznú Korlátolt Felelősségű Társaság,
- "KÖLCSEY" Televízió Műsorszolgáltató Nonprofit Korlátolt Felelősségű Társaság,
- Körös-Berettyói Vízgazdálkodási Társulat,
- Kőrösi Csoma Sándor Kőbányai Kulturális Nonprofit Korlátolt Felelősségű Társaság,
- KÖZPARK Kispesti Köztisztasági és Közfoglalkoztatási Nonprofit Korlátolt Felelősségű Társaság,
- KT-DINAMIC Szolgáltató és Kereskedelmi Nonprofit Korlátolt Felelősségű Társaság,
- KVÁRTÉLYHÁZ Szabadtéri Színház Korlátolt Felelősségű Társaság,
- LÉT.A.MED Létavértesi Kistérségi Járóbeteg Szakellátó és Szolgáltató Nonprofit Zártkörűen Működő Részvénytársaság,
- LŐRINC-MED Közhasznú Nonprofit Korlátolt Felelősségű Társaság,
- MAGLÓD PROJEKT Ingatlanfejlesztő- és Hasznosító Korlátolt Felelősségű Társaság,
- Makó Városi Kulturális - Közművelődési Nonprofit Korlátolt Felelősségű Társaság,
- Martongazda Városfejlesztési és Üzemeltetési Nonprofit Korlátolt Felelősségű Társaság,
- Mátészalkai Kulturális Nonprofit Korlátolt Felelősségű Társaság,
- Média-Hatvan Nonprofit Közhasznú Korlátolt Felelősségű Társaság,
- MEDI-AMB Nonprofit Közhasznú Korlátolt Felelősségű Társaság,
- Mezőcsáti kistérségi Egészségfejlesztő Központ Egészségügyi Szolgáltató Kiemelkedően Közhasznú Nonprofit Korlátolt Felelősségű Társaság,
- Mezőkövesdi KÖZKINCS-TÁR Kulturális, Könyvtári, Turisztikai és Múzeumi Nonprofit Korlátolt Felelősségű Társaság,
- Mezőtúri Intézményellátó és Ingatlankezelő Közhasznú Nonprofit Korlátolt Felelősségű Társaság,
- Mezőtúri Közművelődési és Sport Közhasznú Nonprofit Korlátolt Felelősségű Társaság,
- MIDMAR Miskolci Idegenforgalmi Marketing Nonprofit Közhasznú Korlátolt Felelősségű Társaság,
- MIKOM Nonprofit Korlátolt Felelősségű Társaság,
- Miskolci Csodamalom Bábszínház Nonprofit Korlátolt Felelősségű Társaság,
- Miskolci Kulturális Központ Nonprofit Korlátolt Felelősségű Társaság,
- Miskolci Nemzeti Színház Nonprofit Korlátolt Felelősségű Társaság,
- Miskolci Sportcentrum Korlátolt Felelősségű Társaság,
- Miskolci Szimfonikus Zenekar Nonprofit Korlátolt Felelősségű Társaság,
- MISKOLCI VÁROSGAZDA Városgazdálkodási Közhasznú Nonprofit Korlátolt Felelősségű Társaság,
- MODEM Modern Debreceni Művészeti Közhasznú Nonprofit Korlátolt Felelősségű Társaság,
- MÓRA-VITÁL Térségi Egészségmegőrző és Szociális Nonprofit Közhasznú Korlátolt Felelősségű Társaság,
- Móricz Zsigmond Színház Nonprofit Korlátolt Felelősségű Társaság,
- "Munkalehetőség a Jövőért" Szolnok Nonprofit és Közhasznú Korlátolt Felelősségű Társaság,
- MŰVÉSZETEK HÁZA GÖDÖLLŐ Nonprofit Közhasznú Korlátolt Felelősségű Társaság,
- MVLC Miskolci Vízilabda Club Nonprofit Korlátolt Felelősségű Társaság,
- MVSI Miskolc Városi Sportiskola Nonprofit, Közhasznú Korlátolt Felelősségű Társaság,
- "NAGYERDEI KULTÚRPARK" Közhasznú Nonprofit Korlátolt Felelősségű Társaság,
- Nagyerdei Stadion Rekonstrukciós Korlátolt Felelősségű Társaság,
- Nagykállói, Oktatási, Műsorszolgáltató, Közművelődési és Szociális Közhasznú Nonprofit Korlátolt Felelősségű Társaság,
- Nagykun Víz- és Csatornamű Korlátolt Felelősségű Társaság,
- Nánás Pro Cultura Nonprofit Korlátolt Felelősségű Társaság,
- Nyíregyházi Sportcentrum Nonprofit Korlátolt Felelősségű Társaság,
- NYÍRINFO Nyíregyházi Informatikai Nonprofit Korlátolt Felelősségű Társaság,
- NYÍRSÉGI VÍZGAZDÁLKODÁSI TÁRSULAT,
- NYÍR-TEL-SZOL Nyírteleki Településüzemeltetési és Szolgáltató Közhasznú Nonprofit Korlátolt Felelősségű Társaság,
- NYÍRVIDÉK Képző Központ Közhasznú Nonprofit Korlátolt Felelősségű Társaság,
- NYÍRVV Nyíregyházi Városüzemeltető és Vagyonkezelő Nonprofit Korlátolt Felelősségű Társaság,
- Óbudai Danubia Zenekar Nonprofit Korlátolt Felelősségű Társaság,
- Óbudai Kulturális Központ Nonprofit Korlátolt Felelősségű Társaság,
- Óbudai Sport és Szabadidő Nonprofit Korlátolt Felelősségű Társaság,
- Óbudai Vagyonkezelő Nonprofit Zártkörűen Működő Részvénytársaság,
- Ócsa Városüzemeltetési nonprofit Korlátolt Felelősségű Társaság,
- Ózdi Sport- és Élményközpont Nonprofit Korlátolt Felelősségű Társaság,
- ÓZDSZOLG Szolgáltató Nonprofit Korlátolt Felelősségű Társaság,
- Önkormányzati Informatikai Központ Non-profit Korlátolt Felelősségű Társaság,
- Örkény István Színház Nonprofit Korlátolt Felelősségű Társaság,
- Paksi Közművelődési Közhasznú Nonprofit Korlátolt Felelősségű Társaság,
- Pannon Filharmonikusok-Pécs Közhasznú Nonprofit Korlátolt Felelősségű Társaság,
- Pásztói Városgazdálkodási Közhasznú Nonprofit Korlátolt Felelősségű Társaság,
- Pécsi Állatkert és Akvárium- Terrárium Közhasznú Nonprofit Korlátolt Felelősségű Társaság,
- Pécsi Nemzeti Színház Nonprofit Korlátolt Felelősségű Társaság,
- Pécsi Sport Nonprofit Zártkörűen Működő Részvénytársaság,
- Pécsi Városfejlesztési Nonprofit Zártkörűen Működő Részvénytársaság,
- Pécs-pogányi repülőteret működtető Korlátolt Felelősségű Társaság,
- Pelikán Szociális és Egészségügyi Szolgáltató Közhasznú Non-profit Korlátolt Felelősségű Társaság,
- Pestszentlőrinc-Pestszentimre Egészségügyi Szolgáltató Nonprofit Közhasznú Korlátolt Felelősségű Társaság,
- PÉTEGISZ Polgár és Térsége Egészségügyi Központ Nonprofit Zártkörűen Működő Részvénytársaság,
- Petőfi Kulturális Közhasznú Nonprofit Kft.,
- Piroskavárosi Szociális és Rehabilitációs Foglalkoztató Nonprofit Korlátolt Felelősségű Társaság Csongrád,
- PLER Kézilabdasport Korlátolt Felelősségű Társaság,
- PRO KULTÚRA SOPRON Nonprofit Korlátolt Felelősségű Társaság,
- Pro Regio Közép-Magyarországi Regionális Fejlesztési és Szolgáltató Nonprofit Közhasznú Korlátolt Felelősségű Társaság,
- Püspökladányi Egészségügyi Szolgáltató Nonprofit Korlátolt Felelősségű Társaság,
- PVK Páty Vagyonkezelő és Közmű Üzemeltető Nonprofit Korlátolt Felelősségű Társaság,
- Radnóti Miklós Színház Nonprofit Korlátolt Felelősségű Társaság,
- RÉPSZOLG Környezetgazdálkodási és Foglalkoztatási Nonprofit Közhasznú Korlátolt Felelősségű Társaság,
- Rétsági kistérségi Egészségfejlesztő Központ Egészségügyi Szolgáltató Nonprofit Korlátolt Felelősségű Társaság,
- Salgótarján Foglalkoztatási Nonprofit Korlátolt Felelősségű Társaság,
- Salgótarjáni Közművelődési Nonprofit Korlátolt Felelősségű Társaság,
- Sarkadi Kistérségi Egészségügyi Fejlesztő Nonprofit Korlátolt Felelősségű Társaság,
- Sárvíz Kistérségi Járóbeteg Szakellátó és Egészségügyi Szolgáltató Közhasznú Nonprofit Korlátolt Felelősségű Társaság,
- Savaria Turizmus Nonprofit Korlátolt Felelősségű Társaság,
- Segítő Kezek az Aktív Évekért Közhasznú Nonprofit Korlátolt Felelősségű Társaság,
- SÖV Sándorfalva Önkormányzati Vagyonkezelő Közhasznú Nonprofit Korlátolt Felelősségű Társaság,
- Sümegi Kistérségi Egészségügyi Szolgálat Közhasznú Nonprofit Korlátolt Felelősségű Társaság,
- "Szabadhajdú" Közművelődési Média és Rendezvényszervező Közhasznú Nonprofit Korlátolt Felelősségű Társaság,
- SZABAD TÉR SZÍNHÁZ Nonprofit Korlátolt Felelősségű Társaság,
- Szakképző Központ Nonprofit Közhasznú Korlátolt Felelősségű Társaság,
- "Szemesért" Közhasznú Nonprofit Korlátolt Felelősségű Társaság,
- SZÉCSÉNY és TÉRSÉGE Egészségügyi Centrum Nonprofit Közhasznú Korlátolt Felelősségű Társaság,
- Szeged Pólus Fejlesztési Nonprofit Korlátolt Felelősségű Társaság,
- SZEGEDI KISTÉRSÉG- ÉS GAZDASÁGFEJLESZTÉSI Tanácsadó és Szolgáltató Nonprofit Korlátolt Felelősségű Társaság,
- Szegedi Rendezvény- és Médiaközpont Nonprofit Korlátolt Felelősségű Társaság,
- Szegedi Szabadtéri Játékok és Fesztivál Szervező Nonprofit Korlátolt Felelősségű Társaság,
- Székesfehérvár Városgondnoksága Korlátolt Felelősségű Társaság,
- Szent Kristóf Szakrendelő Újbudai Egészségügyi Szolgáltató Közhasznú Nonprofit Korlátolt Felelősségű Társaság,
- Szent Margit Rendelőintézet Nonprofit Korlátolt Felelősségű Társaság,
- Szent Márton Járóbeteg Központ Nonprofit Közhasznú Korlátolt Felelősségű Társaság,
- Szentendrei Kulturális Központ Nonprofit Korlátolt Felelősségű Társaság,
- Szerencsi Városgazda Non-profit Korlátolt Felelősségű Társaság,
- Szolnok Televízió Zártkörűen működő Részvénytársaság,
- Szolnoki Sportcentrum, Sportiskola és Sportszervező Szolgáltató Nonprofit és Közhasznú Korlátolt Felelősségű Társaság,
- Szolnoki Szigligeti Színház Nonprofit Korlátolt Felelősségű Társaság,
- Szolnoki Szimfonikus Zenekar Nonprofit Korlátolt Felelősségű Társaság,
- Szombathelyi Képző Központ Közhasznú Nonprofit Korlátolt Felelősségű Társaság,
- Szombathelyi Médiaközpont Nonprofit Korlátolt Felelősségű Társaság,
- Szombathelyi Sportközpont és Sportiskola Nonprofit Korlátolt Felelősségű Társaság,
- SZSZBMFÜ Szabolcs-Szatmár-Bereg Megyei Területfejlesztési és
- Környezetgazdálkodási Ügynökség Nonprofit Korlátolt Felelősségű Társaság,
- Taktaharkányi Településüzemeltetési Nonprofit Korlátolt Felelősségű Társaság,
- Tápió-Hajta Beruházási-, Szolgáltató Vízgazdálkodási Társulat,
- Tarpai Talpasok Szolgáltató Nonprofit Korlátolt Felelősségű Társaság,
- Tatabánya Megyei Jogú Város Önkormányzatának Gazdaságfejlesztő Szervezete Nonprofit Korlátolt Felelősségű Társaság,
- Tatai Városkapu Közművelődési, Turisztikai, Pályázatkoordináló és Kommunikációs Közhasznú Nonprofit Zártkörűen Működő Részvénytársaság,
- Terézvárosi Foglalkoztatást Elősegítő Nonprofit Korlátolt Felelősségű Társaság,
- Terézvárosi Kulturális Közhasznú Nonprofit Zártkörűen Működő Részvénytársaság,
- Téti Kistérségi Gyógyítóház Közhasznú Nonprofit Korlátolt Felelősségű Társaság,
- THURY-VÁR Kulturális és Szolgáltató Közhasznú Nonprofit Korlátolt Felelősségű Társaság,
- Tiszaföldvári Városüzemeltető Nonprofit Korlátolt Felelősségű Társaság,
- Tiszalúci Községüzemelési és Szolgáltató Nonprofit Korlátolt Felelősségű Társaság,
- TISZA-TÓ 2005 Nonprofit Korlátolt Felelősségű Társaság,
- Tiszaújvárosi Sport-Park Nonprofit Közhasznú Korlátolt Felelősségű Társaság,
- Tiszaújvárosi Városgazda Közhasznú Foglalkoztatási Nonprofit Korlátolt Felelősségű Társaság,
- Tiszavasvári Egészségügyi Szolgáltató Nonprofit Közhasznú Korlátolt Felelősségű Társaság,
- Tokaj Borvidék Fejlődéséért Nonprofit Korlátolt Felelősségű Társaság,
- Tokaji Egészségfejlesztő Központ Nonprofit Korlátolt Felelősségű Társaság,
- TRAFÓ Kortárs Művészetek Háza Nonprofit Korlátolt Felelősségű Társaság,
- TURUL PROVINCIA Városüzemeltetési- és Közszolgáltató Nonprofit Korlátolt
Felelősségű Társaság,
- Új Beregi, Szolgáltató Vízgazdálkodási Társulat,
- Új Színház Nonprofit Korlátolt felelősségű Társaság,
- Újbuda SMART 11 Üzemeltető és Fejlesztő Nonprofit Kft.,
- Újpesti Egészségügyi Szolgáltató Nonprofit Korlátolt Felelősségű Társaság,
- Újpesti Kulturális Központ Nonprofit Korlátolt Felelősségű Társaság,
- Újpesti Parkolási Zártkörűen Működő Részvénytársaság,
- Újpesti Sajtó Szolgáltató Nonprofit Korlátolt Felelősségű Társaság,
- Újpesti Városgondnokság Szolgáltató Korlátolt Felelősségű Társaság,
- UV Újpesti Vagyonkezelő Zártkörűen Működő Részvénytársaság,
- Üllői Városüzemeltető és Fejlesztő Korlátolt Felelősségű Társaság,
- Váci Dunakanyar Színház Nonprofit Korlátolt Felelősségű Társaság,
- Vámospércs - Kistérségi Egészségügyi Szakellátó Nonprofit Korlátolt Felelősségű Társaság,
- Városgazda XVIII. kerület Nonprofit zártkörűen működő Részvénytársaság,
- VÁRVAG Városüzemeltetési és Vagyongazdálkodási Nonprofit Közhasznú Korlátolt Felelősségű Társaság,
- Velencei-tavi Kistérségi Járóbeteg Szakellátó Közhasznú Nonprofit Korlátolt Felelősségű Társaság,
- Via Kanizsa Városüzemeltető Nonprofit Zártkörűen Működő Részvénytársaság,
- Vígszínház Nonprofit Korlátolt Felelősségű Társaság,
- VÜSZI Gödöllői Városüzemeltető és Szolgáltató Nonprofit Közhasznú Korlátolt Felelősségű Társaság,
- Weöres Sándor Színház Nonprofit Korlátolt Felelősségű Társaság,
- XIII. Kerületi Egészségügyi Szolgálat Közhasznú Nonprofit Korlátolt Felelősségű Társaság,
- Zalaegerszegi Televízió és Rádió Korlátolt Felelősségű Társaság,
- Zöldpark Gyomaendrőd Nonprofit Korlátolt Felelősségű Társaság,
- ZTE Kosárlabda Klub Sportszolgáltató Korlátolt Felelősségű Társaság,
- Zuglói Cserepes Kulturális Non-profit Korlátolt Felelősségű Társaság,
- Zuglói Filharmónia Non-profit Korlátolt Felelősségű Társaság,
- Zuglói Közbiztonsági non-profit Korlátolt Felelősségű Társaság,
- Zuglói Sport- és Rendezvényszervező Nonprofit Korlátolt Felelősségű Társaság,
- Zuglói Városgazdálkodási Közszolgáltató Zártkörűen Működő Részvénytársaság,
- Zsolnay Örökségkezelő Nonprofit Korlátolt Felelősségű Társaság,
továbbá, a helyi önkormányzat által irányított és többségükben finanszírozott nonprofit szervezetek (elsősorban a közalapítványok és bizonyos közhasznú társaságok).
A Központi Statisztikai Hivatal a statisztikai adatgyűjtés és a statisztikai besorolási kritériumok vizsgálata alapján gondoskodik a nonprofit szervezetek, közhasznú társaságok osztályozásáról. E szervezetek a statisztikában a gazdasági működésük és finanszírozásuk jellege alapján vagy a kormányzathoz (pl. a közalapítványok), vagy a háztartásokat segítő nonprofit szervezetekhez (pl. magánalapítványok), vagy a vállalkozásokhoz (pl. a gazdasági kamarák, hasonló érdekképviseleti szervek) sorolandók. Működésük karaktere alapján a kormányzathoz tartoznak a közhasznú társaságként működő szervezetek, pl. egyes színházak, helyi televíziók, egészségügyi, szociális, oktatási intézmények, valamint volt minisztériumi háttérintézmények, kisegítő-szolgáltató intézmények. A kormányzati szektorhoz való tartozás fontos bizonyítéka, ha kizárólag vagy túlnyomórészt államháztartási forrásból működő közhasznú társaságok a minisztériumoktól, más fejezetektől közbeszerzési eljárás nélkül jutnak az általuk nyújtott szolgáltatások ellenértékéhez, vagyis támogatásban részesülnek.
Az ESA módszertan alkalmazását segítő Eurostat kézikönyvhöz (MGDD = Manual on Government Deficit and Debt) nemrég készült új szabályozási tervezet szerint a kötelező részvételű, kötelező befizetéssel működő alapokat a kormányzatba kell sorolni, annak vizsgálata nélkül, hogy ki irányítja ezeket az alapokat. A magyar statisztikai hatóságok ezek következtében úgy döntöttek, hogy a Szanálási Alap és leányvállalatai, az Országos Betétbiztosítási Alap, a Befektető-védelmi Alap, a Kárrendezési Alap, és a Szövetkezeti Hitelintézetek Tőkefedezeti Közös Alapja besorolásra került a kormányzati szektorba.
Az uniós módszertan - a szervezeti kör különbözőségén túl - a számbavétel időpontját, értékét, az elszámolandó tranzakciók körét illetően is eltér az államháztartási elszámolásokhoz képest. Az alkalmazandó uniós módszertant, az ESA2010 nemzeti számla rendszert, egy uniós tanácsi rendelet2 tartalmazza, amely a tagsággal a magyar jogrend részévé vált.
- Elszámolandó tranzakciók köre:
= Az ESA2010 statisztikai módszertan a nyújtott kölcsönöket és visszatérülésüket, a tőkebefektetéseket és -kivonásukat (azaz a részvényműveleteket) a hiány számítása során figyelmen kívül hagyja.
= Egyes, pénzforgalomban nem jelentkező, pénzmozgással nem járó műveleteket kiadásként számol el, így pl. a követelések elengedését, az adósságok átvállalását.
= A gazdasági folyamatokban megkülönbözteti a két fél kölcsönös megállapodásán alapuló tranzakciókat, ezeket lehet csak a maastrichti hiánymutatóban elszámolni, viszont a gazdasági partner nélküli eseményeket (pl. leltártöbblet, katasztrófaveszteség) és az átértékelődés folyamatait (az ár- és árfolyamváltozásokat) nem.
- Számbavétel időpontja:
A módszertan a pénzforgalmi helyett eredményszemléletű számbavételt kér, azaz a bevételeket és kiadásokat abban az időszakban számolja el, amikor a gazdasági események megtörténnek (az adófizetési kötelezettség keletkezik, a jogosultság létrejön).
- Számbavétel értéke:
A tranzakciókat, az eszközöket és kötelezettségeket piaci áron értékeli.
Az ESA2010 szerinti egyenleg a fenti szervezeti körre való kiterjesztést követően és a megfelelő korrekciót alkalmazva áll elő a hazai elszámolások szerinti államháztartási egyenlegből.
A másik fiskális konvergencia mutató, az ún. maastrichti adósságmutató a kormányzati szektor konszolidált bruttó adóssága névértéken, melyet az ÁKK által kimutatott központi költségvetés bruttó adósságából kiindulva, azt korrigálva, valamint a kormányzati szektorba tartozó többi alrendszer, illetve szervezet adósságát hozzáadva lehet megkapni. A központi költségvetés ÁKK által kimutatott adósságát amiatt is kell korrigálni, mert a maastrichti adósságot nem piaci értéken, hanem névértéken kell elszámolni, ebből következően a csak piaci értékkel bíró derivatívák nem részei az adósságnak, míg a névértéktől eltérő áron történt adósságkibocsátások (diszkontkincstárjegyek) állományi adatait a névértékre való átszámítással korrigálni kell.
4. A kiemelt mutatószámok
Az európai uniós tagsággal Magyarország vállalta az euró bevezetését, melynek fiskális kritériumaként a hiányt 3% alá, az adósságot pedig 60% alá kell csökkenteni, a Stabilitási és Növekedési Egyezmény alapján a 2020-2022-es időszakban 1,0%-os strukturális deficitcélt kell teljesítenie a GDP arányában.
Az Európai Unió jogrendje szerint a tagországoknak a túlzotthiány-eljárás (EDP) keretében évente két alkalommal - március és szeptember végéig - kell hivatalos jelentésben közölniük a két kiemelt kormányzati mutatót: a kormányzati szektor adósságát és hiányát. A Központi Statisztikai Hivatal állítja össze az EDP-jelentést valamennyi tényidőszakra a nem pénzügyi számlák tekintetében, a Magyar Nemzeti Bank a pénzügyi számlák körében, míg a Pénzügyminisztérium az adott évi várható értékét mind az EDP-egyenlegnek, mind a maastrichti adósságnak.
Az őszi kalkuláció eredménye:

A kiemelt mutatószámokban elsősorban az adatforrások változásból adódó eltérések jelentkeznek, a gyorsjelentéseket, évközi statisztikákat felváltják az éves beszámolókból és éves statisztikákból származó alapadatok, újabb szervezetek besorolásai és módszertani változások. Az adósságmutató tavaszi állapothoz képest mutatkozó kedvező alakulásában a GDP növekedésének is szerepe van.
1 European System of Accounts, az EURÓPAI PARLAMENT ÉS A TANÁCS 549/2013/EU RENDELETE (2013. május 21.) az Európai Unió-beli nemzeti és regionális számlák európai rendszeréről
2 Az EURÓPAI PARLAMENT ÉS A TANÁCS 549/2013/EU RENDELETE (2013. május 21.) az Európai Unió-beli nemzeti és regionális számlák európai rendszeréről
RÉSZLETES INDOKOLÁS
I. FEJEZET
A 2018. ÉVI KÖZPONTI KÖLTSÉGVETÉS VÉGREHAJTÁSA
1. A főösszegek, az egyenleg és az államadósság értéke
Az 1-2. §-hoz
A törvényjavaslat első szakaszai a központi alrendszer, a hazai működési költségvetés, a hazai felhalmozási költségvetés és az európai uniós fejlesztési költségvetés 2018. évi kiadásainak és bevételeinek főösszegét, valamint egyenlegét rögzítik.
A 3. §-hoz
A § részletesen bemutatja, hogy az államadósság-mutató a Magyarország gazdasági stabilitásáról szóló 2011. évi CXCIV. törvény (a továbbiakban: Gst.) 2. § (1) bekezdése alapján számított mértéke 2018. évben megfelelt az Alaptörvény 36. cikk (5) bekezdésében meghatározott követelménynek, mivel az azonos módszertan alapján számított 2017. évi államadósság-mutatónál kisebb mértéket ért el.
2. A költségvetés finanszírozásával kapcsolatos egyes rendelkezések
A 4. §-hoz
A javaslat tartalmazza az Gst. 11. § (1) bekezdésének felhatalmazás alapján történt adósság-visszafizetéseket. A törlesztések a Kincstári Egységes Számla (a továbbiakban: KESZ) adósságtörlesztési számlája terhére teljesültek.
Az 5. §-hoz
A javaslat az államháztartás központi alrendszere hiányának finanszírozási módjáról számol be. A hiányt forint államkötvények kibocsátásával és forinthitelek felvételével finanszírozta az államháztartásért felelős miniszter.
A 6. §-hoz
A javaslatban szereplő forint- és deviza állampapír kibocsátások és hitelfelvételek biztosították az adósság-visszafizetések finanszírozását.
A 7. §-hoz
A költségvetési törvény a KESZ likviditásának biztosítására is felhatalmazta az államháztartásért felelős minisztert, amelynek során növelte a kincstárjegyek állományát és devizakötvényt bocsátott ki.
II. FEJEZET
AZ ÁLLAMI KÖVETELÉSEK KÖRE, KEZELÉSE ÉS VÁLTOZÁSA
A 8. §-hoz
Az államháztartás központi alrendszerén belül a társadalombiztosítás pénzügyi alapjai alaponkénti hiányát a zárszámadásban kell rendezni. A javaslat az Egészségbiztosítási Alap (a továbbiakban: E. Alap) 2018. évi költségvetési hiányának a KESZ hitelállományából 2019. december 20-ai hatállyal történő elengedéséről rendelkezik.
III. FEJEZET
A TÁRSADALOMBIZTOSÍTÁS PÉNZÜGYI ALAPJAI 2018. ÉVI KÖLTSÉGVETÉSÉNEK VÉGREHAJTÁSA
3. Az Egészségbiztosítási Alap költségvetésének végrehajtása
A 9. §-hoz
A rendelkezés bemutatja az E. Alapnál 2018. évben keletkezett működési előirányzat-maradványt, valamint az E. Alap 2018. évi működési kiadásai között a 2017. évi működési előirányzat-maradvány felhasználását.
4. A társadalombiztosítás pénzügyi alapjai költségvetésének végrehajtásával kapcsolatos rendelkezések
A 10. §-hoz
A javaslat tartalmazza
a) az Ny. Alap fejezetnél az adott előirányzatnál (nyugellátás megállapítás, nyugdíjemelés, egyszeri segély) méltányossági ellátásra fordított kiadások összegét,
b) az E. Alap fejezetnél az adott előirányzatnál (Csecsemőgondozási díj, Terhességigyermekágyi segély, Táppénz, Gyermekgondozási díj, Rokkantsági, rehabilitációs ellátások, Gyógyító-megelőző ellátás, Gyógyszertámogatás, Gyógyászati segédeszköz támogatás) méltányossági ellátásra fordított kiadások összegét.
A 11. §-hoz
Az Országgyűlés megállapítja az előírt megtérítési, visszautalási, elszámolási és befizetési kötelezettségek teljesítését.
IV. FEJEZET
A KÖZPONTI ALRENDSZEREN BELÜLI ELSZÁMOLÁSOK
A 12. §-hoz
A javaslat tartalmazza a társadalombiztosítás pénzügyi alapjai közreműködésével, de nem az Alapok terhére folyósított ellátások megtérítési különbözetének pénzügyi rendezését, határidő meghatározásával.
A 13. §-hoz
A javaslat tartalmazza az Ny. Alapnak a korengedményes nyugdíj elszámoláshoz kapcsolódó nyilvántartott követelések elszámolását a Munkáltatói befizetésekből finanszírozott korengedményes nyugdíjhoz kapcsolódóan a Nemzeti Foglalkoztatási Alappal.
A 14. §-hoz
A javaslat az Ny. Alap 2018. évi többletének rendezését tartalmazza, határidő meghatározásával.
A 15. §-hoz
Az Európai Gazdasági Térség Finanszírozási Mechanizmus és a Norvég Finanszírozási Mechanizmus forrásaira nem történt kötelezettségvállalás.
A 16. §-hoz
A javaslat a Partnerségi Megállapodás keretében, valamint a Belügyi alapokból finanszírozott programok, projektek esetén az uniós forrásokra és a kapcsolódó központi költségvetési finanszírozásra tett kötelezettségvállalások összegének jóváhagyásáról rendelkezik.
V. FEJEZET
A KÖZPONTI ALRENDSZERNEK AZ ÖNKORMÁNYZATI ALRENDSZERREL ÉS AZ ÁLLAMHÁZTARTÁSON KÍVÜLI SZERVEZETEKKEL FENNÁLLÓ KAPCSOLATÁBÓL FAKADÓ ELSZÁMOLÁSOK
5. A helyi önkormányzatok központi alrendszerből származó forrásai
A 17-19. §-hoz
A javaslat tartalmazza a helyi önkormányzatok 2018. évi állami támogatásai, valamint a 2017. december 31-én kötelezettségvállalással terhelt Kvtv. 3. melléklet 2. Helyi önkormányzatok felhalmozási célú költségvetési támogatásai pontja szerinti támogatások elszámolásainak eredményeit, az ezekkel kapcsolatos központi költségvetési és az önkormányzati visszafizetési kötelezettségeket.
Az államháztartásról szóló törvény végrehajtásáról szóló 368/2011. (XII. 31.) Korm. rendelet (a továbbiakban: Ávr.) 112. § (4) bekezdés a) pontja értelmében az a helyi önkormányzat, amely visszafizetési kötelezettségének az éves költségvetési beszámoló kincstárhoz történő benyújtására előírt határidőt követő 15 napon belül nem tesz eleget, késedelmi kamatot fizet. Az Ávr. 112. § (5) bekezdése szerint a késedelmi kamatfizetési kötelezettség kezdő napja így 2019. április 5.
Az államháztartás számviteléről szóló 4/2013. Korm. rendelet 32. § (1) és (4) bekezdése és a 35/A. § értelmében a helyi önkormányzat az éves költségvetési beszámolóját a kincstárnak március 20-áig nyújtja be.
6. Az egyházak támogatása
A 20. §-hoz
Az egyházak hitéleti és közcélú tevékenységének anyagi feltételeiről szóló 1997. évi CXXIV. törvény 6. §-a alapján a szociális, gyermekjóléti és gyermekvédelmi közfeladat ellátásához az egyházi fenntartókat az állami, önkormányzati fenntartókkal azonos állami támogatás illeti meg. Az egyházi és az állami, önkormányzati fenntartású intézmények 2018. évi támogatásának kiegyenlítése céljából a szociális, gyermekjóléti és gyermekvédelmi területen támogatásrendezés szükséges.
Az egyházi fenntartót a Kvtv. 41. § (3) bekezdés alapján az általa fenntartott támogató szolgáltatás és közösségi alapellátások után kiegészítő támogatás illeti meg. A kiegészítő támogatás az egyházi fenntartót a 2018. évi központi költségvetés végrehajtása során az állami, illetve önkormányzati fenntartók ugyanezen szolgáltatásokon elszámolt működési, kiadás és bevétel egyenlegének rendezése alapján illeti meg.
Az egyházak hitéleti és közcélú tevékenységének anyagi feltételeiről szóló 1997. évi CXXIV. törvény 3. § (2) bekezdése előírja az egyházi járadékalap és a kiegészítő járadék összegének éves valorizációját, illetve a tervezett és a tényleges éves átlagos fogyasztói árindex közötti különbözet rendezését az érintett egyházakkal.
Az egyházak hitéleti és közcélú tevékenységének anyagi feltételeiről szóló 1997. évi CXXIV. törvény 6. §-a alapján a köznevelési közfeladat ellátásához az egyházi fenntartókat az állami, önkormányzati fenntartókkal azonos állami támogatás illeti meg. Az egyházi és az állami, önkormányzati fenntartású intézmények 2018. évi támogatásának kiegyenlítése céljából a köznevelésben a jelzett támogatás-rendezés szükséges.
VI. FEJEZET
ZÁRÓ RENDELKEZÉSEK
A 21. §-hoz
A § hatályba léptető és deregulációs rendelkezést tartalmaz.
AZ INDOKOLÁS MELLÉKLETEI
Makrogazdasági mutatók
A gazdasági fejlődés főbb jellemzői

AZ ÁLLAMHÁZTARTÁS FŐBB JELLEMZŐI
(pénzforgalmi szemléletben)
milliárd forintban

Az államháztartás mérlegei
Az államháztartás mérlege (pénzforgalmi szemléletben)
(közgazdasági osztályozás szerint)
millió forintban

Az államháztartás konszolidált kiadásai (pénzforgalmi szemléletben)
(közgazdasági osztályozás szerint)
millió forintban

Az államháztartás konszolidált kiadásai (pénzforgalmi szemléletben)
(közgazdasági osztályozás szerint)
megoszlás %-ában

Az államháztartás konszolidált kiadásai (pénzforgalmi szemléletben)
(közgazdasági osztályozás szerint)
GDP %-ában

Az államháztartás funkcionális mérlege (pénzforgalmi szemléletben)
millió forintban

Az államháztartás konszolidált funkcionális kiadásai (pénzforgalmi szemléletben)
millió forintban

Az államháztartás konszolidált funkcionális kiadásai (pénzforgalmi szemléletben)
megoszlás %-ában

Az államháztartás konszolidált funkcionális kiadásai (pénzforgalmi szemléletben)
GDP %-ában

A központi alrendszer mérlegei
millió forint


millió forintban

millió forintban

millió forintban

millió forintban

millió forintban

millió forintban

millió forintban

millió forintban

millió forintban

millió forintban

millió forintban

millió forintban

millió forintban

millió forintban

millió forintban

millió forintban

millió forintban

millió forintban

millió forintban

millió forintban

millió forintban

millió forintban

millió forintban

millió forintban

millió forintban

millió forintban

millió forintban

millió forintban

millió forintban

millió forintban

millió forintban

millió forintban

millió forintban

millió forintban

millió forintban

millió forintban

millió forintban

millió forintban

millió forintban

millió forintban

millió forintban

millió forintban

millió forintban

millió forintban

millió forintban

millió forintban

millió forintban

millió forintban

millió forintban

millió forintban

millió forintban

millió forintban

millió forintban

millió forintban

millió forintban

millió forintban

millió forintban

millió forintban

millió forintban

millió forintban

millió forintban

millió forintban

millió forintban

millió forintban

millió forintban

millió forintban

millió forintban

millió forintban

millió forintban

millió forintban

millió forintban

millió forintban

millió forintban

millió forintban

millió forintban

millió forintban

millió forintban

millió forintban

millió forintban

millió forintban

millió forintban

millió forintban

millió forintban

millió forintban

millió forintban

millió forintban

millió forintban

millió forintban

millió forintban

millió forintban

millió forintban

millió forintban

millió forintban

millió forintban

millió forintban

millió forintban

millió forintban

millió forintban

millió forintban

millió forintban

millió forintban

millió forintban

millió forintban

A központi alrendszer mérlege (pénzforgalmi szemléletben)
(közgazdasági osztályozás szerint)
millió forintban

A központi alrendszer konszolidált kiadásai (pénzforgalmi szemléletben)
(közgazdasági osztályozás szerint)
millió forintban

A központi alrendszer konszolidált kiadásai (pénzforgalmi szemléletben)
(közgazdasági osztályozás szerint)
megoszlás %-ában

A központi alrendszer konszolidált kiadásai (pénzforgalmi szemléletben)
(közgazdasági osztályozás szerint)
GDP %-ában

A központi alrendszer funkcionális mérlege (pénzforgalmi szemléletben)
millió forintban

A központi alrendszer konszolidált funkcionális kiadásai (pénzforgalmi szemléletben)
millió forintban

A központi alrendszer konszolidált funkcionális kiadásai (pénzforgalmi szemléletben)
megoszlás %-ában

A központi alrendszer konszolidált funkcionális kiadásai (pénzforgalmi szemléletben)
GDP %-ában

A KÖZPONTI ALRENDSZER ELŐIRÁNYZATAI
millió forintban

A KÖZPONTI ALRENDSZER ELŐIRÁNYZATAI
millió forintban

A KÖZPONTI ALRENDSZER ELŐIRÁNYZATAI
millió forintban

A KÖZPONTI ALRENDSZER ELŐIRÁNYZATAI
millió forintban

A KÖZPONTI ALRENDSZER ELŐIRÁNYZATAI
millió forintban

A KÖZPONTI ALRENDSZER ELŐIRÁNYZATAI
millió forintban

A KÖZPONTI ALRENDSZER ELŐIRÁNYZATAI
millió forintban

A KÖZPONTI ALRENDSZER ELŐIRÁNYZATAI
millió forintban

A KÖZPONTI ALRENDSZER ELŐIRÁNYZATAI
millió forintban

A KÖZPONTI ALRENDSZER ELŐIRÁNYZATAI
millió forintban

A KÖZPONTI ALRENDSZER ELŐIRÁNYZATAI
millió forintban

A KÖZPONTI ALRENDSZER ELŐIRÁNYZATAI
millió forintban

A KÖZPONTI ALRENDSZER ELŐIRÁNYZATAI
millió forintban

A KÖZPONTI ALRENDSZER ELŐIRÁNYZATAI
millió forintban

A KÖZPONTI ALRENDSZER ELŐIRÁNYZATAI
millió forintban

A KÖZPONTI ALRENDSZER ELŐIRÁNYZATAI
millió forintban

A KÖZPONTI ALRENDSZER ELŐIRÁNYZATAI
millió forintban

A KÖZPONTI ALRENDSZER ELŐIRÁNYZATAI
millió forintban

A KÖZPONTI ALRENDSZER ELŐIRÁNYZATAI
millió forintban

A KÖZPONTI ALRENDSZER ELŐIRÁNYZATAI
millió forintban

A KÖZPONTI ALRENDSZER ELŐIRÁNYZATAI
millió forintban

A KÖZPONTI ALRENDSZER ELŐIRÁNYZATAI
millió forintban

A KÖZPONTI ALRENDSZER ELŐIRÁNYZATAI
millió forintban

A KÖZPONTI ALRENDSZER ELŐIRÁNYZATAI
millió forintban

A KÖZPONTI ALRENDSZER ELŐIRÁNYZATAI
millió forintban

A KÖZPONTI ALRENDSZER ELŐIRÁNYZATAI
millió forintban

A KÖZPONTI ALRENDSZER ELŐIRÁNYZATAI
millió forintban

A KÖZPONTI ALRENDSZER ELŐIRÁNYZATAI
millió forintban

A KÖZPONTI ALRENDSZER ELŐIRÁNYZATAI
millió forintban

A KÖZPONTI ALRENDSZER ELŐIRÁNYZATAI
millió forintban

A KÖZPONTI ALRENDSZER ELŐIRÁNYZATAI
millió forintban

A KÖZPONTI ALRENDSZER ELŐIRÁNYZATAI
millió forintban

A KÖZPONTI ALRENDSZER ELŐIRÁNYZATAI
millió forintban

A KÖZPONTI ALRENDSZER ELŐIRÁNYZATAI
millió forintban

A KÖZPONTI ALRENDSZER ELŐIRÁNYZATAI
millió forintban

A KÖZPONTI ALRENDSZER ELŐIRÁNYZATAI
millió forintban

A KÖZPONTI ALRENDSZER ELŐIRÁNYZATAI
millió forintban

A KÖZPONTI ALRENDSZER ELŐIRÁNYZATAI
millió forintban

A KÖZPONTI ALRENDSZER ELŐIRÁNYZATAI
millió forintban

A KÖZPONTI ALRENDSZER ELŐIRÁNYZATAI
millió forintban

A KÖZPONTI ALRENDSZER ELŐIRÁNYZATAI
millió forintban

A KÖZPONTI ALRENDSZER ELŐIRÁNYZATAI
millió forintban

A KÖZPONTI ALRENDSZER ELŐIRÁNYZATAI
millió forintban

A KÖZPONTI ALRENDSZER ELŐIRÁNYZATAI
millió forintban

A KÖZPONTI ALRENDSZER ELŐIRÁNYZATAI
millió forintban

A KÖZPONTI ALRENDSZER ELŐIRÁNYZATAI
millió forintban

A KÖZPONTI ALRENDSZER ELŐIRÁNYZATAI
millió forintban

A KÖZPONTI ALRENDSZER ELŐIRÁNYZATAI
millió forintban

A KÖZPONTI ALRENDSZER ELŐIRÁNYZATAI
millió forintban

A KÖZPONTI ALRENDSZER ELŐIRÁNYZATAI
millió forintban

A KÖZPONTI ALRENDSZER ELŐIRÁNYZATAI
millió forintban

A KÖZPONTI ALRENDSZER ELŐIRÁNYZATAI
millió forintban

A KÖZPONTI ALRENDSZER ELŐIRÁNYZATAI
millió forintban

A KÖZPONTI ALRENDSZER ELŐIRÁNYZATAI
millió forintban

A KÖZPONTI ALRENDSZER ELŐIRÁNYZATAI
millió forintban

A KÖZPONTI ALRENDSZER ELŐIRÁNYZATAI
millió forintban

A KÖZPONTI ALRENDSZER ELŐIRÁNYZATAI
millió forintban

A KÖZPONTI ALRENDSZER ELŐIRÁNYZATAI
millió forintban

A KÖZPONTI ALRENDSZER ELŐIRÁNYZATAI
millió forintban

A KÖZPONTI ALRENDSZER ELŐIRÁNYZATAI
millió forintban

A KÖZPONTI ALRENDSZER ELŐIRÁNYZATAI
millió forintban

A KÖZPONTI ALRENDSZER ELŐIRÁNYZATAI
millió forintban

A KÖZPONTI ALRENDSZER ELŐIRÁNYZATAI
millió forintban

A KÖZPONTI ALRENDSZER ELŐIRÁNYZATAI
millió forintban

A KÖZPONTI ALRENDSZER ELŐIRÁNYZATAI
millió forintban

A KÖZPONTI ALRENDSZER ELŐIRÁNYZATAI
millió forintban

A KÖZPONTI ALRENDSZER ELŐIRÁNYZATAI
millió forintban

A KÖZPONTI ALRENDSZER ELŐIRÁNYZATAI
millió forintban

A KÖZPONTI ALRENDSZER ELŐIRÁNYZATAI
millió forintban

A KÖZPONTI ALRENDSZER ELŐIRÁNYZATAI
millió forintban

A KÖZPONTI ALRENDSZER ELŐIRÁNYZATAI
millió forintban

A KÖZPONTI ALRENDSZER ELŐIRÁNYZATAI
millió forintban

A KÖZPONTI ALRENDSZER ELŐIRÁNYZATAI
millió forintban

A KÖZPONTI ALRENDSZER ELŐIRÁNYZATAI
millió forintban

A KÖZPONTI ALRENDSZER ELŐIRÁNYZATAI
millió forintban

A KÖZPONTI ALRENDSZER ELŐIRÁNYZATAI
millió forintban

A KÖZPONTI ALRENDSZER ELŐIRÁNYZATAI
millió forintban

A KÖZPONTI ALRENDSZER ELŐIRÁNYZATAI
millió forintban

A KÖZPONTI ALRENDSZER ELŐIRÁNYZATAI
millió forintban

A KÖZPONTI ALRENDSZER ELŐIRÁNYZATAI
millió forintban

A KÖZPONTI ALRENDSZER ELŐIRÁNYZATAI
millió forintban

A KÖZPONTI ALRENDSZER ELŐIRÁNYZATAI
millió forintban

A KÖZPONTI ALRENDSZER ELŐIRÁNYZATAI
millió forintban

A KÖZPONTI ALRENDSZER ELŐIRÁNYZATAI
millió forintban

A KÖZPONTI ALRENDSZER ELŐIRÁNYZATAI
millió forintban

A KÖZPONTI ALRENDSZER ELŐIRÁNYZATAI
millió forintban

A KÖZPONTI ALRENDSZER ELŐIRÁNYZATAI
millió forintban

A KÖZPONTI ALRENDSZER ELŐIRÁNYZATAI
millió forintban

A KÖZPONTI ALRENDSZER ELŐIRÁNYZATAI
millió forintban

A KÖZPONTI ALRENDSZER ELŐIRÁNYZATAI
millió forintban

A KÖZPONTI ALRENDSZER ELŐIRÁNYZATAI
millió forintban

A KÖZPONTI ALRENDSZER ELŐIRÁNYZATAI
millió forintban

A KÖZPONTI ALRENDSZER ELŐIRÁNYZATAI
millió forintban

A KÖZPONTI ALRENDSZER ELŐIRÁNYZATAI
millió forintban

A KÖZPONTI ALRENDSZER ELŐIRÁNYZATAI
millió forintban

A KÖZPONTI ALRENDSZER ELŐIRÁNYZATAI
millió forintban

A KÖZPONTI ALRENDSZER ELŐIRÁNYZATAI
millió forintban

A KÖZPONTI ALRENDSZER ELŐIRÁNYZATAI
millió forintban

A KÖZPONTI ALRENDSZER ELŐIRÁNYZATAI
millió forintban

A KÖZPONTI ALRENDSZER ELŐIRÁNYZATAI
millió forintban

A KÖZPONTI ALRENDSZER ELŐIRÁNYZATAI
millió forintban

A KÖZPONTI ALRENDSZER ELŐIRÁNYZATAI
millió forintban

A KÖZPONTI ALRENDSZER ELŐIRÁNYZATAI
millió forintban

A KÖZPONTI ALRENDSZER ELŐIRÁNYZATAI
millió forintban

A KÖZPONTI ALRENDSZER ELŐIRÁNYZATAI
millió forintban

A KÖZPONTI ALRENDSZER ELŐIRÁNYZATAI
millió forintban

A KÖZPONTI ALRENDSZER ELŐIRÁNYZATAI
millió forintban

A KÖZPONTI ALRENDSZER ELŐIRÁNYZATAI
millió forintban

A KÖZPONTI ALRENDSZER ELŐIRÁNYZATAI
millió forintban

A KÖZPONTI ALRENDSZER ELŐIRÁNYZATAI
millió forintban

A KÖZPONTI ALRENDSZER ELŐIRÁNYZATAI
millió forintban

A KÖZPONTI ALRENDSZER ELŐIRÁNYZATAI
millió forintban

A KÖZPONTI ALRENDSZER ELŐIRÁNYZATAI
millió forintban

A KÖZPONTI ALRENDSZER ELŐIRÁNYZATAI
millió forintban

A KÖZPONTI ALRENDSZER ELŐIRÁNYZATAI
millió forintban

A KÖZPONTI ALRENDSZER ELŐIRÁNYZATAI
millió forintban

Az önkormányzati alrendszer mérlegei
Önkormányzati alrendszer mérlege (pénzforgalmi szemléletben)
(közgazdasági osztályozás szerint)
millió forintban

Önkormányzati alrendszer konszolidált kiadásai (pénzforgalmi szemléletben)
(közgazdasági osztályozás szerint)
millió forintban

Önkormányzati alrendszer konszolidált kiadásai (pénzforgalmi szemléletben)
(közgazdasági osztályozás szerint)
megoszlás %-ában

Önkormányzati alrendszer konszolidált kiadásai (pénzforgalmi szemléletben)
(közgazdasági osztályozás szerint)
GDP %-ában

Önkormányzati alrendszer funkcionális mérlege (pénzforgalmi szemléletben)
millió forintban

Önkormányzati alrendszer konszolidált funkcionális kiadásai (pénzforgalmi szemléletben)
millió forintban

Önkormányzati alrendszer konszolidált funkcionális kiadásai (pénzforgalmi szemléletben)
megoszlás %-ában

Önkormányzati alrendszer konszolidált funkcionális kiadásai (pénzforgalmi szemléletben)
GDP %-ában

Az önkormányzati alrendszer költségvetési mérlege

Az önkormányzati alrendszer költségvetési mérlege

Az önkormányzati alrendszer költségvetési mérlege

Az önkormányzati alrendszer költségvetési mérlege

Az önkormányzati alrendszer folyó és felhalmozási mérlegeinek alakulása 2017 - 2018. években

%-ban

%-ban

Az önkormányzatok kiadásainak funkcionális alakulása

A 2018. évi európai uniós költségvetési kapcsolatok
A 2018. évi európai uniós költségvetési kapcsolatok
Költségvetésben megjelenő EU támogatások
millió forint

Költségvetésen kívüli EU támogatások

Az Európai Mezőgazdasági Garancia Alapból nyújtott közvetlen termelői és agrárpiaci támogatások

A Széchenyi 2020 operatív programok kötelezettségvállalási keretelőirányzatának és pénzügyi teljesülésének alakulása prioritás szerinti bontásban

A Vidékfejlesztési Program kötelezettségvállalási keretelőirányzatának és pénzügyi teljesülésének alakulása intézkedés szerinti bontásban
millió euró

A Magyar Halgazdálkodási Operatív Program kötelezettségvállalási keretelőirányzatának és pénzügyi teljesülésének alakulása prioritás szerinti bontásban
millió euró

A Belügyi Alapok kötelezettségvállalási keretelőirányzatának és pénzügyi teljesülésének alakulása alaponkénti bontásban
millió euró

A CEF projektek kötelezettségvállalási keretelőirányzatának és pénzügyi teljesülésének alakulása
millióforint

2007. év előtti strukturális támogatások
millió forint


Nemzeti Stratégiai Referenciakeret
millió forint

Kohéziós politikai operatív programok 2014-2020
millió forint

Területi együttműködési programok
millió forint


Vidékfejlesztési és halászati programok
millió forint

Egyéb Uniós programok
millió forint


Uniós programok központosított bevételei, hozzájárulás az EU költségvetéséhez
millió forint


Egyéb adatok
Költségvetési szervek és fejezeti kezelésű előirányzatok
KÖLTSÉGVETÉSI SZERVEK, SZAKMAI FEJEZETI KEZELÉSŰ SOROK ELŐIRÁNYZATAI
millió forintban

KÖLTSÉGVETÉSI SZERVEK, SZAKMAI FEJEZETI KEZELÉSŰ SOROK ELŐIRÁNYZATAI
millió forintban

KÖLTSÉGVETÉSI SZERVEK, SZAKMAI FEJEZETI KEZELÉSŰ SOROK ELŐIRÁNYZATAI
millió forintban

KÖLTSÉGVETÉSI SZERVEK, SZAKMAI FEJEZETI KEZELÉSŰ SOROK ELŐIRÁNYZATAI
millió forintban

KÖLTSÉGVETÉSI SZERVEK, SZAKMAI FEJEZETI KEZELÉSŰ SOROK ELŐIRÁNYZATAI
millió forintban

KÖLTSÉGVETÉSI SZERVEK, SZAKMAI FEJEZETI KEZELÉSŰ SOROK ELŐIRÁNYZATAI
millió forintban

KÖLTSÉGVETÉSI SZERVEK, SZAKMAI FEJEZETI KEZELÉSŰ SOROK ELŐIRÁNYZATAI
millió forintban

KÖLTSÉGVETÉSI SZERVEK, SZAKMAI FEJEZETI KEZELÉSŰ SOROK ELŐIRÁNYZATAI
millió forintban

KÖLTSÉGVETÉSI SZERVEK, SZAKMAI FEJEZETI KEZELÉSŰ SOROK ELŐIRÁNYZATAI
millió forintban

KÖLTSÉGVETÉSI SZERVEK, SZAKMAI FEJEZETI KEZELÉSŰ SOROK ELŐIRÁNYZATAI
millió forintban

KÖLTSÉGVETÉSI SZERVEK, SZAKMAI FEJEZETI KEZELÉSŰ SOROK ELŐIRÁNYZATAI
millió forintban

KÖLTSÉGVETÉSI SZERVEK, SZAKMAI FEJEZETI KEZELÉSŰ SOROK ELŐIRÁNYZATAI
millió forintban

KÖLTSÉGVETÉSI SZERVEK, SZAKMAI FEJEZETI KEZELÉSŰ SOROK ELŐIRÁNYZATAI
millió forintban

KÖLTSÉGVETÉSI SZERVEK, SZAKMAI FEJEZETI KEZELÉSŰ SOROK ELŐIRÁNYZATAI
millió forintban

KÖLTSÉGVETÉSI SZERVEK, SZAKMAI FEJEZETI KEZELÉSŰ SOROK ELŐIRÁNYZATAI
millió forintban

KÖLTSÉGVETÉSI SZERVEK, SZAKMAI FEJEZETI KEZELÉSŰ SOROK ELŐIRÁNYZATAI
millió forintban

KÖLTSÉGVETÉSI SZERVEK, SZAKMAI FEJEZETI KEZELÉSŰ SOROK ELŐIRÁNYZATAI
millió forintban

KÖLTSÉGVETÉSI SZERVEK, SZAKMAI FEJEZETI KEZELÉSŰ SOROK ELŐIRÁNYZATAI
millió forintban

KÖLTSÉGVETÉSI SZERVEK, SZAKMAI FEJEZETI KEZELÉSŰ SOROK ELŐIRÁNYZATAI
millió forintban

KÖLTSÉGVETÉSI SZERVEK, SZAKMAI FEJEZETI KEZELÉSŰ SOROK ELŐIRÁNYZATAI
millió forintban

KÖLTSÉGVETÉSI SZERVEK, SZAKMAI FEJEZETI KEZELÉSŰ SOROK ELŐIRÁNYZATAI
millió forintban

KÖLTSÉGVETÉSI SZERVEK, SZAKMAI FEJEZETI KEZELÉSŰ SOROK ELŐIRÁNYZATAI
millió forintban

KÖLTSÉGVETÉSI SZERVEK, SZAKMAI FEJEZETI KEZELÉSŰ SOROK ELŐIRÁNYZATAI
millió forintban

KÖLTSÉGVETÉSI SZERVEK, SZAKMAI FEJEZETI KEZELÉSŰ SOROK ELŐIRÁNYZATAI
millió forintban

KÖLTSÉGVETÉSI SZERVEK, SZAKMAI FEJEZETI KEZELÉSŰ SOROK ELŐIRÁNYZATAI
millió forintban

KÖLTSÉGVETÉSI SZERVEK, SZAKMAI FEJEZETI KEZELÉSŰ SOROK ELŐIRÁNYZATAI
millió forintban

KÖLTSÉGVETÉSI SZERVEK, SZAKMAI FEJEZETI KEZELÉSŰ SOROK ELŐIRÁNYZATAI
millió forintban

KÖLTSÉGVETÉSI SZERVEK, SZAKMAI FEJEZETI KEZELÉSŰ SOROK ELŐIRÁNYZATAI
millió forintban

KÖLTSÉGVETÉSI SZERVEK, SZAKMAI FEJEZETI KEZELÉSŰ SOROK ELŐIRÁNYZATAI
millió forintban

KÖLTSÉGVETÉSI SZERVEK, SZAKMAI FEJEZETI KEZELÉSŰ SOROK ELŐIRÁNYZATAI
millió forintban

KÖLTSÉGVETÉSI SZERVEK, SZAKMAI FEJEZETI KEZELÉSŰ SOROK ELŐIRÁNYZATAI
millió forintban

KÖLTSÉGVETÉSI SZERVEK, SZAKMAI FEJEZETI KEZELÉSŰ SOROK ELŐIRÁNYZATAI
millió forintban

KÖLTSÉGVETÉSI SZERVEK, SZAKMAI FEJEZETI KEZELÉSŰ SOROK ELŐIRÁNYZATAI
millió forintban

KÖLTSÉGVETÉSI SZERVEK, SZAKMAI FEJEZETI KEZELÉSŰ SOROK ELŐIRÁNYZATAI
millió forintban

KÖLTSÉGVETÉSI SZERVEK, SZAKMAI FEJEZETI KEZELÉSŰ SOROK ELŐIRÁNYZATAI
millió forintban

KÖLTSÉGVETÉSI SZERVEK, SZAKMAI FEJEZETI KEZELÉSŰ SOROK ELŐIRÁNYZATAI
millió forintban

KÖLTSÉGVETÉSI SZERVEK, SZAKMAI FEJEZETI KEZELÉSŰ SOROK ELŐIRÁNYZATAI
millió forintban

KÖLTSÉGVETÉSI SZERVEK, SZAKMAI FEJEZETI KEZELÉSŰ SOROK ELŐIRÁNYZATAI
millió forintban

KÖLTSÉGVETÉSI SZERVEK, SZAKMAI FEJEZETI KEZELÉSŰ SOROK ELŐIRÁNYZATAI
millió forintban

KÖLTSÉGVETÉSI SZERVEK, SZAKMAI FEJEZETI KEZELÉSŰ SOROK ELŐIRÁNYZATAI
millió forintban

KÖLTSÉGVETÉSI SZERVEK, SZAKMAI FEJEZETI KEZELÉSŰ SOROK ELŐIRÁNYZATAI
millió forintban

KÖLTSÉGVETÉSI SZERVEK, SZAKMAI FEJEZETI KEZELÉSŰ SOROK ELŐIRÁNYZATAI
millió forintban

KÖLTSÉGVETÉSI SZERVEK, SZAKMAI FEJEZETI KEZELÉSŰ SOROK ELŐIRÁNYZATAI
millió forintban

KÖLTSÉGVETÉSI SZERVEK, SZAKMAI FEJEZETI KEZELÉSŰ SOROK ELŐIRÁNYZATAI
millió forintban

KÖLTSÉGVETÉSI SZERVEK, SZAKMAI FEJEZETI KEZELÉSŰ SOROK ELŐIRÁNYZATAI
millió forintban

KÖLTSÉGVETÉSI SZERVEK, SZAKMAI FEJEZETI KEZELÉSŰ SOROK ELŐIRÁNYZATAI
millió forintban

KÖLTSÉGVETÉSI SZERVEK, SZAKMAI FEJEZETI KEZELÉSŰ SOROK ELŐIRÁNYZATAI
millió forintban

KÖLTSÉGVETÉSI SZERVEK, SZAKMAI FEJEZETI KEZELÉSŰ SOROK ELŐIRÁNYZATAI
millió forintban

KÖLTSÉGVETÉSI SZERVEK, SZAKMAI FEJEZETI KEZELÉSŰ SOROK ELŐIRÁNYZATAI
millió forintban

KÖLTSÉGVETÉSI SZERVEK, SZAKMAI FEJEZETI KEZELÉSŰ SOROK ELŐIRÁNYZATAI
millió forintban

KÖLTSÉGVETÉSI SZERVEK, SZAKMAI FEJEZETI KEZELÉSŰ SOROK ELŐIRÁNYZATAI
millió forintban

KÖLTSÉGVETÉSI SZERVEK, SZAKMAI FEJEZETI KEZELÉSŰ SOROK ELŐIRÁNYZATAI
millió forintban

KÖLTSÉGVETÉSI SZERVEK, SZAKMAI FEJEZETI KEZELÉSŰ SOROK ELŐIRÁNYZATAI
millió forintban

KÖLTSÉGVETÉSI SZERVEK, SZAKMAI FEJEZETI KEZELÉSŰ SOROK ELŐIRÁNYZATAI
millió forintban

KÖLTSÉGVETÉSI SZERVEK, SZAKMAI FEJEZETI KEZELÉSŰ SOROK ELŐIRÁNYZATAI
millió forintban

KÖLTSÉGVETÉSI SZERVEK, SZAKMAI FEJEZETI KEZELÉSŰ SOROK ELŐIRÁNYZATAI
millió forintban

KÖLTSÉGVETÉSI SZERVEK, SZAKMAI FEJEZETI KEZELÉSŰ SOROK ELŐIRÁNYZATAI
millió forintban

KÖLTSÉGVETÉSI SZERVEK, SZAKMAI FEJEZETI KEZELÉSŰ SOROK ELŐIRÁNYZATAI
millió forintban

KÖLTSÉGVETÉSI SZERVEK, SZAKMAI FEJEZETI KEZELÉSŰ SOROK ELŐIRÁNYZATAI
millió forintban

KÖLTSÉGVETÉSI SZERVEK, SZAKMAI FEJEZETI KEZELÉSŰ SOROK ELŐIRÁNYZATAI
millió forintban

KÖLTSÉGVETÉSI SZERVEK, SZAKMAI FEJEZETI KEZELÉSŰ SOROK ELŐIRÁNYZATAI
millió forintban

KÖLTSÉGVETÉSI SZERVEK, SZAKMAI FEJEZETI KEZELÉSŰ SOROK ELŐIRÁNYZATAI
millió forintban

KÖLTSÉGVETÉSI SZERVEK, SZAKMAI FEJEZETI KEZELÉSŰ SOROK ELŐIRÁNYZATAI
millió forintban

KÖLTSÉGVETÉSI SZERVEK, SZAKMAI FEJEZETI KEZELÉSŰ SOROK ELŐIRÁNYZATAI
millió forintban

KÖLTSÉGVETÉSI SZERVEK, SZAKMAI FEJEZETI KEZELÉSŰ SOROK ELŐIRÁNYZATAI
millió forintban

KÖLTSÉGVETÉSI SZERVEK, SZAKMAI FEJEZETI KEZELÉSŰ SOROK MARADVÁNYÁNAK ALAKULÁSA (2018. évi teljesítés)
millió forintban

KÖLTSÉGVETÉSI SZERVEK, SZAKMAI FEJEZETI KEZELÉSŰ SOROK MARADVÁNYÁNAK ALAKULÁSA (2018. évi teljesítés)
millió forintban

KÖLTSÉGVETÉSI SZERVEK, SZAKMAI FEJEZETI KEZELÉSŰ SOROK MARADVÁNYÁNAK ALAKULÁSA (2018. évi teljesítés)
millió forintban

KÖLTSÉGVETÉSI SZERVEK, SZAKMAI FEJEZETI KEZELÉSŰ SOROK MARADVÁNYÁNAK ALAKULÁSA (2018. évi teljesítés)
millió forintban

KÖLTSÉGVETÉSI SZERVEK, SZAKMAI FEJEZETI KEZELÉSŰ SOROK MARADVÁNYÁNAK ALAKULÁSA (2018. évi teljesítés)
millió forintban

KÖLTSÉGVETÉSI SZERVEK, SZAKMAI FEJEZETI KEZELÉSŰ SOROK MARADVÁNYÁNAK ALAKULÁSA (2018. évi teljesítés)
millió forintban

KÖLTSÉGVETÉSI SZERVEK, SZAKMAI FEJEZETI KEZELÉSŰ SOROK MARADVÁNYÁNAK ALAKULÁSA (2018. évi teljesítés)
millió forintban

KÖLTSÉGVETÉSI SZERVEK, SZAKMAI FEJEZETI KEZELÉSŰ SOROK MARADVÁNYÁNAK ALAKULÁSA (2018. évi teljesítés)
millió forintban

KÖLTSÉGVETÉSI SZERVEK, SZAKMAI FEJEZETI KEZELÉSŰ SOROK MARADVÁNYÁNAK ALAKULÁSA (2018. évi teljesítés)
millió forintban

KÖLTSÉGVETÉSI SZERVEK, SZAKMAI FEJEZETI KEZELÉSŰ SOROK MARADVÁNYÁNAK ALAKULÁSA (2018. évi teljesítés)
millió forintban

KÖLTSÉGVETÉSI SZERVEK, SZAKMAI FEJEZETI KEZELÉSŰ SOROK MARADVÁNYÁNAK ALAKULÁSA (2018. évi teljesítés)
millió forintban

KÖLTSÉGVETÉSI SZERVEK, SZAKMAI FEJEZETI KEZELÉSŰ SOROK MARADVÁNYÁNAK ALAKULÁSA (2018. évi teljesítés)
millió forintban

KÖLTSÉGVETÉSI SZERVEK, SZAKMAI FEJEZETI KEZELÉSŰ SOROK MARADVÁNYÁNAK ALAKULÁSA (2018. évi teljesítés)
millió forintban

KÖLTSÉGVETÉSI SZERVEK, SZAKMAI FEJEZETI KEZELÉSŰ SOROK MARADVÁNYÁNAK ALAKULÁSA (2018. évi teljesítés)
millió forintban

KÖLTSÉGVETÉSI SZERVEK, SZAKMAI FEJEZETI KEZELÉSŰ SOROK MARADVÁNYÁNAK ALAKULÁSA (2018. évi teljesítés)
millió forintban

KÖLTSÉGVETÉSI SZERVEK, SZAKMAI FEJEZETI KEZELÉSŰ SOROK MARADVÁNYÁNAK ALAKULÁSA (2018. évi teljesítés)
millió forintban

KÖLTSÉGVETÉSI SZERVEK, SZAKMAI FEJEZETI KEZELÉSŰ SOROK MARADVÁNYÁNAK ALAKULÁSA (2018. évi teljesítés)
millió forintban

KÖLTSÉGVETÉSI SZERVEK, SZAKMAI FEJEZETI KEZELÉSŰ SOROK MARADVÁNYÁNAK ALAKULÁSA (2018. évi teljesítés)
millió forintban

KÖLTSÉGVETÉSI SZERVEK, SZAKMAI FEJEZETI KEZELÉSŰ SOROK MARADVÁNYÁNAK ALAKULÁSA (2018. évi teljesítés)
millió forintban

KÖLTSÉGVETÉSI SZERVEK, SZAKMAI FEJEZETI KEZELÉSŰ SOROK MARADVÁNYÁNAK ALAKULÁSA (2018. évi teljesítés)
millió forintban

KÖLTSÉGVETÉSI SZERVEK, SZAKMAI FEJEZETI KEZELÉSŰ SOROK MARADVÁNYÁNAK ALAKULÁSA (2018. évi teljesítés)
millió forintban

KÖLTSÉGVETÉSI SZERVEK, SZAKMAI FEJEZETI KEZELÉSŰ SOROK MARADVÁNYÁNAK ALAKULÁSA (2018. évi teljesítés)
millió forintban

KÖLTSÉGVETÉSI SZERVEK, SZAKMAI FEJEZETI KEZELÉSŰ SOROK MARADVÁNYÁNAK ALAKULÁSA (2018. évi teljesítés)
millió forintban

KÖLTSÉGVETÉSI SZERVEK, SZAKMAI FEJEZETI KEZELÉSŰ SOROK MARADVÁNYÁNAK ALAKULÁSA (2018. évi teljesítés)
millió forintban

KÖLTSÉGVETÉSI SZERVEK, SZAKMAI FEJEZETI KEZELÉSŰ SOROK MARADVÁNYÁNAK ALAKULÁSA (2018. évi teljesítés)
millió forintban

KÖLTSÉGVETÉSI SZERVEK, SZAKMAI FEJEZETI KEZELÉSŰ SOROK MARADVÁNYÁNAK ALAKULÁSA (2018. évi teljesítés)
millió forintban

KÖLTSÉGVETÉSI SZERVEK, SZAKMAI FEJEZETI KEZELÉSŰ SOROK MARADVÁNYÁNAK ALAKULÁSA (2018. évi teljesítés)
millió forintban

KÖLTSÉGVETÉSI SZERVEK, SZAKMAI FEJEZETI KEZELÉSŰ SOROK MARADVÁNYÁNAK ALAKULÁSA (2018. évi teljesítés)
millió forintban

KÖLTSÉGVETÉSI SZERVEK, SZAKMAI FEJEZETI KEZELÉSŰ SOROK MARADVÁNYÁNAK ALAKULÁSA (2018. évi teljesítés)
millió forintban

KÖLTSÉGVETÉSI SZERVEK, SZAKMAI FEJEZETI KEZELÉSŰ SOROK MARADVÁNYÁNAK ALAKULÁSA (2018. évi teljesítés)
millió forintban

KÖLTSÉGVETÉSI SZERVEK, SZAKMAI FEJEZETI KEZELÉSŰ SOROK MARADVÁNYÁNAK ALAKULÁSA (2018. évi teljesítés)
millió forintban

KÖLTSÉGVETÉSI SZERVEK, SZAKMAI FEJEZETI KEZELÉSŰ SOROK MARADVÁNYÁNAK ALAKULÁSA (2018. évi teljesítés)
millió forintban

KÖLTSÉGVETÉSI SZERVEK, SZAKMAI FEJEZETI KEZELÉSŰ SOROK MARADVÁNYÁNAK ALAKULÁSA (2018. évi teljesítés)
millió forintban

KÖLTSÉGVETÉSI SZERVEK, SZAKMAI FEJEZETI KEZELÉSŰ SOROK MARADVÁNYÁNAK ALAKULÁSA (2018. évi teljesítés)
millió forintban

KÖLTSÉGVETÉSI SZERVEK, SZAKMAI FEJEZETI KEZELÉSŰ SOROK MARADVÁNYÁNAK ALAKULÁSA (2018. évi teljesítés)
millió forintban

KÖLTSÉGVETÉSI SZERVEK, SZAKMAI FEJEZETI KEZELÉSŰ SOROK MARADVÁNYÁNAK ALAKULÁSA (2018. évi teljesítés)
millió forintban

KÖLTSÉGVETÉSI SZERVEK, SZAKMAI FEJEZETI KEZELÉSŰ SOROK MARADVÁNYÁNAK ALAKULÁSA (2018. évi teljesítés)
millió forintban

KÖLTSÉGVETÉSI SZERVEK, SZAKMAI FEJEZETI KEZELÉSŰ SOROK MARADVÁNYÁNAK ALAKULÁSA (2018. évi teljesítés)
millió forintban

KÖLTSÉGVETÉSI SZERVEK, SZAKMAI FEJEZETI KEZELÉSŰ SOROK MARADVÁNYÁNAK ALAKULÁSA (2018. évi teljesítés)
millió forintban

KÖLTSÉGVETÉSI SZERVEK, SZAKMAI FEJEZETI KEZELÉSŰ SOROK MARADVÁNYÁNAK ALAKULÁSA (2018. évi teljesítés)
millió forintban

KÖLTSÉGVETÉSI SZERVEK, SZAKMAI FEJEZETI KEZELÉSŰ SOROK MARADVÁNYÁNAK ALAKULÁSA (2018. évi teljesítés)
millió forintban

KÖLTSÉGVETÉSI SZERVEK, SZAKMAI FEJEZETI KEZELÉSŰ SOROK MARADVÁNYÁNAK ALAKULÁSA (2018. évi teljesítés)
millió forintban

KÖLTSÉGVETÉSI SZERVEK, SZAKMAI FEJEZETI KEZELÉSŰ SOROK MARADVÁNYÁNAK ALAKULÁSA (2018. évi teljesítés)
millió forintban

Költségvetési szerveknél foglalkoztatottak létszáma és rendszeres személyi juttatása 2018. évben
Országos összesítő



Adósság és finanszírozás
A központi költségvetés bruttó adósságának alakulása 2015-2018 között (millió forint)

A központi költségvetés bruttó adósságának alakulása 2015-2018 között (GDP %)

A központi költségvetés bruttó adósságának változása (millió forint)

Az államadósság változásának Gst. 2. § (2)-(4) bekezdése szerinti bontása

A központi költségvetés finanszírozási és adósságműveletei 2018-ban, előzetes adatok alapján
Millió forint

A nem teljesítő kölcsönkövetelések előzetes állománya (millió forintban)
(az Áht. 90. § (3) j) pontban előírt tájékoztatás)

Az önkormányzati alrendszerből nyújtott, nem teljesülő hitel- és egyéb követelések állománya 2018-ban
millió forintban

A szakpolitikai célú nemzetpolitikai/határon túli feladatokra fordított források
A szakpolitikai célú nemzetpolitikai/határon túli feladatokra fordított források a 2018. évi költségvetésben
millió forintban, egy tizedessel




Adókedvezmények, támogatások
milliárd forint

KIMUTATÁS
a 2018. évben engedélyezett fizetési kedvezményi ügyekről
ezer Ft

Kezességek
Az állam által vállalt kezességek/garanciák/viszontgaranciák 2017. évi záró és 2018. évi állományi adatai
millió forint

Kiállítási garanciavállalások a 2018. évben

Az önkormányzatok kezesség- és garanciavállalása 2017. és 2018. év végi állományának alakulása
millió forintban

Vagyoni adatok
Központi költségvetési szervek és fejezeti kezelésű előirányzatok könyvviteli mérlege
forintban



Nemzetgazdasági elszámolások könyvviteli mérlege (tulajdonosi joggyakorlók nélkül)
forintban


Tulajdonosi joggyakorlók könyvviteli mérlege
forintban


IV/1. melléklet
Az állam tulajdonában álló gazdasági társaságok állami részesedései, eredményeik és kötelezettség-állományuk alakulása 2017-2018. években
millió forint

IV/1. melléklet

IV/1. melléklet

IV/1. melléklet

IV/1. melléklet

Az önkormányzatok tulajdonában álló gazdálkodó szervezetek működéséből származó kötelezettségek és a részesedések alakulása
millió forintban

Tartalékok
Kimutatás a Rendkívüli kormányzati intézkedések előirányzat 2018. évi felhasználásáról*
millió forintban


Kimutatás az Országvédelmi Alap előirányzat 2018. évi felhasználásáról fejezetenként
millió forintban

millió forintban

Kincstári adatok
NAPI KIMUTATÁS az Egészségbiztosítási és Nyugdíjbiztosítási alapok által a KESZ-ről igénybevett összegekről
2018. év
Millió forintban!

10032000-01501308 Központi letéti számla
2018.
Forintban

10032000-01501315 Lakáscélú kedvezmények letéti számla
2018.
Forintban

A központi költségvetés két letéti számlával rendelkezett 2018-ban: a központi letéti számlával és a lakáscélú letéti számlával. A központi letéti számlán 2018-ban nem volt forgalom.
A Kincstár kezeli a 2008. évben megnyitott lakáscélú kedvezmények letéti számlát. Amennyiben olyan lakást értékesítettek, amelyre szociálpolitikai támogatást nyújtott az állam, az újonnan épített, illetve vásárolt új ingatlan megvételéig ezen a számlán kell letétbe helyezni a támogatás összegét. A letétbe helyezett összeg visszafizetéséről vagy végleges költségvetési bevételként való elszámolásáról 2015. április 1-jétől a megyei kormányhivatalok rendelkeznek. A számla nyitóegyenlege 3.772.825.377 ezer forint volt. Az év folyamán 1.768.400.826 ezer forint folyt be és 1.956.915.034 ezer forint került visszafizetésre, így a számla 3.584.311.169 ezer forint egyenleggel zárt.
A kormányzati szektor 2019. áprilisi uniós statisztikai adatai
A kormányzati szektor egyenlege az EU országaiban, Izlandon és Norvégiában
(a GDP %-ában)

A kormányzati szektor elsődleges egyenlege az EU országaiban, Izlandon és Norvégiában
(a GDP %-ában)

A kormányzati szektor összes bevétele az EU országaiban, Izlandon és Norvégiában
(a GDP %-ában)

A kormányzati szektor adó- és járulékbevétele az EU országaiban, Izlandon és Norvégiában
(a GDP %-ában)

A kormányzati szektor kiadásai az EU országaiban, Izlandon és Norvégiában
(a GDP %-ában)

A kormányzati szektor kamatkiadásai az EU országaiban, Izlandon és Norvégiában
(a GDP %-ában)

A kormányzati szektor által kifizetett munkavállalói jövedelem az EU országaiban, Izlandon és Norvégiában
(a GDP %-ában)

A kormányzati szektor folyó termelő felhasználása az EU országaiban, Izlandon és Norvégiában
(a GDP %-ában)

A kormányzati szektor vállalati támogatásai az EU országaiban, Izlandon és Norvégiában
(a GDP %-ában)

A kormányzati szektor társadalmi juttatásai az EU országaiban, Izlandon és Norvégiában
(a GDP %-ában)

A kormányzati szektor folyó transzfer kiadásai az EU országaiban, Izlandon és Norvégiában
(a GDP %-ában)

A kormányzati szektor által fizetett felhalmozási transzferek az EU országaiban, Izlandon és Norvégiában
(a GDP %-ában)

A kormányzati szektor bruttó állóeszköz-felhalmozása az EU országaiban, Izlandon és Norvégiában
(a GDP %-ában)

A kormányzati kiadások funkciók szerinti alakulása az Európai Unió országaiban, Norvégiában és Svájcban
(a GDP %-ában)

A kormányzati kiadások funkciók szerinti alakulása az Európai Unió országaiban, Norvégiában és Svájcban
(a GDP %-ában)

A kormányzati kiadások funkciók szerinti alakulása az Európai Unió országaiban, Norvégiában és Svájcban
(a GDP %-ában)

A kormányzati kiadások funkciók szerinti alakulása az Európai Unió országaiban, Norvégiában és Svájcban
(a GDP %-ában)

A kormányzati kiadások funkciók szerinti alakulása az Európai Unió országaiban, Norvégiában és Svájcban
(a GDP %-ában)

A kormányzati kiadások funkciók szerinti alakulása az Európai Unió országaiban, Norvégiában és Svájcban
(a GDP %-ában)

A kormányzati kiadások funkciók szerinti alakulása az Európai Unió országaiban, Norvégiában és Svájcban
(a GDP %-ában)

A kormányzati kiadások funkciók szerinti alakulása az Európai Unió országaiban, Norvégiában és Svájcban
(a GDP %-ában)

A kormányzati kiadások funkciók szerinti alakulása az Európai Unió országaiban, Norvégiában és Svájcban
(a GDP %-ában)

A kormányzati kiadások funkciók szerinti alakulása az Európai Unió országaiban, Norvégiában és Svájcban
(a GDP %-ában)

A kormányzati kiadások funkciók szerinti alakulása az Európai Unió országaiban, Norvégiában és Svájcban
(a GDP %-ában)

A kormányzati kiadások funkciók szerinti alakulása az Európai Unió országaiban, Norvégiában és Svájcban
(a GDP %-ában)
